3-bromomethyl-5,7-dimethyl-2-oxaadamantan-1-ol in nucleophilic substitution reactions
- Authors: Ivleva E.A.1, Khatmullina Y.E.1, Zaborskaya M.S.1, Simatova E.V.1, Bazarova D.A.1, Klimochkin Y.N.1
-
Affiliations:
- Samara State Technical University
- Issue: Vol 60, No 5 (2024)
- Pages: 605-613
- Section: Articles
- URL: https://journal-vniispk.ru/0514-7492/article/view/279708
- DOI: https://doi.org/10.31857/S0514749224050034
- EDN: https://elibrary.ru/RDLXZT
- ID: 279708
Cite item
Full Text
Abstract
The synthesis was carried out and the transformations of 1-aryladamantanes in fuming nitric acid were studied. The reactions include nitroxylation of saturated cage and nitration of the aromatic moiety and lead to 3-(dinitroaryl)-1-adamantylnitrates. A number of new polyfunctional compounds have been synthesized based on reactions of substituted 3-(dinitroaryl)-1-adamantyl nitrates with nucleophiles in concentrated sulfuric acid. Due to the multifunctionality, the obtained compounds can be used as starting materials in the synthesis of substances with a wide spectrum of biological activity and materials with a complex of valuable properties.
Full Text
ВВЕДЕНИЕ
Адамантан занимает особое место среди каркасных соединений. Не иссякает интерес не только к исследованию аспектов прикладного значения производных каркасного строения [1–13], но и к разработке методов синтеза полифункциональных производных адамантана [14–22].
В последние годы отмечается рост числа исследований, посвященных разработке методов получения, химическим свойствам и применению производных 2-оксаадамантана. Из-за малой синтетической доступности химические свойства 2-оксаадамантана и его производных изучены недостаточно. Например, в литературе имеются сведения об участии незамещенного 2-оксаадамантана в реакциях бромирования [23–25], окисления [23] и комплексообразования [26]. Лучше изучены химические свойства бром- и гидроксипроизводных 2-оксаадамантанового ряда. На их основе синтезированы амины [27, 28], ациламинопроизводные [25], арилпроизводные [29], 2-оксаадамантилмочевины [30] и некоторые другие производные [31–38]. Описаны методы синтеза полифункциональных соединений на основе реакций кетонов 2-оксаадамантанового ряда [39–41]. Некоторые из 2-оксаадамантанов выступают в качестве исходных соединений при получении гупринов [40, 42–45], конформационно-жестких краун-эфиров [46] и криптандов [47]. Имеются сведения о возможном использовании полинитропроизводного 2-оксаадамантанового ряда в качестве термостабильного взрывчатого вещества [48].
Ранее мы подробно рассмотрели возможные методы построения системы 2-оксаадамантана, предложили новый подход к синтезу его производных [49, 50] и изучили их превращения в среде серной кислоты [51]. Настоящая работа посвящена изучению химических свойств производных 3-бромметил-2-оксаадамантан-1-олов в реакциях нуклеофильного замещения.
РЕЗУЛЬТАТЫ И ОБСУЖДЕНИЕ
В качестве объекта исследования использовали 5,7-диметил-3-бромметил-2-оксаадамантан-1-ол (1), синтез которого описан ранее [50]. Реакции нуклеофильного замещения субстрата 1 проводили в присутствии основания. Синтез спирта 2 осуществляли в результате длительного кипячения в водном ТГФ в присутствии КОН. Продукт 2 выделили с выходом 86% после перекристаллизации из гексана. Аналогично был получен 5,7-диметил-3-бутоксиметил-2-оксаадамантанол-1 (3) с выходом 72% после очистки методом колоночной хроматографии (схема 1).
Схема 1
R = H (2), н-C4H9 (3).
В спектре ЯМР 1H соединения 2 протон ОН группы, непосредственно связанной с каркасом адамантана, проявляется при 5.88 м.д., протон ОН группы гидроксиметильного фрагмента – в виде триплета с константой спин-спинового взаимодействия (КССВ) 6 Гц в области 4.46 м.д. В спектре ЯМР 13С сигнал четвертичного атома углерода, связанного с гидроксильной группой, проявляется при 95.4 м.д. Метиленовый атом углерода, соединяющий каркас и гидроксильную группу, проявляется при 69.0 м.д.
В спектре ЯМР 1Н соединения 3 наблюдаются сигнал протона гидроксильной группы при 3.69 м.д. в виде синглета, а также протонов метиленовых звеньев бутоксиметильной группы в виде триплетов, один из которых проявляется в области 3.43 м.д., а другой в области 1.53 м.д. с КССВ 6.6 Гц. В спектре ЯМР 13С сигнал четвертичного атома углерода, связанного с гидроксильной группой, проявляется при 96.1 м.д.
Гидрохлорид (5,7-диметил-3-гидрокси-2-оксаадамант-1-ил)метанамина (4) получали взаимодействием субстрата 1 с 25%-ным водным раствором аммиака в запаянной ампуле при температуре 85°С в течение 24 ч с последующим пропусканием тока сухого хлороводорода. В ходе реакции образуется продукт двойного алкилирования 5. Соединения 4 и 5 получены с выходами 41 и 17% соответственно (схема 2). В спектре ЯМР 1Н соединения 4 присутствует сигнал протонированной аминогруппы при 8.01 м.д. в виде синглета. В спектре ЯМР 13С четвертичный атом углерода, связанный с аминометильной группой, проявляется при 73.6 м.д. Метиленовый атом углерода, соединяющий каркас и аминогруппу, проявляется при 48.3 м.д. В спектре ЯМР продукта 5 сигнал протонированной аминогруппы проявляется при 8.22 м.д. в виде уширенного синглета.
Схема 2
Из N-[3-(бромметил-5,7-диметил-2-оксаадамантил)ацетамида (6) [51] щелочным гидролизом в среде полиэтиленгликоля получили гидрохлорид 1-амино-3-гидроксиметил-5,7-диметил-2-оксаадамантана (7). Реакцию проводили при 105°С в течение 25 ч. Выход продукта 7 после перекристаллизации из смеси диоксан–толуол составил 32 % (схема 3). В спектре ЯМР 1Н сигнал протонированной аминогруппы проявляется в виде синглета при 8.87 м.д., сигнал протона ОН группы резонирует при 3.52 м.д. в виде синглета. В спектре ЯМР 13С сигнал четвертичного атома углерода, связанного с протонированной аминогруппой, проявляется при 83.2 м.д.
Схема 3
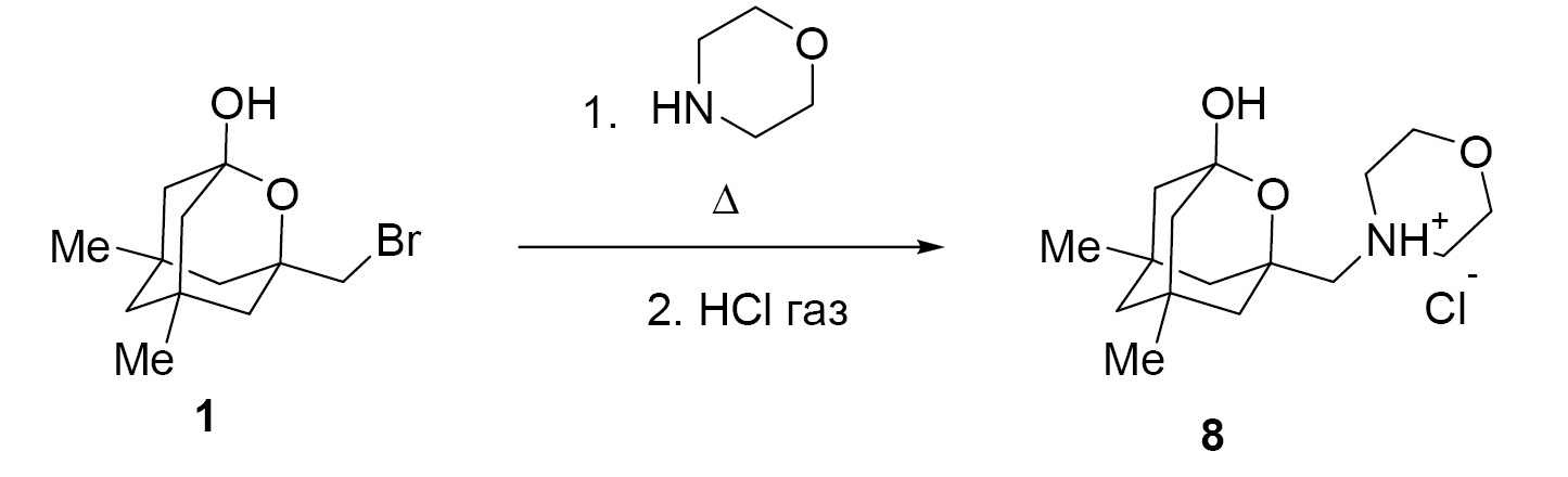
При взаимодействии исходного субстрата 1 с морфолином образуется 3-(4-морфолинил)метил-2-оксаадамантанол-1, который выделяли в виде гидрохлорида (8). Реакцию проводили при длительном кипячении (схема 4).
Схема 4
В спектре ЯМР 1H наблюдается серия мультиплетов морфолинового фрагмента в области 3.13–3.94 м.д. Сигнал протона гидроксильной группы проявляется в виде синглета при 6.15 м.д., а сигнал протона, связанного с атомом азота морфолинового фрагмента, проявляется в виде синглета при 10.24 м.д. В спектре ЯМР 13С сигнал четвертичного атома углерода, связанного с гидроксильной группой, проявляется при 96.0 м.д.
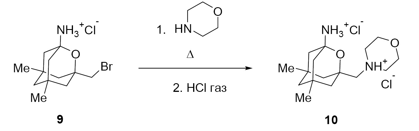
При кипячении соединения 9 [51] в морфолине образуется 5,7-диметил-3-(морфолинометил)-2-оксаадамантан-1-амин, который был выделен в виде дигидрохлорида 10 (схема 5).
Схема 5
В спектре ЯМР 1H сигнал протонов +NH3 фрагмента проявляется в виде синглета при 9.06 м.д., сигнал протона, связанного с атомом азота морфолинового фрагмента, проявляется в виде синглета при 10.44 м.д. В спектре также наблюдается серия мультиплетов морфолинового фрагмента в области 3.02–3.08 и 3.57–3.99 м.д. В спектре ЯМР 13С сигнал четвертичного атома углерода, связанного с протонированной аминогруппой, проявляется при 83.3 м.д. Атом углерода, который связан с NH-группой морфолинового фрагмента, проявляется при 75.9 м.д.
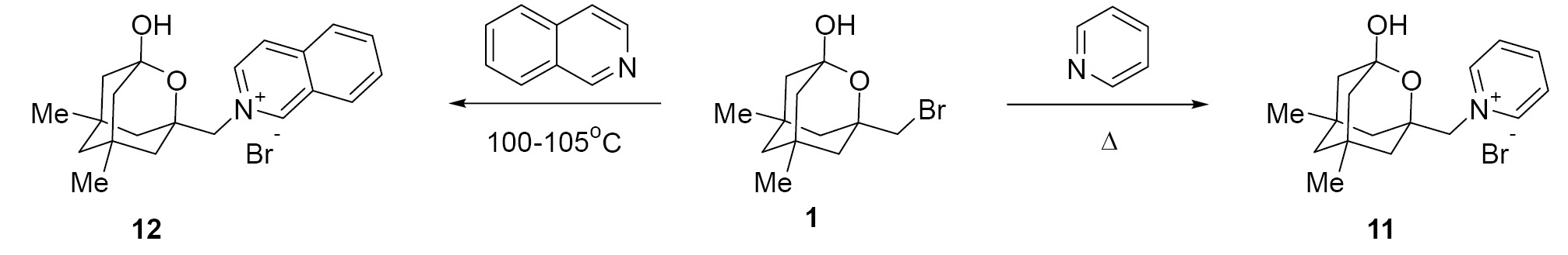
Аналогичным образом проводили реакции субстрата 1 с пиридином и изохинолином. Соединения 11 и 12 выделены в виде бромидов с выходами 19 и 15% соответственно. Столь низкие выходы обусловлены устанавливающимся в ходе реакции равновесием между продуктом и исходным субстратом. Спектры ЯМР 1Н и 13С характеризуются набором сигналов в слабопольной области, характерных для ароматических протонов (схема 6).
Схема 6
Бромид 2-(5,7-диметил-1-гидрокси-2-оксаадамантан-3-ил)метилизохинолиния (12) восстанавливали боргидридом натрия в метаноле при температуре 0°С (схема 7). В результате был получен соответствующий продукт 13 с выходом 49% в виде желтого масла. Структуру соединения 13 подтверждали методом ЯМР спектроскопии.
Схема 7
ЭКСПЕРИМЕНТАЛЬНАЯ ЧАСТЬ
ИК-спектры регистрировали на спектрометре Shimadzu IRAffinity-1 (Япония). Спектры ЯМР 1Н и 13C зарегистрированы на спектрометре JEOLNMR-ECX400 (Япония) (400, 100 МГц, соответственно), внутренний стандарт ТМС. Химические сдвиги сигналов определены в шкале δ м.д. Масс-спектры зарегистрированы на спектрометре FinniganTrace DSQ (США) с энергией ионизирующих электронов 70 эВ. Температуры плавления определены капиллярным методом на приборе MPM-H2 90-264V/AC (Германия) и не корректировались. Показатель преломления для жидких веществ измеряли с помощью рефрактометра лабораторного ИРФ-454 Б2М при температуре 20°С. Элементный анализ выполнен на элементном анализаторе EuroVector 3000 EA (Италия) с использованием в качестве стандарта L-цистина. Чистота соединений ≥ 96.0%.
3-Гидроксиметил-5,7-диметил-2-оксаадамантан-1-ол (2). К 1 г (3.63 ммоль) 3-бромметил-5,7-диметил-2-оксаадамантан-1-ола (1) прибавляли 8 мл воды, 8 мл ТГФ и 0.5 г (8.93 ммоль) КОН. Полученную смесь нагревали при кипении в течение 20 ч. После охлаждения смесь упаривали в вакууме. Остаток растворяли в минимальном количестве воды, затем прибавляли 0.1 мл НCl и снова упаривали в вакууме. Продукт растворяли в ацетоне, образовавшийся осадок неорганических солей отфильтровывали, растворитель упаривали в вакууме. Полученное в остатке масло далее кристаллизовали из гексана. Выход 0.66 г (86%). Бесцветные кристаллы, т.пл. 110–112°C. ИК-спектр, ν, см-1: 3317, 2953, 2926, 2841. Спектр ЯМР 1Н (ДМСО-d6), δ, м.д.: 0.82 с (6Н, СН3), 1.06–1.09 м (6Н, CНAd), 1.20 уш.c (4Н, CНAd), 3.16 д (2Н, J 5.6 Гц, CH2), 4.46 т (1Н, J 5.6 Гц, OH), 5.88 с (1Н, ОН). Спектр ЯМР 13С (ДМСО-d6), δ, м.д.: 30.0 (CH3), 32.9 (Счетв.), 42.7 (СH2), 48.0 (СH2), 48.9 (СH2), 69.1 (CH2), 76.7 (Счетв.), 95.4 (Счетв.). Масс-спектр, m/z (Iотн, %): 212 [М+] (28), 181 (46), 152 (30), 138 (58), 123 (100), 121 (40), 91 (32), 55 (44), 43 (52). Найдено, %: С 67.80; Н 9.56. С12Н20О3. Вычислено, %: С 67.89; Н 9.50.
3-(Бутоксиметил)-5,7-диметил-2-оксаадамантан-1-ол (3). Смесь 0.2 г (0.73 ммоль) 3-бромметил-5,7-диметил-2-оксаадамантан-1-ола (1) и 0.6 г (1.1 моль) KOH нагревали при кипении в течение 2 суток в 2 мл бутанола. Затем растворитель упаривали в вакууме, а к полученному остатку прибавляли 5 мл этилацетата. Нерастворившийся бромид калия отфильтровывали, фильтрат упаривали в вакууме. Полученное в остатке коричневое масло пропускали через слой силикагеля с использованием хлористого метилена в качестве элюента (Rf 0.57). Выход 0.14 г (72%), масло светло-желтого цвета. 1.4833. ИК-спектр, ν, см-1: 3388, 2945, 2922, 2864, 2843. Спектр ЯМР 1Н (СDCl3), δ, м.д.: 0.87–0.89 м (3H, CH3), 0.90 с (6Н, СН3), 1.17–1.20 м (4H, CH2), 1.30–1.44 м (8H, CH2Ad, CH2), 1.53 т (2H, J 6.6 Гц, СН2), 3.28 с (2H, CH2), 3.43 т (2H, J 6.6 Гц, СН2), 3.69 с (1Н, ОН). Спектр ЯМР 13С (СDCl3), δ, м.д.: 14.0 (CH3), 19.3 (CH2), 29.4 (2CH3), 31.6 (CH2), 32.9 (Cчетв.), 42.5 (CH2), 47.4 (CH2), 48.7 (CH2), 63.7 (CH2), 71.8 (CH2), 77.6 (Cчетв.), 96.1 (Cчетв.). Масс-спектр, m/z (Iотн, %): 268 [М]+ (24), 269 [М++1] (4), 208 (48), 181 (62), 178 (68), 152 (28), 123 (100), 120 (78), 95 (24), 71 (22), 57 (34). Найдено, %: С 71.68; Н 10.46. С16Н28О3. Вычислено, %: С 71.60; Н 10.52.
Взаимодействие субстрата 1 с 25%-ным водным раствором аммиака. Смесь 1.5 г (0.0055 моль) 3-бромметил-5,7-диметил-2-оксаадамантан-1-ола (1) и 15 мл 25%-ного раствора аммиака помещали в стеклянную ампулу, которую запаивали газовой горелкой. Запаянную ампулу помещали в сушильный шкаф и выдерживали при температуре 83–87°С в течение 24 ч. После охлаждения ампулу вскрывали, содержимое выливали в 20 мл воды. Продукт экстрагировали бутанолом (5 × 5 мл), экстракт промывали раствором NaCl (2 × 5 мл) и упаривали в вакууме. К остатку прибавляли хлористый метилен и отфильтровывали нерастворившийся осадок. Через маточный раствор пропускали ток сухого хлороводорода. Выпавший осадок гидрохлорида (3-гидрокси-5,7-диметил-2-оксаадамант-1-ил)метанамина (4) отфильтровывали. Выход 0.55 г (41%). Бесцветные кристаллы. Т.пл. 265–268°C (c разл.). ИК-спектр, ν, см-1: 3124, 3070, 3008, 2953, 2914, 2897, 2862, 2853, 1118, 989. Спектр ЯМР 1Н (ДМСО-d6), δ, м.д.: 0.83 с (6Н, СН3), 1.10–1.13 м (4Н, CНAd), 1.20–1.30 c (6Н, CНAd), 2.70 c (2Н, CH2), 6.20 c (1H, OH), 8.01 c (3H, +NH3). Спектр ЯМР 13С (ДМСО-d6), δ, м.д.: 29.7 (CH3), 32.9 (Cчетв.), 42.6 (СH2), 47.2 (СH2), 47.3 (СH2), 48.3 (CH2), 73.6 (Cчетв.), 96.0 (Cчетв.). Найдено, %: С 58.24; Н 8.86; N 5.73. С12Н22СlNО2. Вычислено, %: С 58.17; Н 8.95; N 5.65. Маточный раствор упаривали до половины объема, охлаждали до 10°С и дополнительно отфильтровывали 0.235 г (17%) бис((3-гидрокси-5,7-диметил-2-оксаадамант-1-ил)метил)аммония хлорида (5). Бесцветный порошок. Т.пл. 248–250°С. ИК-спектр, ν, см-1: 3520, 3259, 3201, 2941, 2918, 2860, 2835, 1205, 985. Спектр ЯМР 1Н (ДМСО-d6), δ, м.д.: 0.84 с (12Н, СН3), 1.11–1.31 м (20Н, CНAd), 2.98 c (4Н, CH2), 6.23 c (2H, OH), 8.22 c (2H, +NH3). Спектр ЯМР 13С (ДМСО-d6), δ, м.д.: 29.6 (CH3), 33.0 (Cчетв.), 42.8 (СH2), 47.1 (СH2), 48.2 (СH2), 56.4 (CH2), 74.1 (Cчетв.), 96.1 (Cчетв.). Найдено, %: С 65.17; Н 9.18; N 3.24. С24Н40СlNО4. Вычислено, %: С 65.21; Н 9.12; N 3.17.
Гидрохлорид 3-гидроксиметил-5,7-диметил-2-оксаадамантан-1-амина (6). К раствору 5 г (0.089 моль) гидроксида калия в 20 мл воды прибавляли при перемешивании 0.7 г (0.002 моль) N-(5,7-диметил-3-бромметил-2-окса-1-адамантил)ацетамида (5) и 5 мл ПЭГ-400. Реакционную смесь нагревали 25 ч при 105°С, затем охлаждали до комнатной температуры и разбавляли водой. Продукт экстрагировали диэтиловым эфиром (5×10 мл), объединенные органические экстракты сушили над NaOH и упаривали. Из водного слоя продукт дополнительно экстрагировали бутанолом (5 × 10 мл), объединенные вытяжки упаривали на вакуумном роторном испарителе. Полученные после упаривания растворителей остатки объединяли, растворяли в метаноле. Полученный раствор насыщали газообразным хлороводородом. Выпавший осадок отфильтровывали и перекристаллизовывали из смеси диоксан–толуол. Выход 0.15 г (32%). Бесцветные кристаллы, т.пл. 270–272°C (с разл.). ИК-спектр, ν, см-1: 3429 (NH3+), 2947, 2839, 2812 (С–НAd). Спектр ЯМР 1H (ДМСО-d6), δ, м.д.: 0.87 с (6Н, СН3), 1.15–1.20 м (6Н, CHAd), 1.35–1.38 м (2Н, CHAd), 1.51–1.54 м (2Н, CHAd), 3.22 с (2Н, СН2), 3.52 с (1Н, ОН), 8.87 уш.с (3Н, NH3+). Спектр ЯМР 13C (ДМСО-d6), δ, м.д.: 29.5 (CН3), 31.9 (Cчетв.), 41.8 (CН2), 44.0 (CН2), 47.9 (CН2), 68.2 (CН2), 77.9 (Cчетв.), 83.2 (Cчетв.). Найдено, %: С 58.26; Н 9.02; N 5.60. С12Н22ClNО2. Вычислено, %: С 58.17; Н 8.95; N 5.65.
Гидрохлорид ((3-гидрокси-5,7-диметил-2-окса-1-адамантил)метил)-4-морфолина (7). Смесь 0.2 г (0.73 ммоль) 3-бромметил-5,7-диметил-2-оксаадамантан-1-ола (1) нагревали при кипении в 1 мл морфолина в атмосфере аргона в течение 10 ч. Затем экстрагировали хлористым метиленом (3×5 мл), экстракт промывали насыщенным раствором NaCl (2 × 5 мл). После этого экстракт сушили над Na2SO4, растворитель упаривали в вакууме. Остаток растворяли в хлористом метилене и насыщали газообразным HCl, после чего перекристаллизовывали из ацетонитрила. Выход 0.065 г (28%). Т.пл. 233–235°C. ИК-спектр, ν, см-1: 3388, 2951, 2942, 2868, 2840. Спектр ЯМР 1Н (ДМСО-d6), δ, м.д.: 0.84 с (6Н, СН3), 1.11–1.24 м (8Н, СНAd), 1.40–1.44 м (2Н, СНAd), 3.08–3.13 м (2Н, CH2), 3.50–3.53 м (2Н, CH2), 3.81–3.84 м (2Н, CH2), 3.92–3.97 м (2H, CH2), 6.15 уш.с (1Н, ОН), 10.24 уш.с (1Н, +NH). Спектр ЯМР 13С (ДМСО-d6), δ, м.д.: 29.6 (СН3), 32.9 (С), 43.3 (СH2), 47.0 (СH2), 48.2 (CH2), 54.0 СН2), 63.0 (СH2), 64.0 (СH2), 74.9 (С), 96.0 (С). Найдено, %: С 60.56; Н 8.79; N 4.48. С16Н28ClNО3. Вычислено, %: С 60.46; Н 8.88; N 4.41.
Дигидрохлорид 3-((4-морфолин)метил)-5,7-диметил-2-оксаадамантан-1-амина (9). Раствор 0.3 г (1 ммоль) гидрохлорида 5,7-диметил-3-бромметил-2-оксаадамантан-1-амина (8) в 1 мл морфолина нагревали при кипении в атмосфере аргона в течение 10 ч. Реакционную смесь растворяли в ацетоне, образовавшийся осадок отфильтровывали, растворитель упаривали в вакууме. Остаток растворяли в хлористом метилене и насыщали газообразным HCl. Растворитель упаривали, остаток перекристаллизовывали из ацетонитрила. Выход 0.13 г (39%). Т.пл. 269–272°C. ИК-спектр, ν, см-1: 3458–3350, 2951, 2909, 2841. Спектр ЯМР 1Н (ДМСО-d6), δ, м.д.: 0.90 с (6Н, СН3), 1.20–1.28 м (4Н, СНAd), 1.48–1.54 м (6Н, СНAd), 3.02–3.08 м (4Н, CH2), 3.57–3.60 м (2Н, CH2), 3.80–3.83 м (2Н, CH2), 3.93–3.99 м (2Н, CH2), 9.07 c (3H, +NH3), 10.44 (c, 1H, +NH). Спектр 13С ЯМР (ДМСО-d6), δ, м.д.: 29.2 (CH3), 31.9 (Cчетв.), 42.3 (СH2), 43.1 (СH2), 47.2 (СH2), 54.0 (CH2), 63.1 (CH2), 63.7 (CH2), 75.9 (Cчетв.), 83.3 (Cчетв.). Найдено, %: С 54.48; Н 8.45, N 7.99. С16Н30Cl2N2О2. Вычислено, %: С 54.39; Н 8.56; N 7.93.
Бромид ((3-гидрокси-5,7-диметил-2-окса-1-адамантил)метил)-1-пиридиния (10). Смесь 0.5 (1.82 ммоль) 3-бромметил-5,7-диметил-2-оксаадамантан-1-ола (1) и 5 мл пиридина нагревали при кипении в течение 40 ч. После этого прибавляли еще 2 мл пиридина и продолжали кипятить реакционную смесь еще 35 ч. Избыток пиридина упаривали в вакууме. К остатку прибавляли абсолютный диэтиловый эфир, осадок отфильтровывали и промывали небольшим количеством эфира. Выход 0.13 г (19 %). Белый порошок, т.пл. 182–182.5°С. ИК-спектр, ν, см-1: 3140, 3055, 3032, 2945, 2922, 2864, 2839. Спектр ЯМР 1Н (ДМСО-d6), δ, м.д.: 0.81–0.86 м (8Н, СН3, CHAd), 1.08–1.12 м (4Н, СНAd), 1.20–1.29 м (4Н, СНAd), 4.68 с (2H, CH2), 6.22 с (1Н, ОН), 8.16 т (2H, J 7.2 Гц, CH), 8.65 т (1H, J 7.6 Гц, CH), 8.87 д (2H, J 6.0 Гц, CH). Спектр ЯМР 13С (ДМСО-d6), δ, м.д.: 29.5 (СН3), 32.9 (Cчетв.), 42.1 (СH2), 47.1 (СH2), 48.2 (CH2), 67.7 (СH2), 74.7 (Cчетв.), 96.2 (Cчетв.), 127.9 (СН), 146.4 (СН), 146.6 (СН). Найдено, %: С 57.70; Н 6.76; N 4.02. С17Н24BrNО2. Вычислено, %: С 57.63; Н 6.83; N 3.95. Маточный раствор упаривали и выделяли 0.3 г соединения 1.
Бромид ((3-гидрокси-5,7-диметил-2-окса-1-адамантил)метил)-1-изохинолиния (11). Раствор 3 г (0.011 моль) соединения 1 в 7.2 мл (0.061 моль) изохинолина нагревали при 100–105 °С в течение 54 ч в атмосфере аргона. Затем реакционную смесь охлаждали до комнатной температуры, прибавляли диэтиловый эфир и перемешивали при комнатной температуре. Осадок отфильтровывали и промывали эфиром для удаления непрореагировавшего 5,7-диметил-3-бромметил-2-оксаадамантанола-1 (1). Выход 0.65 г (15%). Бежевые кристаллы, т.пл. 227–229 °С. ИК-спектр, ν, см-1: 3263, 3043, 3016, 2943, 2916, 2862, 2839. Спектр ЯМР 1H (CDCl3), δ, м.д.: 0.83 с (6Н, СН3), 0.97–1.00 м (2Н, CHAd), 1.12–1.34 м (6Н, CHAd), 1.59–1.62 м (2Н, CHAd), 5.14 c (2H, CH2), 7.86–7.90 м (1Н, СНAr), 8.06–8.12 м (2Н, СНAr), 8.38 д (1Н, J 6.8 Гц, СНAr), 8.79 д (1Н, J 8.0 Гц, СНAr), 9.05 д (1Н, J 6.8 Гц, СНAr), 10.78 с (1Н, СНAr). Спектр ЯМР 13C (CDCl3), δ, м.д.: 29.0 (СН3), 33.1 (Cчетв.), 41.9 (СН2), 47.0 (СН2), 48.1 (СН2), 67.6 (СН2), 75.8 (Cчетв.), 96.8 (Cчетв.), 125.7 (CH), 127.0 (CH), 127.5 (Cчетв.), 131.0 (CH), 131.8 (CH), 136.9 (CH), 137.1 (CH), 137.6 (Cчетв.), 151.1 (CH). Найдено, %: С 62.45; Н 6.40; N 3.55. С21Н26BrNО2. Вычислено, %: С 62.38; Н 6.48; N 3.46. Маточный раствор упаривали и выделяли 1 г соединения 1.
3-((3,4-Дигидроизохинолин-2(1Н)-ил)метил)-5,7-диметил-2-оксаадамантан-1-ол (12). К охлажденному до 0°С раствору 0.75 г (1.9 ммоль) соли 11 в 5 мл метанола порционно при перемешивании прибавляли 0.18 г (4.7 ммоль) NaBH4 в течение 1 ч. Реакционную смесь перемешивали при комнатной температуре 20 ч, затем разбавляли 30 мл воды и экстрагировали хлористым метиленом (4 × 15 мл). Объединенные органические фракции промывали водой и сушили над безводным сульфатом натрия. Растворитель упаривали на вакуумном роторном испарителе. Выход 0.3 г (49%), желтое масло. ИК-спектр, ν, см-1: 3375, 3047, 3024, 2943, 2920, 2862, 2839. Спектр ЯМР 1H (CDCl3), δ, м.д.: 0.91 с (6Н, СН3), 1.16–1.23 м (4Н, CHAd), 1.34–1.45 м (6Н, CHAd), 1.99 с (1Н, ОН), 2.52 с (2Н, СН2), 2.86 с (4Н, СН2), 3.74 с (2Н, СН2), 6.98–7.00 м (1Н, СНAr), 7.06–7.10 м (3Н, СНAr). Спектр ЯМР 13C (CDCl3), δ, м.д.: 29.3 (СН2), 29.4 (СН3), 33.1 (Cчетв.), 43.8 (СН2), 47.4 (СН2), 48.8 (СН2), 52.9 (СН2), 58.0 (СН2), 67.0 (СН2), 78.3 (Cчетв.), 96.2 (Cчетв.), 125.5 (CH), 126.0 (CH), 126.7 (CH), 128.7 (CH), 134.6 (Cчетв.), 135.6 (Cчетв.). Найдено, %: С 77.09; Н 8.87; N 4.35. C21H29NO2. Вычислено, %: С 77.02; Н 8.93; N 4.28.
ЗАКЛЮЧЕНИЕ
Реакцией нуклеофильного замещения из 3-бромметил-5,7-диметил-2-оксаадамантан-1-ола получены новые спирты, простые эфиры, амины, аминоспирты и другие азотсодержащие соединения ряда 2-оксаадамантана. Полученные вещества могут быть использованы для изучения биологической активности и в качестве структурных блоков в синтезе новых материалов с комплексом ценных свойств.
БЛАГОДАРНОСТИ
Работа выполнена с использованием научного оборудования центра коллективного пользования СамГТУ «Исследование физико-химических свойств веществ и материалов».
ФОНДОВАЯ ПОДДЕРЖКА
Синтез соединений 2, 3, 8, 10 выполнен при финансовой поддержке Российского научного фонда (проект № 20-73-00250). Синтез всех остальных структур выполнен при поддержке Российского научного фонда (грант № 21-73-20103) (спектры ЯМР 13С зарегистрированы с использованием научного оборудования ЦКП «Новые материалы и ресурсосберегающие технологии» Нижегородского государственного университета им. Н.И. Лобачевского). Остальные спектральные данные получены при поддержке Министерства науки и высшего образования Российской Федерации (тема № FSSE-2023-0003) в рамках государственного задания Самарского государственного технического университета.
КОНФЛИКТ ИНТЕРЕСОВ
Авторы заявляют об отсутствии конфликта интересов.
About the authors
E. A. Ivleva
Samara State Technical University
Author for correspondence.
Email: ivleva.ea@samgtu.ru
ORCID iD: 0000-0001-5778-860X
Russian Federation, ul. Molodogvardeiskaya, 244, Samara, 443100
Yu. E. Khatmullina
Samara State Technical University
Email: ivleva.ea@samgtu.ru
Russian Federation, ul. Molodogvardeiskaya, 244, Samara, 443100
M. S. Zaborskaya
Samara State Technical University
Email: ivleva.ea@samgtu.ru
Russian Federation, ul. Molodogvardeiskaya, 244, Samara, 443100
E. V. Simatova
Samara State Technical University
Email: ivleva.ea@samgtu.ru
Russian Federation, ul. Molodogvardeiskaya, 244, Samara, 443100
D. A. Bazarova
Samara State Technical University
Email: ivleva.ea@samgtu.ru
Russian Federation, ul. Molodogvardeiskaya, 244, Samara, 443100
Yu. N. Klimochkin
Samara State Technical University
Email: ivleva.ea@samgtu.ru
ORCID iD: 0000-0002-7335-4040
Russian Federation, ul. Molodogvardeiskaya, 244, Samara, 443100
References
- Nasrallah H., Hierso J.-C. Chem. Mater. 2019, 31, 619–642. doi: 10.1021/acs.chemmater.8b04508
- Wanka L., Iqbal K., Schreiner P. R. Chem. Rev. 2013, 113, 3516–3604. doi: 10.1021/cr100264t
- Stockdale T. P., Williams C. M. Chem. Soc. Rev.2015, 44, 7737–7763. doi: 10.1039/c4cs00477a
- Spilovska K., Zemek F., Korabecny J., Nepovimova E., Soukup O., Windisch M., Kuca K. Curr. Med. Chem. 2016, 23 (29), 3245–3266. doi: 10.2174/0929867323666160525114026
- Lamoureux G., Artavia G. Curr. Med. Chem. 2010, 17, 2967–2978. doi: 10.2174/092986710792065027
- Ширяев В.А., Климочкин Ю.Н. ХГС. 2020, 56 (6), 626–635 [Shiryaev V. A., Klimochkin Y. N. Chem. Heterocycl. Compd. 2020, 56 (6), 626–635]. doi: 10.1007/s10593-020-02712-6
- Климочкин Ю.Н., Ширяев В.А., Леонова М.В. Изв. АН. Сер. хим. 2015, 64 (7), 1473–1496 [Klimochkin Y.N., Shiryaev V.A., Leonova M.V. Russ. Chem. Bull. 2015, 64 (7), 1473–1496]. doi: 10.1007/s11172-015-1035-y
- Shiryaev V.A., Skomorohov M.Yu., Leonova M.V., Bormotov N.I., Serova O.A., Shishkina L.N., Agafonov A.P., Maksyutov R.A., Klimochkin Y.N. Eur. J. Med. Chem. 2021, 221, 113485. doi: 10.1016/j.ejmech.2021.113485
- Shiryaev V.A., Radchenko E.V., Palyulin V.A., Zefirov N.S., Bormotov N.I., Serova O.A., Shishkina L.N., Baimuratov M.R., Bormasheva K.M., Gruzd Y.A., Ivleva E.A., Leonova M.V., Lukashenko A.V., Osipov D.V., Osyanin V.A., Reznikov A.N., Shadrikova V.A., Sibiryakova A.E., Tkachenko I.M., Klimochkin Y.N. Eur. J. Med. Chem. 2018, 158, 214–235. doi: 10.1016/j.ejmech.2018.08.009
- Schoedel A., Rajeh S. Top. Curr. Chem. 2020, 378 (1), 19. doi: 10.1007/s41061-020-0281-0
- Ивлева Е.А., Баймуратов М.Р., Журавлева Ю.А., Климочкин Ю.Н., Куликова И.А., Поздняков В.В., Шейкина Н.А., Тыщенко В.А. ЖОХ. 2014, 84 (12), 2048–2050. [Е.А. Ivleva, М.R. Baimuratov, Yu.А. Zhuravleva, Yu.N. Klimochkin, I.А. Kulikova, V.V. Pozdnyakov, N.А. Sheikina, V.А. Tyshchenko. Russ. J. Gen. Chem. 2014, 84 (12), 2464–2466]. doi: 10.1134/S1070363214120226
- Ивлева Е.А., Баймуратов М.Р., Малиновская Ю.А., Климочкин Ю.Н., Тыщенко В.А., Куликова И.А., Поздняков В.В., Овчинников К.А. Нефтехимия. 2019, 59 (6), 684–689. [Ivleva E.A., Baimuratov M.R., Malinovskaya Yu.A., Klimochkin Yu.N., Tyshchenko V.A., Kulikova I.A., Pozdnyakov V.V., Ovchinnikov K.A. Petrol. Chem. 2019, 59 (11), 1235–1239.] doi: 10.1134/S0965544119110082
- Моисеев И.К., Коньков С.А., Овчинников К.А., Киляева Н.М., Бормашева К.М., Нечаева О.Н., Леонова М.В., Климочкин Ю.Н., Балахнин С.М., Бормотов Н.И., Серова О.А., Беланов Е.Ф. Хим.-фарм. ж. 2011, 45 (10), 9–13. [Moiseev I.K., Kon’kov S.A., Ovchinnikov K.A., Kilyaeva N.M., Bormasheva K.M., Nechaeva O.N., Leonova M.V., Klimochkin Yu.N., Balakhnin S.M., Bormotov N.I., Serova O.A., E.F. Belanov. Pharm. Chem. J. 2012, 45 (10), 588–592.] doi: 10.1007/s11094-012-0686-3
- Ивлева Е.А., Ткаченко И.М., Гаврилова В.С., Климочкин Ю.Н. ЖОрХ. 2016, 52 (10), 1406–1411. [Ivleva E.A., Tkachenko I.M., Gavrilova V.S., Klimochkin Yu.N. Russ. J. Org. Chem. 2016, 52 (10), 1394–1399.]doi: 10.1134/S1070428016100043
- Ивлева Е.А., Ткаченко И.М., Климочкин Ю.Н. ЖОрХ. 2016, 52 (11), 1567. [Ivleva E.A., Tkachenko I.M., Klimochkin Yu.N. Russ. J. Org. Chem. 2016, 52 (11), 1558]. doi: 10.1134/S1070428016110026
- Моисеев И.К., Багрий Е.И., Климочкин Ю.Н., Долгополова Т.Н., Земцова М.Н., Трахтенберг П.Л. Изв. АН. СССР. Сер. хим. 1985, 34 (9), 2144–2146. [Moiseev I.K., Bagrii E.I., Klimochkin Yu.N., Dolgopolova T.N., Zemtsova M.N., Trakhtenberg P.L. Russ. Chem. Bull. 1985, 34 (9), 1983–1985]. doi: 10.1007/BF00953951
- Леонова М.В., Скоморохов М.Ю., Моисеев И.К., Климочкин Ю.Н. ЖОрХ. 2015, 51 (12), 1737–1743 [Leonova M.V., Skomorokhov M. Yu., Moiseev I.K., Klimochkin Yu.N. Russ. J. Org. Chem. 2015, 51 (12), 1703–1709]. doi: 10.1134/S1070428015120064
- Климочкин Ю.Н., Леонова М.В., Ивлева Е.А., Казакова А.И., Заборская М.С. ЖОрХ. 2021, 57 (1), 7–20. [Klimochkin Yu.N., Leonova M.V., Ivleva E.A., Kazakova A.I., Zaborskaya M.S. Russ. J. Org. Chem. 2021, 57 (1), 1–12.] doi: 10.1134/S1070428021010012
- Ivleva E.A., Klimochkin Yu.N. Org. Prep. Proced. Int. 2017, 49, 155–162. doi: 10.1080/00304948.2017.1291004
- Ивлева Е.А., Гаврилова В.С., Гнусарев Д.И., Ося-нин В.А., Климочкин Ю.Н. ЖОрХ. 2015, 51 (2), 192–195. [Ivleva E.A., Gavrilova V.S., Gnusarev D.I., Osyanin V.A., Klimochkin Yu. N. Russ. J. Org. Chem. 2015, 51 (2), 180–183.] doi: 10.1134/S1070428015020062
- Ivleva E.A., Zaborskaya M.S., Shiryaev V.A., Klimochkin Y.N. Synth. Commun. 2023, 53 (6), 476–491. doi: 10.1080/00397911.2023.2177173
- Климочкин Ю.Н., Юдашкин А.В., Жилкина Е.О., Ивлева Е.А., Моисеев И.К., Ошис Я.Ф. ЖОрХ. 2017, 53 (7), 959–964. [Klimochkin Yu.N., Yudashkin A.V., Zhilkina E.O., Ivleva E.A., Moiseev I.K., Oshis Ya.F. Russ. J. Org. Chem. 2017, 53 (7), 971–976]. doi: 10.1134/S1070428017070028
- Зефиров Н.С., Аверина Н.В., Фомичева О.А. ХГС. 1994, 30 (5), 608–612.
- Schreiner P. R., Lauenstein O., Kolomitsyn I.V., Nadi S., Fokin A.A. Angew. Chem. Int. Ed. 1998, 37 (13/14), 1895–1897. doi: 10.1002/(SICI)1521-3773(19980803)37:13/14<1895::AID-ANIE1895>3.0.CO;2-A
- Alder R. W., Carta F., Reed C. A., Stoyanova I., Willis C. L. Org. Biomol. Chem. 2010, 8 (7), 1551–1559. doi: 10.1039/B921957A
- Шитов О.П., Тартаковский В.А., Иоффе С.Л. ХГС. 2014, 50 (12), 1795–1806. [Shitov O.P., Tartakovskii V.A., Ioffe S.L. Chem. Heterocycl. Compd. 2015, 50 (12), 1647–1657]. doi: 10.1007/s10593-015-1634-4
- Leiva R., Gazzarrini S., Esplugas R., Moroni A., Naesens L., Sureda F. X., Vázquez S. Tetrahedron Lett. 2015, 56 (10), 1272–1275. doi: 10.1016/j.tetlet.2015.01.160
- Duque M. D., Camps P., Profire L., Montaner S., Vázquez S., Sureda F. X., Mallol J., López-Querol M., Naesens L., De Clercq E., Prathalingam, S.R., Kelly J.M. Bioorg. Med. Chem. 2009, 17 (8), 3198–3206. doi: 10.1016/j.bmc.2009.02.007
- Benneche T., Tius M. A. Tetrahedron Lett. 2016, 57 (29), 3150–3151. doi: 10.1016/j.tetlet.2016.06.027
- Codony S., Pujol E., Pizarro J., Feixas F., Valverde E., Loza M.I., Brea J.M., Saez E., Oyarzabal J., Pineda-Lucena A., Perez B., Perez C., Rodríguez-Franco M.I., Leiva R., Osuna S., Morisseau C., Hammock B.D., Vazquez-Carrera M., Vazquez S. J. Med. Chem. 2020, 63, 9237−9257. doi: 10.1021/acs.jmedchem.0c00310
- Amaoka Y., Nagatomo M., Inoue M. Org. Lett. 2013, 15 (9), 2160–2163. doi: 10.1021/ol4006757
- Subramaniam R., Fort Jr. R.C. J. Org. Chem. 1984, 49 (16), 2891–2896. doi: 10.1021/jo00190a010
- Momose T., Masuda K., Furusawa S., Muraoka O., Itooka T. Chem. Pharm. Bull. 1990, 38 (6), 1707–1711. doi: 10.1248/cpb.38.1707
- Momose T., Masuda K., Furusawa S., Muraoka O., Itooka T. Synth. Commun. 1982, 12 (13), 1039-1046. doi: 10.1080/00397918208061945
- Nagatomo M., Hagiwara K., Masuda K., Koshimizu M., Kawamata T., Matsui Y., Urabe D., Inoue M. Chem. Eur. J. 2016, 22 (1), 222–229. doi: 10.1002/chem.201503640
- Amaoka Y., Nagatomo M., Watanabe M., Tao K., Kamijo S., Inoue M. Chem. Sci. 2014, 5, 4339–4345. doi: 10.1039/C4SC01631A
- Partch R., Brewster W., Stokes B. Croat. Chem. Acta. 1985, 58 (4), 661–669.
- Moon S., Wright D. G., Schwartz A. L. J. Org. Chem. 1976, 41 (11), 1899–1903. doi: 10.1021/jo00873a003
- Yeh V.S.C., Kurukulasuriya R., Madar D., Patel J.R., Fung S., Monzon K., Chiou W., Wang J., Jacobson P., Sham H.L., Link J.T. Bioorg. Med. Chem. Lett. 2006, 16, 5408–5413. doi: 10.1016/j.bmcl.2006.07.062
- Camps P., Gomez E., Munoz-Torrero D., Font-Bardia M., Solans X. Tetrahedron. 2003, 59, 4143–4151. doi: 10.1016/S0040-4020(03)00577-5
- Yokoshima S., Ishikawa M., Beniyama Y., Fukuyama T. Chem. Pharm. Bull. 2016, 64 (10), 1528–1531. doi: 10.1248/cpb.c16-00507
- Sola I., Viayna E., Gómez T., Galdeano C., Cassina M., Camps P., Romeo M., Diomede L., Salmona M., Franco P., Schaeffer M., Colantuono D., Robin D., Brunner D., Taub N., Hutter-Paier B., Muñoz-Torrero D. Molecules, 2015, 20, 4492–4515. doi: 10.3390/molecules20034492
- Ronco C., Jean L., Renard P.Y. Tetrahedron Lett. 2010, 66 (37), 7399–7404. doi: 10.1016/j.tet.2010.07.021
- Ronco C., Foucault R., Gillon E., Bohn P., Nachon F., Jean L., Renard P.Y. ChemMedChem. 2011, 6 (5), 876–888. doi: 10.1002/cmdc.201000523
- Ronco C., Jean L., Outaabout H., Renard P.-Y. Eur. J. Org. Chem. 2011, 2011 (2), 302–310. doi: 10.1002/ejoc.201001158
- Mlinarić-Majerski K., Kragol G. Tetrahedron. 2001, 57 (3), 449–457. doi: 10.1016/S0040-4020(00)01013-9
- RamljakT. S., Despotovic I., Bertosa B., Mlinaric-Majerski K. Tetrahedron. 2013, 69, 10610–10620. doi: 10.1016/j.tet.2013.10.039
- Zhou Q., Zhu L., Cai R., Li H., Luo J. FirePhysChem. 2023, 3 (1), 11–15. doi: 10.1016/j.fpc.2022.09.002
- Ивлева Е.А., Клепиков В. В., Хатмуллина Ю. Э., Рыбаков В. Б., Климочкин Ю. Н. ЖОрХ, 2022, 58 (1), 51–60. [Ivleva E.A., Klepikov V.V., Khatmullina Yu.E., Rybakov V.B., Klimochkin Yu.N. Russ. J. Org. Chem. 2022, 58 (1), 38–46]. doi: 10.1134/S1070428022010043
- Ивлева Е.А., Симатова Е.В., Клепиков В.В., Хатмуллина Ю.Э., Климочкин Ю.Н. ЖОрХ, 2023, 59 (3), 358–365. [Ivleva E.A., Simatova E.V., Klepikov V.V., Khatmullina Yu.E., Klimochkin Yu.N. Russ. J. Org. Chem. 2023, 59 (3), 402–408]. doi: 10.1134/S1070428023030077
- Ивлева Е.А., Симатова Е.В., Заборская М.С., Казачкова М.С., Рыбаков В.Б., Климочкин Ю.Н. ЖОрХ, 2023, 59 (3), 366–375 [Ivleva E.A., Simatova E.V., Zaborskaya M.S., Kazachkova M.S., Rybakov V.B., Klimochkin Yu.N. Russ. J. Org. Chem. 2023, 59 (3), 409–416]. doi: 10.1134/S1070428023030089
Supplementary files









