Электрохимическое карбоксилирование с участием СО2
- Авторы: Будникова Ю.Г.1
-
Учреждения:
- ФИЦ Казанский научный центр
- Выпуск: Том 60, № 12 (2024)
- Страницы: 1167-1194
- Раздел: Статьи
- URL: https://journal-vniispk.ru/0514-7492/article/view/283531
- DOI: https://doi.org/10.31857/S0514749224120018
- EDN: https://elibrary.ru/QEXULH
- ID: 283531
Цитировать
Полный текст
Аннотация
Углекислый газ (CO2) является широко распространенным недорогим возобновляемым источником C1 углерода и основным компонентом парниковых газов, поэтому в соответствии с принципами устойчивого развития в настоящее время активно изучаются возможности его эффективного превращения в полезные продукты. Электрохимический органический синтез как экологичный, мягкий и селективный метод считается идеальным для утилизации и использования CO2 в качестве реагента. В обзорной статье обобщены недавние достижения в области электрокарбоксилирования с участием CO2 – прекурсора в реакциях различных типов с учетом принципов “зеленой” химии, причем особое внимание уделено процессам на последней стадии функционализации сложных молекул, перспективных для медицинской химии и фармакологии.
Полный текст
СОДЕРЖАНИЕ
- ВВЕДЕНИЕ
- РЕАКЦИИ ПРИСОЕДИНЕНИЯ К НЕПРЕДЕЛЬНЫМ УГЛЕВОДОРОДАМ
- КАРБОКСИЛИРОВАНИЕ АРОМАТИЧЕСКИХ (ГЕТЕРОАРОМАТИЧЕСКИХ) И ЦИКЛИЧЕСКИХ СОЕДИНЕНИЙ
- ДЕГАЛОГЕНИРУЮЩЕЕ КАРБОКСИЛИРОВАНИЕ
- ЗАКЛЮЧЕНИЕ
1. ВВЕДЕНИЕ
Дефицит энергии и загрязнение окружающей среды – две основные глобальные проблемы, стоящие перед человечеством. Текущее мировое потребление энергии сильно зависит от ископаемого топлива. Растут опасения, что активизация деятельности человека не только ускорит потребление ископаемого топлива, но также приведет к увеличению выбросов парниковых газов, нарушит углеродный баланс и приведет к изменению климата [1–4]. Поиск решений проблемы эффективного снижения уровня CO2 в атмосфере и использования углекислого газа в дальнейшем стал важной темой исследований во всем мире. Однако, кроме сокращения выбросов, особое внимание стали уделять возможности использования СО2 в качестве нового углеродного сырья для синтеза и электросинтеза как простых продуктов, таких как CO, муравьиная кислота, метиловый спирт, так и более сложных С2+ [5–23] молекул, в том числе для функционализации, особенно на позддней стадии (late-stage functionalization), структурно разнообразных практически важных соединений, биологически активных и фармакологически интересных [9, 24–27]. Такой подход позволяет избежать использования ископаемых ресурсов при переходе к более экологически приемлемому будущему производству, соответствующему концепции устойчивого развития. Обнаружение новых селективных реакций превращения СО2 или использования его для создания новых функциональных групп в сложных молекулах в последние годы подогревает интерес к этой тематике использования CO2 как строительного блока в органическом синтезе. Электрохимическое восстановление CO2 (аббревиатура CO2RR) является многообещающим и сравнительно легко реализуемым методом экологически безопасного преобразования CO2 в химические соединения с добавленной стоимостью (added value) или топливо [8–23]. В общем случае для активации углекислого газа необходимы электрокаталитические условия, либо участие гомогенных катализаторов – металлокомплексов или солей металлов, либо содействие гетерогенных или наногетерогенных каталитических систем, когда эта реакция активации происходит на электродах разной природы, часто модифицированных всевозможными металлоорганическими или неорганическими производными металлов. В настоящем обзоре обобщены последние достижения в области электрохимических превращений СО2 как строительного блока для конструирования и функционализации разнообразных органических молекул, в первую очередь, методом электрокарбоксилирования. Электрохимические преобразования органических субстратов в присутствии СО2 в новые более сложные практически значимые продукты в одну стадию, особенно в результате прямой функционализации–карбоксилирования связи С–Н, описаны в литературе в гораздо меньшей степени [9, 27], чем электрокаталитические превращения собственно СО2 в простые и недорогие С1 продукты с прицелом на их крупномасштабное производство (CO, HCOOH, CH3OH и т.п.) [8–23, 28]. Хотя механизмы этих реакций не исследованы в полной мере, поскольку выделение и изучение свойств интермедиатов затруднительно, тем не менее практически всегда предлагается тот или иной путь, который определяется, как правило, потенциалами восстановления реагентов.
CO2 – одна из самых стабильных молекул благодаря прочной двойной связи C=O с энергией связи 750 кДж/моль, что значительно больше, чем энергия одинарной связи C–C (336 кДж/моль), C–O (327 кДж/моль) или C–H (411 Дж/моль) [29]. Углекислый газ является редокс-активным и в зависимости от условий, природы электрода, растворителей может участвовать в многоэлектронных процессах. Электрокаталитическое или фотокаталитическое восстановление CO2 термодинамически затруднено и требует значительных затрат энергии для разрыва связи C=O. Процессы восстановления CO2 – сложные, могут протекать по различным реакционным маршрутам с переносом 2, 4, 6, 8, 12 или даже более электронов и давать различные продукты восстановления, включая монооксид углерода (CO), муравьиную кислоту (HCOOH), метан (CH4), этилен (C2H4) и многие другие в зависимости от природы катализаторов, а также реальных условий эксперимента. Так, одноэлектронное восстановление до анион-радикала происходит при –1.90 В (E0, В, отн. НВЭ (нормальный водородный электрод), pH 7) [29, 30], 8-электронное восстановление до CH4 – уже при –0.24 В, а 12-электронный процесс восстановления 2 молекул СО2 в этанол – при –0.33 В. В результате сложности многоэлектронных процессов превращения CO2 и зависимости их от потенциала катода, каталитическое электрохимическое восстановление CO2RR до последнего времени имело существенные недостатки, к которым можно отнести малую эффективность и низкую селективность. Однако эти недостатки постепенно успешно преодолеваются. Несмотря на то, что некоторые реакции (например, восстановление до CH4, метанола или этилена C2H4) термодинамически более выгодны, чем реакция двухэлектронного выделения водорода, реакция восстановления CO2 протекает значительно медленнее. Это связано с тем, что после химической адсорбции углекислого газа на рабочем электроде первый перенос электрона с образованием анион-радикала CO2• − происходит только при –1.90 В (в водных средах при pH 7 [29, 30]), потому что нужно реорганизовать исходную линейную молекулу в изогнутый анион-радикал. Формирование этого промежуточного состояния приводит к значительному перенапряжению и часто является скорость-определяющей стадией.
При использовании СО2 в качестве реагента в органических реакциях следует исключить условия гидрирования его и, соответственно, водных сред, обеспечивающих эти превращения, так, чтобы на электродах взаимодействовали только либо сам СО2, либо органические участники реакции и/или интермедиаты без участия воды (протонодоноров). Использование металлов-катализаторов в виде модификаторов поверхности электродов или гомогенных комплексов может заметно снизить как потенциал электролиза (термодинамический выигрыш), так и увеличить токи за счет быстрой регенерации каталитически активной формы (увеличить скорость). Потенциал восстановления CO2 в анион-радикал в апротонных растворителях оценен в редких случаях и приписывается к потенциалу полуволны E1/2 CO2 = –2.2 В в ДМФА и –2.3 В в CH3CN отн.НКЭ (насыщенный каломельный электрод) [31, 32], хотя часто не удается получить выраженного пика на вольтамперограмме в рабочей области потенциалов, например, вплоть до –3В отн.НКЭ в CH3CN, n-Bu4NClO4 [33]. Возможно, экспериментальная недоказанность значений потенциалов, отсутствие пиков восстановления на ЦВА (циклическая вольтамперограмма) отражаются на предполагаемых механизмах превращения CO2 в восстановительных реакциях присоединения и замещения. Электросинтез проходит при высоких значениях восстановительных потенциалов в большинстве случаев без участия медиаторов-катализаторов реакции. Как оказалось, большинство разработанных методик электрокарбоксилирования с участием СО2 предполагает использование ячейки без разделения анодного и катодного пространства. На катоде восстанавливаются органические субстраты-участники сочетания с СО2, ненасыщенные соединения, ароматические производные и т.д. одновременно или последовательно, а на аноде окисляется либо металл анода (если выбирается растворимый или потребляемый анод типа Mg, Zn, Al), либо вода и растворители.
Поиск оптимальных условий и соединений для связывания СО2 в практически важные продукты представляется очень актуальным и современным направлением достижения углеродной нейтральности.
2. РЕАКЦИИ ПРИСОЕДИНЕНИЯ К НЕПРЕДЕЛЬНЫМ УГЛЕВОДОРОДАМ
В первых работах по электрокарбоксилированию с участием СО2 [34–36] использовали растворимые аноды из Mg, Al и бездиафрагменные электролизеры простой конструкции. Интересно, что многочисленные попытки отказаться от растворимых анодов в дальнейшем, хотя и успешные в ряде случаев, показали эффективность предложенных конструкционных решений для реакций различных ненасыщенных соединений. С участием алкенов в основном получали продукты дикарбоксилирования. Так, электрохимическое дикарбоксилирование фенилзамещенных алкенов в присутствии CO2 (атмосферное давление) с Pt-катодом и Mg-анодом в растворе ДМФА и Et4NClO4 дает при температуре 0–10°С соответствующие дикарбоновые кислоты с высоким выходом выделенного продукта до 91% (схема 1, а) [35]. Электрохимическое дикарбоксилирование стирола в присутствии CO2 (атм.) с Ti-катодом и Mg-стержневым анодом легко и эффективно протекает в растворе MeCN и Et4NBr с образованием 2-фенилянтарной кислоты с выходом до 86% (схема 1, b) [36].
Схема 1
Предложен механизм реакции (схема 1, с), которая начинается с восстановления стирола, с образованием радикальных и ион-радикальных интермедиатов, улавливающих CO2 [36]. Но поскольку стирол восстанавливается при более высоких потенциалах Ep = –2.64 В (отн.НКЭ, MeCN), чем СО2, а в присутствии последнего реакция идет легче, появляются предволны на вольтамперограммах, скорее всего, именно СО2 первым взаимодействует на электроде, во всяком случае этот вариант нельзя исключать.
Современные исследования направлены в первую очередь на достижение сайт- и региоселективности синтеза β-монозамещенных карбоксилированных продуктов как болееценных. Было обнаружено, что электрохимическая реакция β-селективного карбоксилирования производных стирола в атмосфере CO2 протекает в присутствии источников протонов (схема 2) [37, 38]. Так, в присутствии воды или HCl достигаются селективность 96% и фарадеевская эффективность 65% (схема 2, а) [37]. Однако, поскольку избыток воды способствует образованию водорода и метана вместо карбоксилирования, самый высокий выход по току продукта β-гидрокарбоксилирования наблюдался при использовании 1 эквивалента H2O. На основании кинетического исследования предположили, что ключевым промежуточным соединением является β-карбоксилатный интермедиат A, восстановленная форма которого B вступает в конкурентные реакции протонирования и присоединения CO2 по бензильному положению стирола (схема 2, b) [37].
Схема 2
Использование триэтаноламина (TEOA) в качестве источника протонов, ДМФА и Et4NI в электролизе замещенных олефинов в ячейке с углеродными электродами без разделения анодного и катодного пространства позволило реализовать β-монокарбоксилирование (схема 2, с) [38]. В реакцию вступают как терминальные, так и ди- и тризамещенные олефины. Механизм процесса примерно соответствуют предложенному ранее (схема 2, b) [37].
Алкены, содержащие α-CF3 группу, подвергаются карбоксилированию под действием СО2 и одновременно дефторированию (схема 3) [39]. Разнообразные γ,γ-дифторвинилуксусные кислоты были получены в мягких условиях с использованием платиновых анода и катода в условиях электролиза в ДМФА, причем условия оказались применимы для алкенов с различными функциональными группами и даже позволили получить производные биологически активных молекул. Методика успешна на поздней стадии функционализации сложных структур с множественными заместителями разной природы. Акцепторная CF3-группа облегчает восстановление алкена, поэтому механизм реакции предполагает восстановление алкена на первой стадии, за которым следует присоединение СО2 к анион-радикалу в γ-положении, затем присоединение второго электрона с элиминированием F-. На аноде одновременно окисляется вода или ДМФА (схема 3, механизм реакции).
Схема 3
Селективность карбоксилирования сопряженных диенов остается большой проблемой до настоящего времени, особенно монокарбоксилирования. Как правило, в большинстве реакций получается α,γ-дикарбоксилированный продукт. Для электрокарбоксилирования 1,3-алленов использовали растворимый анод (Mg) и комплексы никеля в качестве катализатора в ДМФА (схема 4) [40].
Схема 4
Каталитическая система Ni(II)/Ni(0) приводила к образованию исключительно дикарбоновой кислоты Z-олефина с хорошей селективностью. Общий механизм карбоксилирования был предложен для различных тестируемых алкенов. Предполагалось, что Ni(0) одновременно координируется с олефином и СО2 с образованием промежуточного оксаникелациклопентанона (схема 4). Кислота Льюиса, в данном случае анодно генерируемые ионы Mg2+, способствуют раскрытию этого металлацикла, элиминированию продукта и регенерации Ni(II) [40]. Терминальную двойную связь не удалось вовлечь в реакции функционализации ни с одной протестированной каталитической системой [40]. В случае арилалкенов или активированных олефинов предполагается введение второй молекулы CO2 в металлацикл, который после гидролиза приводит к 1,2-дикарбоновым кислотам.
Механизм реакции электрокарбоксилирования бутадиена и этена (который выбран для DFT-моделирования) на катодах-электрокатализаторах из Pt и Ni подробно исследован с целью выбора более активных материалов электродов (схема 5) [41]. Радикалы, обозначенные точками, прочно связаны с поверхностью металла, что тушит спиновую поляризацию. Ni оказался более эффективным для карбоксилирования, и поэтому более подробно изучен. При потенциале у основания волны на циклической вольтамперограмме Eonset = –1.3 В скорость восстановления низкая, и только при –2.5 В реакция протекает легко, поскольку начинает образовываться свободный CO2- радикал. DFT исследование показало, что скорость-лимитирующей стадией является первое карбоксилирование. Побочные продукты реакции зависят от потенциала электрода: муравьиная кислота образуется за счет следов воды при любых потенциалах, а оксалаты – только в результате димеризации свободных радикалов СО2 при высоких потенциалах. Карбонаты и CO являются побочными продуктами при умеренных потенциалах, но их образование подавляется при более высоких потенциалах, поскольку они в основном образуются на поверхности металла, а не через “свободный” CO2 радикал. Энергия активации первой реакции карбоксилирования значительно ниже на Ni(111), чем на Pt(111), что объясняет лучшую каталитическую активность Ni по сравнению с Pt электродом. Кроме того, конкурирующие реакции образования CO и карбоната быстрее на Pt, чем на Ni, поскольку последний в большей степени стабилизирует кислородные интермедиаты. Предполагают, что для разработки улучшенного катализатора необходимо будет снизить энергию активации реакции сочетания C–C и одновременно подавить образование карбонатов. В результате реализовано электрокарбоксилирование 2,3-диметилбутадиена на никелевом катализаторе-катоде (схема 5, а) [41] с умеренными выходами.
Схема 5
Позже Бакли предложил новый подход, не использующий растворимые аноды [42], которые все же имеют известные недостатки, такие как образование побочных солей металлов (Mg, Al и т.п.), хотя участие этих солей в реакциях часто является важным и способствует селективности. Описанный метод обеспечивает ранее неизвестный прямой путь к карбоновым кислотам, полученным из диенов, причем CO2H группа присоединяется в δ-положение (схема 6). Присутствие воды и TEOA позволяет избежать дикарбоксилирования (протонируя интермедиаты), а катод из нержавеющей стали (SS) ингибирует гидрирование диенов из-за высокого перенапряжения выделения водорода. Кроме того, простая модификация условий реакции позволяет легко получить α,δ-дикарбоновую кислоту (в отсутствие воды) или α,δ-восстановленный алкен (при замене катода из нержавеющей стали (SS) на никелевый).
Схема 6
Высокоселективное электрокарбоксилирование α,β-ненасыщенных эфиров [43] позволяет напрямую синтезировать карбоновые кислоты из α,β-ненасыщенных эфиров, не содержащих ароматические заместители, и CO2 с хорошими выходами (схема 7, a). Методом ГХ–МС обнаружено образование щавелевой кислоты (продукта радикальной димеризации CO2) и предложен механизм реакции (схема 7, b). Близость потенциалов восстановления акрилатов и СО2 предполагает их конкурентное восстановление на электроде. Процесс был преобразован в проточный достаточно просто, что позволило реализовать граммовый синтез предшественника противоэпилептического средства этосуксимида (схема 7, а). Реакция также применима к функционализации природных соединений, например, производного эстрона.
Схема 7
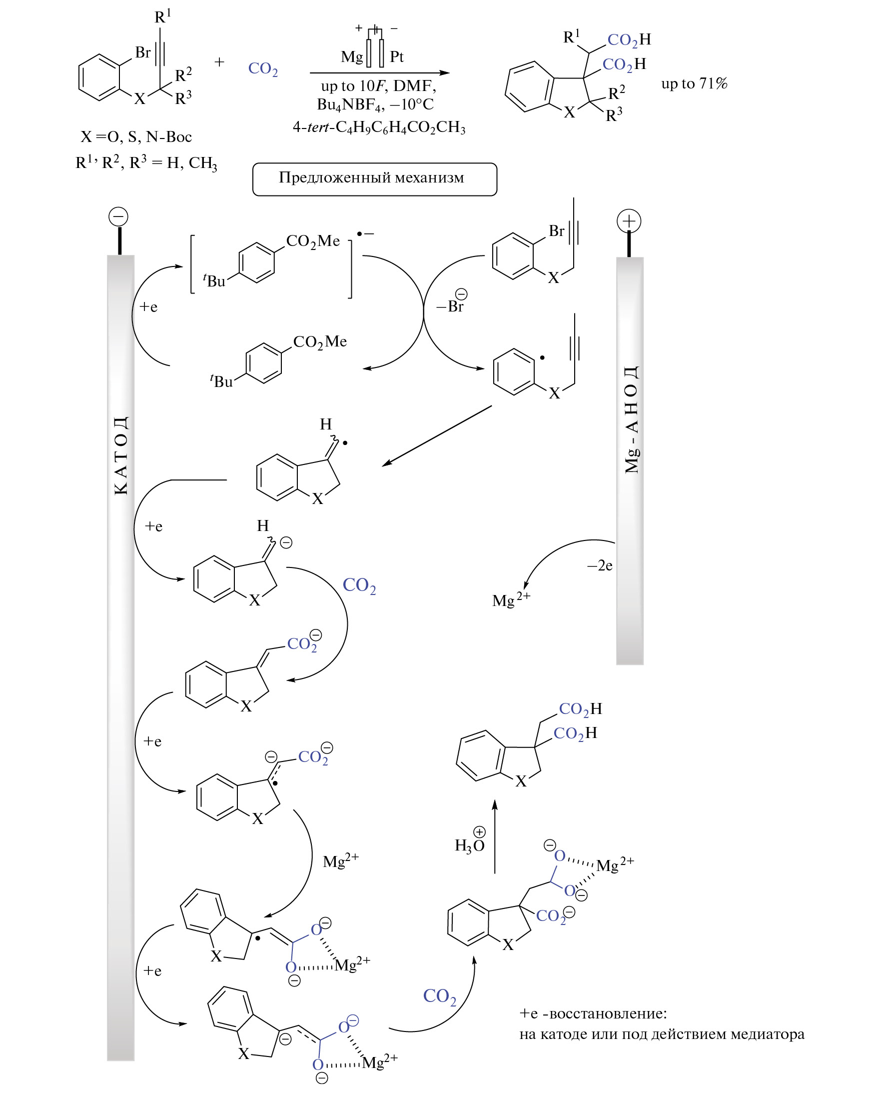
Описана последовательная винил-радикальная циклизация/фиксация диоксида углерода в результате электрохимического восстановления винилбромида в присутствии медиатора переноса электрона метил-4-трет-бутилбензоата (схема 8) [44]. Электролиз винилбромида при постоянном токе в ДМФА в неразделенной ячейке, снабженной платиновым катодом и магниевым анодом, в присутствии медиатора 4-трет-C4H9C6H4CO2CH3 и CO2 привел к селективному образованию винильного радикала, вступающего в реакцию циклизации с последующим связыванием диоксида углерода. Роль медиатора-катализатора заключается в снижении потенциала катода, необходимого для реализации каталитического цикла, что в свою очередь исключает возможные побочные реакции, повышает селективность. В конечном счете образуется новая связь углерод–углерод, γ,δ-ненасыщенные карбо- и гетероциклические карбоновые кислоты с выходами от умеренных до хороших. Предложен механизм, по которому виниловый радикал селективно генерируется в условиях электролиза из винилбромида с элиминированием бромид-иона, далее циклизуется, превращается в анион на катоде и реагирует с СО2. Причем генерируемые на аноде ионы Mg2 стабилизируют анионные интермедиаты, которые после обработки кислотой на стадии выделения дают соответствующие кислоты (схема 8). Дальнейшие превращения продуктов в присутствии иода приводят к бициклическим γ-лактонам [44].
Схема 8
Описано электрохимическое восстановительное карбоксилирование CO2 пара-хинонметидов 1 (схема 9) [45]. Различные ценные с практической точки зрения карбоновые кислоты можно получить с выходами от умеренных до превосходных. Предварительные исследования показали, что в ходе реакции пара-хинонметиды восстанавливаются до бензил-карбаниона. Этот метод отличается высокой атом-экономностью, простотой реализации и экологичностью. Оптимальные условия включают использование в качестве кислоты Льюиса Ni(OTf)2 (тестировали соли алюминия, цинка, меди и др.), магниевый анод и углеродный катод и ДМСО в качестве растворителя.
Схема 9
Предложенный механизм реакции заключается в предшествующем взаимодействии Ni(OTf)2 с кислородом пара-хинонметида, который присоединяет последовательно 2 электрона с образованием бензил-карбаниона, и затем следует реакция последнего с СО2 и образование желаемого продукта карбоксилирования.
Электрохимическое карбоксилирование алкинов известно давно (схема 10) [34, 46]. Никелевые комплексы с бипиридилом, стабилизирующим Ni(0) состояние, оказались эффективны для монокарбоксилирования ацетиленов, причем ключевая роль ионов магния, генерируемых при окислении магниевого анода, была доказана. В реакции с 4-н-октином выделен промежуточный никелацикл, образованный из Ni(0), алкина и СО2, который распадался под действием Mg2+. В реакции были также изучены комплексы с другими лигандами и α,-диины [34], которые давали смеси продуктов, но преимущественно монокарбоксилирования.
Схема 10
Электрохимическое дикарбоксилирование фенилацетиленов CO2 реализовано в присутствии медного катализатора, причем с одновременной внутримолекулярной циклизацией (схема 11) [47]. Как дикарбоновые кислоты, так и трикарбоновые кислоты были получены с хорошими выходами. Интересно, что на выходы трикарбоновых кислот значительно влияют различные условия реакции, особенно природа катализатора (CuI, FeCl2, FeCl3, CuCl2, Pd(OAc)2), катодные материалы и свойства заместителей (электронодонорные или электроноакцепторные). Максимальные выходы получены с CuI катализатором, никелевым катодом и алюминиевым анодом.
Схема 11
Предложен механизм, согласно которому металлические катализаторы, такие как CuI (другие соли – палладия, железа – работают хуже), могут активировать ненасыщенные связи и способствовать внутримолекулярной циклизации группы COO— в результате координации с дирадикалом 1,3-диена [47, 48]. Эти же идеи были использованы для разработки новой стратегии синтеза алкилиденлактонов из CO2 и 1,4-диарилбута-1,3-диинов методом электрохимического катализа с участием CuI (схема 12) [48]. Основными продуктами реакции являлись алкилиденлактоны или γ-кетокарбоновые кислоты с катализатором CuI или без него соответственно.
Схема 12
Возможный механизм реакции 1,4-дифенилбута-1,3-диина с CO2 (схема 12) предполагает конкурентное восстановление прекурсоров – партнеров сочетания. На основании данных вольтамперометрии при потенциале Ep = –2.0 В восстановление диина очевидно, а токи СО2 – нулевые, но поскольку настоящий электрохимический процесс проводился при давлении CO2, равном 4 МПа, а концентрация CO2, растворенного в растворителе ДМФ при таком давлении значительно превышает концентрацию 1,4-дифенилбута-1,3-диина, то следует также учитывать процесс восстановления углекислого газа. Ионы меди способствуют внутримолекулярной циклизации промежуточных анионов. Следует отметить, что все группы-заместители при двойной связи C=C в этих продуктах существуют в E-форме, что указывает на высокую стереоселективность превращения. Показано, что свойства заместителей могут влиять на выход продуктов. Для субстратов с электронодонорными группами выход целевого продукта увеличивался. Электроноакцепторная группа, наоборот, снижала выход. Кроме того, в тех же условиях электрокарбоксилирование (Z,E)-1,4-дифенилбут-1-ен-3-ина CO2 дает соответствующий алкилиденлактон с высоким выходом (85%) [48].
Внутримолекулярная циклизация тройной связи алкинового фрагмента при участии 2 молекул CO2 и арильного радикала, генерируемого при электрохимическом восстановлении 2-(2-пропинилокси)бромбензолов, дает производные янтарной кислоты с 2,2 -сочлененными циклами с выходами от умеренных до хороших (схема 13) [49]. Медиатором тандемного карбоксилирования служит 4-трет-бутилбензоат, как описано в литературе [44]. Дигидробензофуран-, индолин-, дигидробензотиофен- и индан-, а также тетрагидропирановые структуры были сконструированы в результате циклизации арильных радикалов и последующего уникального тандемного карбоксилирования с образованием янтарных кислот. Одно из производных янтарной кислоты, 3-карбокси-2,3-дигидробензофуран-3-илуксусную кислоту, успешно применили для синтеза нового спиросоединения, состоящего из 2,3-дигидробензофурана и γ-бутиролактона в каждом положении C3, в 2 стадии с высоким выходом [49].
Схема 13
Изучены возможности электровосстановительной карбофункционализации алкенов алкилбромидами по механизму радикально-полярного перехода, при котором 2 различных электрофила могут быть присоединены к алкену хемо- и региоселективным способом [50]. В частности, эту стратегию использовали в реакциях межмолекулярного карбоформилирования, антимарковниковского гидроалкилирования и карбокарбоксилирования алкенов в результате электровосстановительной генерации алкильных радикалов и карбанионных интермедиатов. В этих реакциях участвовали легкодоступные исходные соединения (алкилгалогениды, алкены и т.д.), не содержащие переходных металлов, в простых условиях. Продемонстрирована применимость этих реакций к широкому спектру субстратов и хорошая толерантность к функциональным группам. Для достижения всех 3 превращений можно использовать единую методику, просто изменив реакционную среду. Эта разработка открывает новые возможности для создания связей Csp3–Csp3. Оказалось, что растворители не всегда являются индифферентными и могут реагировать с нуклефильными карбанионными интермедиатами. Например, ДМФА выступает донором формильной группы в неразделенном электролизере с магниевым анодом и углеродным катодом и способен давать продукты карбоформилирования с выходом 13–90% (схема 14, а)[50]. Ацетонитрил в присутствии Et2NH благоприятствует гидроалкилированию (32 примера, выход 28–91%) [50]. Углекислый газ критически изменяет пути реакций и образующиеся продукты. Так, трехкомпонентная реакция с участием CO2 алкенов, алкилбромидов в ДМФА в этих же условиях (неразделенный электролизер с магниевым анодом и углеродным катодом) протекает с образованием карбоновых кислот с выходом до 73% (схема 14, b, 25 примеров). Исследование механизма реакции позволило предположить ECEC (Е-электрохимическая стадия, С-химическая стадия) пути превращения, на первой стадии которого происходит восстановление алкилгалогенида до радикала, который реагирует с алкеном, присоединяется с образованием нового радикала, затем последний превращается в анион на катоде (плюс еще один электрон), и процесс карбофункционализации завершается реакцией с электрофилом, в роли которого выступает СО2 или ДМФА в отсутствие последнего (схема 14, а).
Схема 14
Эта реакция также применима для функционализации некоторых алкенов нестирольного типа, так, ряд акцепторов Михаэля и арилвинилсульфидов превращаются в соответствующие карбоновые кислоты с умеренными выходами (схема 14, b).
3. КАРБОКСИЛИРОВАНИЕ АРОМАТИЧЕСКИХ (ГЕТЕРОАРОМАТИЧЕСКИХ) И ЦИКЛИЧЕСКИХ СОЕДИНЕНИЙ
Прямое карбоксилирование ароматических (гетероароматических) и циклических субстратов, которые особенно привлекательны как прекурсоры в синтезе красителей или лекарственных препаратов, является очень актуальным и перспективным направлением современной органической химии. Электрокарбоксилирование этих молекул под действием СО2 позволяет получать моно- или дикарбоновые кислоты в одну стадию в мягких условиях, хотя успешные исследования пока немногочисленны.
Первые работы по электрокарбоксилированию полициклических ароматических углеводородов (нафталина, 5-метилнафталина, антрацена, фенантрена и 1Н-индена) диоксидом углерода (4 МПа) описаны в 2010 г. (схема 15) [51]. Электролиз протекал в неразделенной ячейке, содержащей n-Bu4NBr, оснащенной никелевым катодом и алюминиевым растворимым анодом в ДМФА. Соответствующие транс-дикарбоновые кислоты с выходами от хороших до превосходных (62–90%) получены при комнатной температуре при постоянном токе и при небольшом расходе электричества (3F) по сравнению с карбоксилированием алкенов и алкинов. Хотя ни одного выраженного пика на вольтамперограмме на Ni катоде не было получено в ДМФА ни для нафталина, ни для СО2, тем не менее предложены 2 конкурентных маршрута реакции, в которой каждый из реагентов восстанавливается первым (либо нафталин, либо СО2) и образует анион-радикал, запускающий последующие реакции карбоксилирования.
Схема 15
Электрохимические реакции дикарбоксилирования гетероароматических соединений с использованием анион-радикалов CO2 с деароматизаций структуры продуктов протекают при высоких отрицательных потенциалах (схема 16) [33]. Перед экспериментами рассчитали потенциалы восстановления серии гетероароматических соединений, чтобы идентифицировать потенциально реакционноспособные субстраты с более положительными потенциалами восстановления, чем –3 В отн.НКЭ. Обычно используются значения потенциалов восстановления CO2 до анион-радикала, указанныев литературе, а именно E1/2 CO2 = −2.2 В в ДМФА и –2.3 В в CH3CN отн.НКЭ [30–32], хотя никого выраженного пика на вольтамперограмме не удалось зафиксировать (CH3CN, Bu4NClO4, стеклоуглеродный электрод). Установлено, что маршрут реакции зависит от потенциала восстановления субстрата.
Схема 16
Широкий спектр субстратов со стабильной [4n+2] π-системой, в том числе производные индола (N-Boc-индол), (бензо)фурана, (бензо)тиофена и пиразола (производные N-Boc-пиразола), обладающих высоким отрицательным потенциалом восстановления, очень эффективно подвергаются дикарбоксилированию с деароматизацией. Для N-Boc-индола, некоторых фуранов, тиофенов и производных N-Boc-пиразола с более отрицательным напряжением восстановления, чем у CO2 (–2.3 В отн.НКЭ), дикарбоксилирование протекает по реакции между субстратом и анион-радикалами CO2. 1,3-Дифенилизобензофуран, потенциал восстановления которого составляет –1.8 В, может подвергаться карбоксилированию за счет первоначального восстановления субстрата. Полученные дикарбоновые кислоты легко превращаются далее в ключевые интермедиаты биологически активных соединений. Продемонстрировано, что монокарбоксилирование может осуществляться селективно при разумном выборе электролита, растворителя и протонирующей добавки; эта стратегия впоследствии была применена для синтеза производного октагидроиндол-2-карбоновой кислоты [33].
Карбоксилирование C(sp2)–H связей ароматических и гетероароматических производных с целью получения арилкарбоновых кислот так, чтобы обеспечить хемо- и региоселективность реакции монокарбоксилирования, до последнего времени было реализовано только на немногочисленных примерах [52, 53]. N-Гетероарены являются одними из наиболее распространенных структурных фрагментов в биологически активных молекулах, значимых для медицинской химии, фармакологии, биологии, агрохимии и т.д. Прямая C–Н функционализация, в том числе карбоксилирование N-гетероаренов (например, пиразолов, хинолинов, пиримидинов и т.д.), является очень перспективным подходом, но достижение точного контроля над региоселективностью является сложной задачей. До настоящего времени примеры карбоксилирования производных N-гетероаренов остаются редкими, и на этом фоне недавно предложенный метод региоселективного C–H-карбоксилирования пиридинов и родственных им N-гетероаренов в результате электрохимической активации является прорывом [52]. Оказалось, что селективностью реакции можно управлять, изменяя тип электрохимической ячейки (разделенная или неразделенная). Разделенная электрохимическая ячейка (в которой электродные пространства разделены мембраной/диафрагмой, и анодная и катодная реакции независимы) приводит к карбоксилированию в C5 положении, тогда как неразделенная ячейка (все в одном пространстве) способствует C4-карбоксилированию (схема 17). Предполагается, что реакция в неразделенной ячейке протекает по механизму парного электролиза, в котором как катодные, так и анодные процессы играют решающую роль в определении сайт-селективности. В частности, иод, образующийся на аноде, преимущественно взаимодействует с ключевым анион-радикальным промежуточным соединением D на пути C4-карбоксилирования в результате переноса атома водорода, таким образом изменяя селективность реакции по принципу Куртина—Хаммета.
Схема 17
На схеме 17 приведены оптимальные условия синтеза, выбранные на основе варьирования различных соединений и параметров. Роль тех или иных добавок, влияющих на выход, не очень ясна. Для объяснения необходимости каждого компонента реакции в оптимальной системе были проведены различные контрольные эксперименты. В отсутствие Cu(OTf)2, H2O или KOtBu реакция протекала, давая продукт С5 карбоксилирования с умеренным выходом и высокой региоселективностью. Таким образом, эти 3 добавки (Cu(OTf)2, H2O или KOtBu) не играют явной роли в механизме реакции. Исследования методом циклической вольтамперометрии показали, что Cu(OTf)2 преимущественно восстанавливается до частиц металлической меди на катоде раньше, чем восстанавливается субстрат Ph—Py, и Cu(0) может служить гетерогенным материалом для повышения скорости реакции. Роль основания KOtBu, вероятно, заключается в увеличении эффективной концентрации CO2 в реакционной среде за счет образования карбонатов (например, tBuOCO2K (BocOK)). Однако в анаэробных условиях наблюдался существенно более низкий выход. Электроды подбирали эмпирически.
Предположили, что наблюдаемое карбоксилирование начинается с одноэлектронного восстановления Ph-пиридина с образованием анион-радикала A (схема 17, b). Расчеты по теории функционала плотности (DFT) показали, что анион-радикал A имеет наибольшую заселенность электронами в положении C5 среди атомов углерода пиридинового кольца, которые, таким образом, будут участвовать в нуклеофильном присоединении к CO2 с образованием B. Затем второе катодное восстановление дает дианионC, за которым следует окислительная реароматизация под действием O2 с получением желаемого продукта карбоксилирования. Дополнительные расчеты DFT еще раз подтвердили эту гипотезу. По прогнозам, присоединение анион-радикала A к CO2 в положении C5 будет на 8.9 ккал/моль более эндотермическим со свободной энергией активации Гиббса (ΔG‡) 13.7 ккал/моль, что более благоприятно, чем наблюдаемый минорный путь с карбоксилированием в положении C4 (ΔG‡ = 14.5 ккал/моль, ΔG = 12.3 ккал/моль).
Исследование механизма C5-карбоксилирования показало, что региоселективность реакции диктуется внутренними электронными свойствами ключевого интермедиата A, что предотвращает селективную функционализацию в других положениях. Однако расчеты DFT свидетельствуют о том, что региоселективность реакции потенциально может быть изменена в соответствии с принципом Кёртина—Гаммета. Поскольку нуклеофильное присоединение интермедиата A к CO2 является эндотермическим и обратимым, региоселективность карбоксилирования можно кинетически контролировать, если последующая необратимая стадия благоприятствует альтернативному пути. То есть, если в реакцию вводится акцептор атома водорода (например, анодно генерируемый иод), это способствует образованию интермедиата E в результате переноса атома водорода (HAT), и региоселективность реакции может быть смещена в пользу карбоксилирования в положении C4. Высокая селективность С4-карбоксилирования была достигнута за счет более низкого выхода по току (< 5% против 23% в разделенной ячейке) и более длительного времени реакции (48 ч). Метод был применен для карбоксилирования ряда N-гетероаренов, включая бипиридины и терпиридины, пиримидины, пиразины, хинолины и др. Некоторые примеры С–Н замещения в положении как С4, так и С5 приведены на схеме 18.
Схема 18
Получены соответствующие никотиновые кислоты с хорошими и отличными выходами с высокой селективностью по положению C5 (метод А, разделенная ячейка). Условия реакции позволяют использовать широкий спектр прекурсоров с различными функциональными группами, включая тиоэфиры, сложные эфиры, арилфториды, трифторметиловые эфиры, третичные амины, алкены и электрононасыщенные гетероциклы. Кроме того, 2,3-дизамещенные пиридины дают C5-карбоксилированный продукт с высокой селективностью. В условиях неразделенной ячейки (метод Б) 2-арилпиридины с различными заместителями дают соответствующие изоникотиновые кислоты с превосходной региоселективностью (схема 18). Кроме того, некоторые 2,6-дизамещенные пиридины, 2-цианопиридин, метилпиколинат и полипиридилы легко взаимодействуют с образованием желаемого продукта C4-карбоксилирования в качестве основных региоизомеров. Таким образом, эту реакцию можно использовать как общий метод модификации ценных лигандов в металлическом катализе. Дополнительно расширена область применения реакции на другие N-гетероарены с учетом их важности для создания новых эффективных лекарственных средств и новых синтетических материалов. Так, производные 2-фенилпиримидина, хиноксалина и хинолина успешно превращали в соответствующие карбоновые кислоты с высокой региоселективностью (схема 18, с). В большинстве случаев наблюдалось переключение селективности в зависимости от конструкции реакционной ячейки: метод A благоприятствовал карбоксилированию в мета-положении к атому N, а метод B обеспечивал орто- или пара-карбоксилирование [52].
Одновременно в литературе [52, 53] описано селективное C–H электрокарбоксилирование неактивированных (гетеро)аренов, включая электронодефицитные нафталины, пиридины, простые фенильные производные и замещенные хинолины (схема 19). Методика основана на парном электролизе (paired electrolysis), не использует металлы и основания, охватывает широкий диапазон субстратов и также отличается хорошей толерантностью к функциональным группам при атом-экономии. Парный электролиз – это электрохимический синтез, при котором оба электрода в электрохимической ячейке используются в качестве рабочих, и ценные соединения (одно или разные) образуются одновременно в процессе как окисления, так и восстановления. В идеальном случае может быть достигнут 200% выход по току во время парного электросинтеза с использованием катодного и анодного процессов для получения одного и того же продукта. Парный электросинтез является высокоэффективным атом-экономным, экологически чистым и энергетически выигрышным методом синтеза.
Схема 19
В качестве электродов использовали доступный и дешевый графитовый фетр, Et4NI в качестве электролита в неразделенной ячейке (то есть без разделения анодного и катодного пространств, без диафрагмы), синтез проводили в гальваностатическом режиме. В данных условиях реакция происходит в положении с более высокой плотностью электронов в кольце, как правило это C4, что было рассчитано с использованием теории функционала плотности (DFT) и в принципе совпадает с расчетами и данными литературы [52]. Ценные арилкарбоновые кислоты были получены из коммерчески доступных исходных материалов, причем методика масштабируется. Исследования механизма реакции показали, что поскольку потенциалы восстановления аренов сильно зависят от их природы и функциональных заместителей, реакция может инициироваться как восстановлением ароматической молекулы, так и в некоторых случаях (для трудно восстанавливающихся субстратов) восстановлением СО2 [53]. Возможный механизм предполагает ключевую роль анодно-генерируемого иода, аналогично описанному в литературе [52]. Метод продемонстрировал высокие хемо- и региоселективности и применим к сложным аренам, включая электронодефицитные нафталины, простые фенильные производные, пиридины и замещенные хинолины.
Карбоновые кислоты флаваноидов играют большую роль в медицинской химии и клинической практике, в том числе в терапии сердечно-сосудистых заболеваний, используются в качестве гепатопротекторов, противоопухолевых препаратов, поэтому поиск новых методов их синтеза является актуальным. Оказалось, что карбоксилирование флавонов в присутствии диоксида углерода с использованием неразделенного электролизера, оснащенного платиновым катодом и магниевым анодом, при 0 ◦С протекает селективно с присоединением СО2 в положении С2 (схема 20) [54].
Схема 20
Флавоны обратимо восстанавливаются при потенциале первого пика примерно —2.1 В, а второй пик наблюдается при —2.8 В отн.Ag/Ag+(электрод сравнения), то есть оба переноса электрона, по мнению авторов, происходят легче, чем восстановление СО2 (его пиков восстановления на ЦВА не зафиксировано). Предложенный механизм реакции основан на первоначальном последовательном присоединении 2 электронов флавоном с образованием дианиона, который присоединяет СО2 в положении 2, причем ионы Mg2+ стабилизируют именно этот монокарбоксилированный интермедиат, который после обработки кислотой дает желаемый продукт [54].
Алифатические трех- и четырехчленные циклические структуры в присутствии СО2 способны к контролируемому раскрытию и образованию дифункциональных продуктов. Так, структурно разнообразные производные глутаровой и адипиновой кислот были синтезированы из замещенных циклопропанов и циклобутанов с умеренными и высокими выходами (схема 21) [55]. Показано, что ключевыми интермедиатами в этой реакции могут быть анионы-радикалы и карбанионы. Этот процесс отличается высокой атом-экономией, мягкими условиями (1 атм., комнатная температура), хорошей хемоселективностью и толерантностью к функциональным группам, низкой концентрацией электролита и легкой дериватизацией продуктов. Так, проведена полимеризация соответствующих диэфиров с диолами для получения УФ-экранирующего материала с функцией самовосстановления и фторсодержащего полиэфира с хорошими эксплуатационными характеристиками.
Схема 21
На выход сильно влияют плотность тока и материалы катода. Катод из Nb и постоянный ток 15 мА обеспечивают выход дикарбоксилированных продуктов до 89%. Были синтезированы производные некоторых циклопропанов, полученных из природных соединений, таких как эстрон, L-ментол, прегненолон, гераниол, спирт листьев (цис-3-гексенол) и цитронеллол (схема 21, b).
На ниобиевом катоде восстановление СО2 и циклопропановых производных может происходить одновременно. Присутствие формата и оксалата подтверждает образование СО2 анион-радикала. Но и восстановление циклопропанового кольца в отсутствие CO2 приводит к раскрытию цикла с образованием возможного анион-радикального интермедиата, способного улавливать СО2. Таким образом, электрохимическое восстановительное дикарбоксилирование одинарных связей C—C в напряженных кольцах с помощью CO2 протекает с раскрытием кольца [55].
4. ДЕГАЛОГЕНИРУЮЩЕЕ КАРБОКСИЛИРОВАНИЕ
Ароматические кислоты широко используются в производстве пластификаторов, протравителей и консервантов, в медицинской химии и других областях. Среди способов получения бензойных кислот все большее внимание привлекает прямое электрокарбоксилирование арил(псевдо)галогенидов СО2. Галогениды или псевдогелогениды R—X в восстановительных условиях, как с участием металлокатализаторов, так и без них, как правило, дегалогенируются, образуют радикалы и карбанионы при последовательном присоединении электронов и аниона X—. Карбанион R-, в свою очередь, может захватывать электрофил CO2 с образованием желаемых карбоновых кислот. Формально реакция представляет собой замещение галогена на СО2-группу. Хлориды, бромиды и даже фториды являются эффективными прекурсорами.
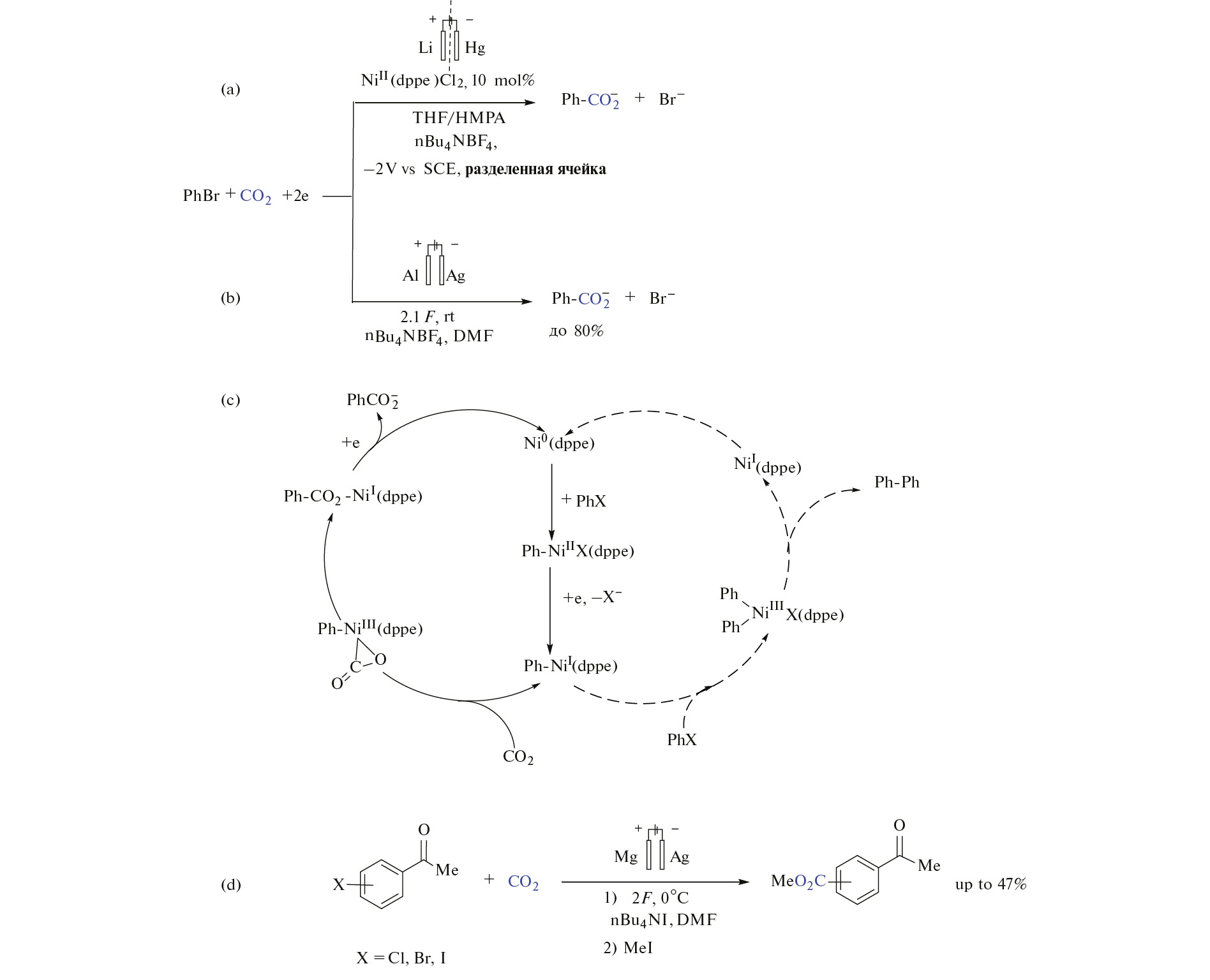
Первые работы в этой области органической электрохимии появились еще в 90-е годы XX века [56]. В присутствии углекислого газа и каталитических количеств Ni(dppe)Cl2 электролиз бромбензола приводит к почти количественному выходу бензойной кислоты с незначительным образованием бензола или бифенила (схема 22, а).
Схема 22
Использовали ячейку с разделением анодного и катодного пространства, ртутный катод и анод из литиевой проволоки, довольно экзотичные с современной точки зрения. Детальные кинетические вольтамперометрические исследования показали, что механизм никель-катализируемого электрокарбоксилирования включает цепную реакцию с участием интермедиатов Ni(0), Ni(I), Ni(II) и Ni(III), очень напоминающую по механизму установленное ранее катализируемое никелем сочетание бромбензола с CO2 (схема 22, с) [56]. Однако одной из ключевых стадий является взаимодействие сигма-никельорганического комплекса Ph—Ni(I)(dppe) с CO2.Окислительное присоединение дает Ph—Ni(III)(CO2)(dppe) интермедиат, который затем элиминирует PhCO2— . Тот факт, что присоединение CO2 к Ph—Ni(I)(dppe) происходит в 100–200 раз быстрее, чем PhBr к этому же интермедиату, объясняет, почему бифенильная цепь полностью распадается, когда диоксид углерода присутствует даже в стехиометрических количествах в реакционной среде. Ключевой скорость-определяющей стадией является стадия внедрения–перегруппировки Ph–Ni(III)(CO2) в PhNi(I)–OC(O)(dppe) интермедиат, который затем элиминирует PhCO2— (схема 22, с).
Позднее было обнаружено, что подбор материала электродов позволяет добиться эффективности карбоксилирования R—X без добавок гомогенных катализаторов. Так, реализовано электрокарбоксилирование с выходом 80% в следующих оптимальных условиях: серебряный катод, алюминиевый анод, ДМФА растворитель, гальваностатический режим, неразделенный электролизер (схема 22, b)[57]. В данном случае серебряный катод выступает в роли электрокатализатора, на поверхности которого радикалы Ph. восстанавливаются намного легче, чем PhBr, таким образом мгновенно превращаясь в Ph—ads. Но и PhBr на серебре восстанавливается примерно на 0.5 В легче, чем на стеклоуглероде. Электростатическое отталкивание от катода этого нуклеофила Ph-ads переводит его в раствор, в котором СО2 является самым сильным электрофилом, по сравнению с примесями воды, протонов и растворителем. Также не исключена реакция Ph—ads с серебром с возможным образованием анионного аддукта фенил—серебро, который может реагировать с электрофилами, такими как CO2 или H2O. Другие растворители давали бензол в качестве преобладающего продукта.
Cеребро в качестве катода и электрокатализатора позволяет осуществить электрокарбоксилирование галогенацетофенонов (схема 22, d) [58]. Селективность и выходы электрокарбоксилирования в первую очередь зависят от природы электрода—катода и уменьшаются в следующем порядке Ag > Cu > Ni > нержавеющая сталь (Ss) > Ti, причем потенциалы восстановления субстратов на этих катодах увеличиваются в том же порядке. Выходы продуктов – средние, зависят от природы галогенов и их положения в кольце. Поскольку протекает частичное восстановление С=O группы в CO2Me, наиболее высокие выходы наблюдаются у иодпроизводных с наименьшими потенциалами Ered, самые низкие – у хлорацетофенонов.
Растворимый анод из самария эффективен для электрокарбоксилирования арилгалогенидов с участием CO2 с получением соответствующих ароматических кислот (схема 23, a) [59]. Предположено, что электрогенерированный при анодном растворении самария Sm(II)X2 первоначально восстанавливает CO2 в результате одноэлектронного переноса (SET) с образованием активного анион-радикала SmIII–[CO2]•−. Последний достаточно реакционноспособен, чтобы атаковать арилгалогенид по механизму радикального замещения, образуя после обработки соответствующую карбоновую кислоту. В отсутствие арилбромида получается оксалат самария. Радикальный характер механизма реакции подтверждали ингибированием в присутствии ТЕМPO.
Схема 23
Электролиз полифтораренов в ДМФА в присутствии углекислого газа при –40°С при постоянном токе с использованием Pt катода и Mg анода приводит к восстановительному дефторированию и монокарбоксилированию с высокой селективностью (схема 23, b) [60] с получением соответствующих полифторбензойных кислот с выходами от умеренных до хороших. Механизм включает постадийное восстановление перфтораренов до анион-радикала, элиминирующего фторид-ион, и далее до ариланиона, присоединяющего СО2.
Недавно разработано электрохимическое дефторирующее карбоксилирование (e-DFC) трифторметил(гетеро)аренов, а также трифторметилацетатов и -ацетамидов для получения весьма ценных аналогов α,α-дифторкарбоновой кислоты [61]. Трифторметильные группы превращаются в α,α-д ифторкарбоновые кислоты (схема 24). Эта методика полезна для получения новых фторированных аналогов при разработке лекарственных средств и в агрохимии, поскольку применима к поздним стадиям функционализации сложных молекул, в том числе биологически активных, и обеспечивает быстрый доступ к новым гем-дифторметиленовым аналогам в медицинской химии. Реакция не чувствительна к влаге и воздуху, позволяет осуществлять изотопный обмен для синтеза 18F радиоактивных меток.
Схема 24
С учетом необходимости в эффективных инструментах модифицирования структуры молекул на поздних стадиях синтеза была изучена возможность использования этой реакции для диверсификации молекул лекарственных препаратов. Дутастерид (аводарт®), который используется для лечения гиперплазии предстательной железы, подвергается региоселективному (5 : 1) дефторирующему карбоксилированию с выходом 37% (только основной региоизомер) (схема 24). Примечательно, что N-метилзащищенный трифторметилацетамидный блок в составе нирмарелвира (Paxlovid®) участвует в селективном e-DFC, давая единственный продукт с выходом 41%. Очень дорогой фторсодержащий структурный блок – дифтор-2-фенилэтан-1-ол (1180 $/г) – получен из трифторбензола (2 $/г) по реакции e-DFC с выходом 62% [61].
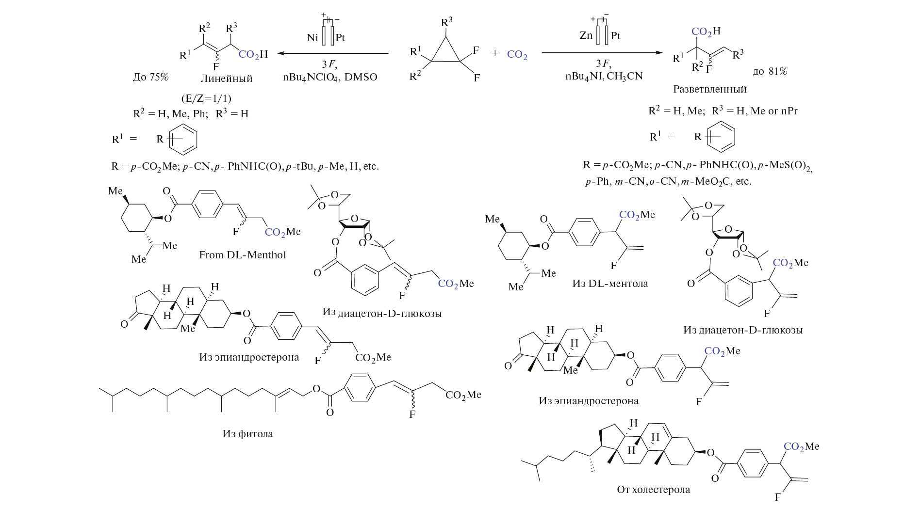
Региоселективный синтез монофторированных алкенов из фторалкенилирующих строительных блоков, таких как гем-дифторциклопропаны, представляет собой сложную задачу. Недавно описано региодивергентное дефторирующее карбоксилирование гем-дифторциклопропанов в электрохимических условиях (e-DFC) (схема 25) [62]. Ряд разветвленных и линейных β,γ-ненасыщенных монофторалкенкарбоновых кислот получен с выходами от умеренных до высоких и с исключительной региоселективностью. Методика проста и соответствует принципам “зеленой химии”. В качестве источника C1 брали атмосферный CO2 и не использовали переходные металлы. Реакция масштабируется и применима на поздней стадии функционализации сложных соединений. Интересно, что никелевый анод благоприятствует синтезу линейных продуктов, а цинковый – разветвленных. Во всех случаях использовали электролизер без разделения анодного и катодного пространства, поэтому роль ионов (Ni или Zn), генерируемых в ходе электролиза, существенна, хотя и не очень понятна. Предложенный механизм рассматривает все возможные маршруты – как начинающиеся с восстановления СО2, так и с восстановления гем-дифторциклопропана, однако никакие стадии исключить или доказать не удалось [62].
Схема 25
5. ЗАКЛЮЧЕНИЕ
Возросший интерес к связыванию CO2 и использованию его в качестве доступного сырья для получения разнообразных практически важных молекул приводит к расширению спектра возможных субстратов для карбоксилирования С–Н или C–X связей. Реакции винилгалогенидов, кетонов, альдегидов и иминов в литературе описаны ранее [8, 25, 27, 63–65], поэтому не включены в настоящий обзор. Электрохимические трансформации с участием CO2 развиваются по 2 направлениям. Первое – собственно электрокаталитическое восстановление (CO2RR) – служит для получения простых недорогих молекул, которые представляют интерес с точки зрения крупнотоннажной химии (СО, муравьиная, щавелевая кислоты, спирты, метан, этилен, мочевина и т.д.) [5–23, 64, 66]. Второе направление – совместное и/или синхронное восстановление – сочетание CO2 с органическими субстратами, которое интересно с точки зрения электрокарбоксилирования и получения высоко ценных продуктов. Для успешной реализации электрокарбоксилирования нужно подавить или уменьшить процессы превращения CO2 в С1 и С2 продукты в результате гидрирования и/или гомосочетания интермедиатов, этого удалось достичь в исследованиях, описанных в обзоре. Абсолютное большинство методик основано на использовании простой неразделенной ячейки, снабженной растворимым (реже – нерастворимым) анодом. Генерируемые в ходе электролиза ионы Mg2+, Al3+, Zn2+ в растворе выступают в качестве кислот Льюиса и способствуют сочетанию СО2 и органического субстрата. Как правило, неразделенная ячейка требует намного большего количества пропущенного электричества, и поэтому выходы по току уменьшаются. Очевидно, что природа катода, на котором восстанавливаются реагенты, играет ключевую роль, часто определяя потенциалы восстановления каждого из них и интермедиатов, механизм реакции, выходы продуктов. Кроме традиционных катодов из платины, графита, для электрокарбоксилирования применяют нержавеющую сталь, олово, серебро, ниобий и другие материалы, которые в каждом случае подбираются экспериментально. Играет роль электрокатализатор, хотя объяснений того или иного выбора с теоретической точки зрения обычно нет, поэтому существует большой простор для дальнейших исследований. Поскольку электрохимические процессы обычно легко масштабируются, в том числе электрокарбоксилирование, можно надеяться на то, что разработки будут реализованы в более крупных масштабах, промышленных или полупромышленных, а также для малотоннажной химии. Преимуществами электрохимических синтезов являются мягкие условия, малоотходность, селективность, а также применимость к функционализации сложных молекул на поздних стадиях синтеза, в том числе биологически активных соединений, перспективных для медицинской химии. Наиболее удачные примеры электрокарбоксилирования осуществлены с учетом принципов “зеленой химии” [67, 68], демонстрируют вклад современных методов синтеза в решение проблемы декарбонизации, а также открывают новые необычные и неожиданные пути превращения участников процесса и способы управления селективностью.
КОНФЛИКТ ИНТЕРЕСОВ
Автор заявляет об отсутствии конфликта интересов.
Об авторах
Юлия Германовна Будникова
ФИЦ Казанский научный центр
Автор, ответственный за переписку.
Email: olefindirector@gmail.com
ORCID iD: 0000-0001-9497-4006
Институт органической и физической химии им. А.Е. Арбузова
Россия, КазаньСписок литературы
- IPCC, 2023: Climate Change 2023: Synthesis Report. Contribution of Working Groups I, II and III to the Sixth Assessment Report of the Intergovernmental Panel on Climate Change [Core Writing Team], Eds. H. Lee and J. Romero, IPCC, Geneva, Switzerland, 2023, pp. 35—115. doi: 10.59327/IPCC/AR6-9789291691647
- Chu S., Cui Y., Liu N. Nat. Mater. 2017, 16, 16–22. doi: 10.1038/nmat4834
- Szulejko J.E., Kumar P., Deep A., Kim K.H. Atmos Pollut. Res. 2017, 8, 136–140. doi: 10.1016/j.apr.2016.08.002
- Cuéllar-Franca R.M., Azapagic A. J. CO2 Util. 2015, 9, 82–102. doi: 10.1016/j.jcou.2014.12.001
- Wang L., Chen W., Zhang D., Du Y., Amal R., Qiao S., Wu J., Yin Z. Chem. Soc. Rev. 2019, 48, 5310–5349. doi: 10.1039/C9CS00163H
- Wang K., Ma Y., Liu Y., Qiu W., Wang Q., Yang X., Liu M., Qiu X., Li W., Li J. Green Chem. 2021, 23, 3207–3240. doi: 10.1039/d0gc04417b
- Wang Y., Winter L.R., Chen J.G., Yan B. Green Chem. 2021, 23, 249–267. doi: 10.1039/d0gc03506h
- Nitopi S., Bertheussen E., Scott S.B., Liu X., Engstfeld A.K., Horch S., Seger B., Stephens I.E.L., Chan K., Hahn C., Nørskov J.K., Jaramillo T.F., Chorkendorff Ib. Chem Rev. 2019, 119, 7610–7672. doi: 10.1021/acs.chemrev.8b00705
- Mena S., Peral J., Guirado G. Curr. Opin. Electrochem. 2023, 42, 101392. doi: 10.1016/j.coelec.2023.101392
- Zeng J., Castellino M., Fontana M., Sacco A., Monti N.B.D., Chiodoni A., Pirri C.F. Front. Chem. 2022, 10, 931767. doi: 10.3389/fchem.2022.931767
- Long C., Li X., Guo J., Shi Y., Liu S., Tang Z. Small Methods 2019, 3, 1800369. doi: 10.1002/smtd.201800369
- Daiyan R., Saputera W.H., Massod H., Leverett J., Lu X., Amal R. Adv. Energy Mater. 2020, 10, 1902106. doi: 10.1002/aenm.201902106
- Ali T., Wang H., Iqbal W., Bashir T., Shah R., Hu Y. Adv. Sci. 2023, 10, 2205077. doi: 10.1002/advs.202205077
- Lin Z., Han C., O'Connell G.E.P., Lu X. Angew. Chem.Int. Ed. 2023, 62, e2023014. doi: 10.1002/anie.202301435
- Максимов А. Л., Белецкая И. П.Успехи хим., 2024, 93 (1) RCR5101 [Maximov A.L., Beletskaya I.P. Russ. Chem. Rev., 2024, 93 (1) RCR5101].
- Yusuf B. A., Yaseen W., Meng S., Xie J., Fapohunda F.O., Nankya R., Muhammad A.I., Xie M., Xu Y. Coord. Chem. Rev. 2023, 492, 215273. doi: 10.1016/j.ccr.2023.215273
- Xu L., Trogadas P., Coppens M.-O., Adv. Energy Mater. 2023, 13, 2302974. doi: 10.1002/aenm.202302974
- Kholin K.V., Khrizanforov M.N., Babaev V.M., Nizameeva G.R., Minzanova S.T., Kadirov M.K., Budnikova Y.H. Molecules 2021, 26, 5524. doi: 10.3390/molecules26185524
- Ouyang T., Huang S., Wang X.T., Liu Z.Q. Chem. Eur. J. 2020, 26, 14024–14035. doi: 10.1002/chem.202000692
- Chen X., Chen J., Alghoraibi N.M., Henckel D.A., Zhang R., Nwabara U.O., Madsen K.E., Kenis P.J.A., Zimmerman S.C., Gewirth A.A. Nat Catal. 2020, 4, 20–27. doi: 10.1038/s41929-020-00547-0
- Jiao S., Fu X., Zhang L., Zhang L., Ruan S., Zeng Y.-J., Huang H. Nano Today. 2021, 36, 101028. doi: 10.1016/j.nantod.2020.101028
- Gao D., Ar´an-Ais R.M., Jeon H.S., Roldan Cuenya B. Nat. Catal. 2019, 2, 198–210. doi: 10.1038/s41929-019-0235-5
- Zhang Y., Guo S.-X., Zhang X., Bond A.M., Zhang J. Nano Today. 2020, 31, 100835. doi: 10.1016/j.nantod.2019.100835
- Liu Q., Wu L., Jackstell R., Beller M. Nat. Commun. 2015, 6, 5933–5947. doi: 10.1038/ncomms6933
- Artz J., Müller T. E., Thenert K., Kleinekorte J., Meys R., Sternberg A., Bardow A., Leitner W. Chem. Rev. 2018, 118, 434–504. doi: 10.1021/acs.chemrev.7b00435
- Pimparkar S., Dalvi A.K., Koodan A., Maiti S., Al-Thabaiti S.A., Mokhtar M., Dutta A., Lee Y.R., Maiti D. Green Chem., 2021, 23, 9283–9317. doi: 10.1039/d1gc02737a
- Wang S., Feng T., Wang Y., Qiu Y. Chem. Asian. J. 2022, 17, 434. doi: 10.1002/asia.202200543
- Younus H.A., Ahmad N., Ni W., Wang X., Al-Abri M., Zhang Y., Verpoort F., Zhang S. Coord. Chem. Rev. 2023, 493, 215318. doi: 10.1016/j.ccr.2023.215318
- Wu J., Huang Y., Ye W., Li Y. Adv. Sci. 2017, 1700194. doi: 10.1002/advs.201700194
- Bard A.J., Standard Potentials in Aqueous Solution, N.-Y., CRC Press, 1985. doi: 10.1201/9780203738764
- Lamy E., Nadjo L., Saveant J. M. J. Electroanal. Chem. 1977, 78, 403– 407. doi: 10.1016/S0022-0728(77)80143-5
- Koppenol W.H., Rush J.D. J. Phys. Chem. 1987, 91, 4429– 4430. doi: 10.1021/j100300a045
- You Y., Kanna W., Takano H., Hayashi H., Maeda S., Mita T. J. Am. Chem. Soc. 2022, 144, 8, 3685–3695. doi: 10.1021/jacs.1c13032
- Dérien S., Clinet J.-C., Duñach E., Périchon J. J. Org. Chem., 1993, 58, 2578–2588. doi: 10.1002/chin.199331054
- Senboku H., Komatsu H., Fujimura Y., Tokuda M. Synlett 2001, 3, 418–420. doi: 10.1055/s-2001-11417
- Wang H., Lin M.-Y., Chen T.-T., Fang H.-J., Lu J.-X. Chin. J. Chem. 2007, 25, 913–916. doi: 10.1002/cjoc.200790177
- Kim Y., Park G.D., Balamurugan M., Seo J., Min B.K., Nam K.T., Adv. Sci. 2020, 7, 1900137. doi: 10.1002/advs.201900137
- Alkayal A., Tabas V., Montanaro S., Wright I.A., Malkov A.V., Buckley B.R. J. Am. Chem. Soc. 2020, 142, 1780–1785. doi: 10.1021/jacs.9b13305
- Gao X.-T., Zhang Z., Wang X., Tian J.-S., Xie S.-L., Zhou F., Zhou J. Chem. Sci. 2020, 11, 10414–10420. doi: 10.1039/d0sc04091f
- Dérien S., Clinet J.C., Duñach E., Perichon J. Tetrahedron, 1992, 48, 5235–5248. doi: 10.1016/S0040-4020(01)89021-9
- Steinmann S.N., Michel C., Schwiedernoch R., Wu M., Sautet P. J. Catalysis, 2016, 343, 240–247. doi: 10.1016/j.jcat.2016.01.008
- Sheta A. M., Mashaly M.A., Said S.B., Elmorsy S.S., Malkov A.V., Buckley B.R. Chem. Sci. 2020, 11, 9109–9114. doi: 10.1039/d0sc03148h
- Sheta A.M., Alkayal A., Mashaly M.A., Said S.B., Elmorsy S.S., Malkov A.V., Buckley B.R. Angew. Chem. Int. Ed. 2021, 60, 21832–21837. doi: 10.1002/anie.202105490
- Katayama A., Senboku H., ChemElectroChem 2016, 3, 2052–2057. doi: 10.1002/celc.201600508
- Yan Y., Li H., Xie F., Lu W., Zhang Z., Jing L., Hana P. Adv. Synth. Catal. 2023, 365, 3830–3836. doi: 10.1002/adsc.202300789
- Derien S., Dunach E., Perichon J. J. Am. Chem. Soc. 1991, 113 (22), 8447–8454. doi: 10.1021/ja00022a037
- Li C.-H., Yuan G.-Q., Jiang H.-F. Chin. J. Chem. 2010, 28, 1685–1689. doi: 10.1002/cjoc.201090285
- Li C.-H., Yuan G.-Q., Qi C.-R., Jiang H.-F. Tetrahedron 2013, 69, 3135–3140. doi: 10.1016/j.tet.2013.02.089
- Katayama A., Senboku H., Hara S. Tetrahedron 2016, 72, 4626–4636. doi: 10.1016/j.tet.2016.06.032.
- Zhang W., Lin S. J. Am. Chem. Soc. 2020, 142, 20661–20670. doi: 10.1021/jacs.0c08532
- Yuan G.-Q., Li L.-G., Jiang H.-F., Qi C.-R., Xie F.-C. Chin. J. Chem. 2010, 28, 1983–1988. doi: 10.1002/cjoc.201090331
- Sun G.-Q., Yu P., Zhang W., Zhang W., Wang Y., Liao L.-L., Zhang Z., Li, L., Lu, Z., Yu D.-G., Lin S. Nature 2023, 615, 67–72. doi: 10.1038/s41586-022-05667-0
- Zhao Z., Liu Y., Wang S., Tang S., Ma D., Zhu Z., Guo C., Qiu Y. Angew. Chem. Int. Ed. 2023, 62, e202214710. doi: 10.1002/anie.202214710
- Senboku H., Yamauchi Y., Kobayashi N., Fukui A., Hara S. Electrochim. Acta 2012, 82, 450–456. doi: 10.1016/j.electacta.2012.03.131
- Liao L.-L., Wang Z.-H., Cao K.-G., Sun G.-Q., Zhang W., Ran C.-K., Li Y., Chen L., Cao G.-M., Yu D.-G. J. Am. Chem. Soc. 2022, 144, 2062–2068. doi: 10.1021/jacs.1c12071
- Amatore C., Jutand A., J. Am. Chem. Soc. 1991, 113, 2819–2825. doi: 10.1021/ja00008a003
- Isse A.A., Durante C., Gennaro A. Electrochem. Commun. 2011, 13, 810–813. doi: 10.1016/j.elecom.2011.05.009
- Wang H., Xu X.-M., Lan Y.-C., Wang H.-M., Lu J.-X. Tetrahedron 2014, 70, 1140–1143. doi: 10.1016/j.tet.2013.12.083
- Bazzi S., Le Duc G., Schulz E., Gosmini C., Mellah M. Org. Biomol. Chem. 2019, 17, 8546–8550. doi: 10.1039/C9OB01752F
- Senboku H., Yoneda K., Hara S. Electrochemistry 2013, 81, 380–382. doi: 10.5796/electrochemistry.81.380
- Mondal S., Sarkar S., Wang J.W., Meanwell M.W. Green Chem., 2023, 25, 9075-9079. doi: 10.1039/d3gc03387b
- Zhao B., Pan Z., Pan J., Deng H., Bu X., Ma M., Xue F. Green Chem., 2023, 25, 3095–3102. doi: 10.1039/d2gc04636a
- Senboku H. Chem. Rec. 2021, 21, 2354– 2374. doi: 10.1002/tcr.202100081
- Wu J., Huang Y., Ye W., Li Y. Adv. Sci. 2017, 4, 1700194. doi: 10.1002/advs.201700194
- Chen B.-L., Liu Q.-Z., Wang H., Lu J.-X. Curr. Org. Chem. 2023, 27, 734–740. doi: 10.2174/1385272827666230714145953
- Khrizanforova V.V., Fayzullin R R., Kartashov S.V., Morozov V.I., Khrizanforov M.N., Gerasimova T.P., Budnikova Y.H., Chem. Eur. J. 2024, e202400168. doi: 10.1002/chem.202400168
- Zlotin S.G., Egorova K.S., Ananikov V.P., Akulov A.A., Varaksin M.V., Chupakhin O.N., Charushin V.N., Bryliakov K.P., Averin A.D., Beletskaya I.P., Dolengovski E.L., Budnikova Yu.H., Sinyashin O.G., Gafurov Z.N., Kantyukov A.O., Yakhvarov D.G., Aksenov A.V., Elinson M.N., Nenajdenko V.G., Chibiryaev A.M., Nesterov N.S., Kozlova E.A., Martyanov O.N., Balova I.A., Sorokoumov V.N., Guk D.A., Beloglazkina E.K., Lemenovskii D.A., Chukicheva I.Yu., Frolova L.L., Izmest'ev E.S., Dvornikova I.A., Popov A.V., Kutchin A.V., Borisova D.M., Kalinina A.A., Muzafarov A.M., Kuchurov I.V., Maximov A.L., Zolotukhina A.V. Russ. Chem. Rev. 2023, 92, RCR5104. doi: 10.59761/RCR5104
- Budnikova Y.H., Dolengovski E.L., Tarasov M.V., Gryaznova T.V. J. Solid State Electrochem. 2024, 28, 659–676. doi: 10.1007/s10008-023-05507-9
Дополнительные файлы




























