Synthesis of Ethyl Ester of 11-Deoxy-13,14-didehydro-17-methyl-20-norprostaglandin B1_Analog of Misoprostol
- Autores: Ivanova N.A.1, Shavaleeva G.A.1, Spirikhin L.V.1, Miftakhov M.S.1
-
Afiliações:
- Ufa Institute of Chemistry, Ufa Federal Research Centre of the Russian Academy of Sciences (UIC UFRC RAS)
- Edição: Volume 60, Nº 9 (2024)
- Páginas: 967-972
- Seção: Articles
- URL: https://journal-vniispk.ru/0514-7492/article/view/284752
- DOI: https://doi.org/10.31857/S0514749224090034
- EDN: https://elibrary.ru/QNXXPI
- ID: 284752
Citar
Texto integral
Resumo
By 1,2-addition to the keto group ethyl-(5-oxocyclopent-1-enyl)heptenoate lithium acetylenide from 4-hydroxy-4,5-dimethylheptin-1, followed by oxidative isomerization of the resulting adduct with PCC was obtained ethyl ester 11-deoxy-13,14-didehydro-17-methyl-20-nor-prostaglandin B1.
Palavras-chave
Texto integral
ВВЕДЕНИЕ
w-Метилсодержащие аналоги простагландинов (PG), в частности, 16-метил- и 16-гем-диметилпроизводные простагландина E1 (PGE1), успешно противостоят разрушающему действию энзима 15-простагландиндегидрогеназы и применяются как антисекреторные средства [1–3]. Среди них особо следует отметить (±)-мизопростол (1) [4], первый клинически используемый аналог PG, на основе которого созданы препараты, эффективные в терапии и профилактике язвенной болезни желудка и 12-перстной кишки, вызванной применением нестероидных противовоспалительных средств. “Второе рождение” мизопростол получил после обнаружения у него утеротонических и абортивных свойств и последующего внедрения в акушерско-гинекологическую практику для проведения терапевтического аборта на ранних сроках беременности и стимуляции зрелых родов [4].
Однако мизопростол не лишен недостатков. Одним из “узких мест” при клиническом использовании мизопростола является химическая нестабильность и широта спектра физиологической активности [5]. В ходе поиска химически более стабильных и селективно действующих аналогов мизопростола ранее нами был синтезирован его 11-дезоксианалог 2, который проявил сопоставимую с мизопростолом специфическую утеротоническую активность при большей химической стабильности и меньшей токсичности [6]. Попытки повысить химическую стабильность молекулы мизопростола, уменьшить число побочных эффектов и поиск альтернативных возможностей его использования привели к синтезу ряда аналогов. Для выяснения закономерностей соотношения “структура–активность” изучено влияние строения боковых цепей: длины, отсутствия/наличия ненасыщенности (двойная или тройная связь), ее положения и геометрии (E/Z), положения и стереохимии заместителей в циклопентановом фрагменте молекулы, наличия/отсутствия заместителей и др.
Подтверждено значение 13,14-транс-двойной связи для проявления мизопростолом бронхолитической активности; его 13,14-цис-аналог оказался неактивным [7–9]. Также показано, что, хотя единственным биологически активным изомером мизопростола из 4 образующихся в ходе синтеза является изомер с природной (11R,16S)-конфигурацией хиральных центров, тем не менее в качестве лекарственного препарата применяется смесь 4 изомеров. Это объясняется, с одной стороны, отсутствием значительных побочных эффектов других изомеров и практическими трудностями получения единственного изомера, а с другой — итоговой возможностью эпимеризации в кислой среде желудка [10, 11].
На основе доступного ключевого циклопентенонового блока 3 мы разработали синтез новых аналогов мизопростола Б-типа (PGB1) с тройной связью в положении 13,14 [12]. Последние привлекают внимание потенциальными возможностями проявления противораковых свойств, которые по аналогии можно усилить комплексообразованием с Со2(СО)8 [13].
РЕЗУЛЬТАТЫ И ОБСУЖДЕНИЕ
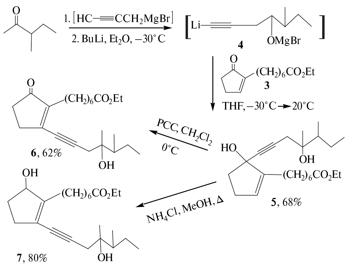
В данной работе с использованием предложенного нами ранее двухстадийного варианта селективного введения w-цепи, включающего стадии 1,2-присоединения к кетогруппе циклопентенона 3 литийпроизводного ацетиленового эквивалента w-цепи 4 и окислительной изомеризации при действии пиридиния хлорхромата (PCC) на третичный спирт 5, синтезировали новый аналог мизопростола — этиловый эфир 11-дезокси-13,14-дидегидро-17-метил-20-нор PGB1 (6) (схема).
Схема
Модифицировав методику, а именно последовательным взаимодействием метилизобутилкетона с бромидом пропаргилмагния и далее с н-BuLi нам удалось in situ получить литийпроизводное 4, взаимодействие которого с циклопентеноном 3 дало желаемый аддукт 1,2-присоединения 5 в режиме one pot, минуя несколько стадий: выделения, защиты гидроксильной группы и очистки промежуточных продуктов. Последующая окислительная изомеризация соединения 5 с использованием PCC привела к целевому аналогу 6. Кипячением аддукта 1,2-присоединения 5 и NH4Cl в метаноле получен 20-нор-аналог 7.
ЭКСПЕРИМЕНТАЛЬНАЯ ЧАСТЬ
ИК спектры сняты на спектрофотометре “Shimadzu IR Prestige-21” (Япония) в пленке или вазелиновом масле. Спектры ЯМР записаны на спектрометре “Bruker AVANCE-500” (Германия) [рабочие частоты 500.13 МГц (1H) и 125.77 МГц (13С)] в ацетоне-d6. В спектре ЯМР 13С за внутренний стандарт принято значение сигнала ацетона-d6 (ddС 28.83 м.д.), в спектре ЯМР 1H — значение сигналов остаточных протонов в ацетоне-d6 (ddН 2.07 м.д.). Элементный анализ выполнен на CHNS-анализаторе “Euro-EA 3000” (Италия). Масс-спектры ионизации электрораспылением (ИЭР, ESI [electrospray ionization]) получены на ВЭЖХ масс-спектрометре “LCMS-2010EV” (Shimadzu) (Япония) (шприцевой ввод, раствор образца в хлороформе/ацетонитриле при расходе 0.1 мл/мин, элюент — ацетонитрил–вода, 95:5) в режиме регистрации положительных и отрицательных ионов при потенциале игольчатого ионизирующего электрода 4.5 кВ. Ход реакций контролировали методом ТСХ на пластинках “Sorbfil ПТСХ-АФ-А” (Россия) с обнаружением веществ с помощью 10%-ного раствора анисового альдегида в этаноле с добавкой серной кислоты с последующим нагреванием до 100–120°С. Продукты реакции выделяли методом колоночной хроматографии на силикагеле фирмы Macherey-Nagel (Германия) 60 (0.063–0.2 мм, 70–230 меш).
Этил-7-[5-гидрокси-5-(4-гидрокси-4,5-диметилгепт-1-ин-1-ил)циклопентен-1-ен-1-ил]-гептаноат (5). К перемешиваемой в атмосфере аргона суспензии, содержащей 0.09 г (3.7 мг-ат) магния, 1 мг HgCl2 в 10 мл безводного эфира прибавляли 0.40 г (3.4 ммоль) бромистого пропаргила в 5 мл безводного эфира. Образующийся раствор пропенилмагния бромида охлаждали до –20°С и при перемешивании по каплям прибавляли 0.22 г (2.2 ммоль) метилизобутилкетона в 5 мл эфира. После прибавления смесь перемешивали 1.5 ч при комнатной температуре, охлаждали до –30°С, по каплям добавляли раствор 1.23 мл 2.18 н. BuLi (2.7 ммоль), температуру реакционной массы постепенно повышали до комнатной и перемешивали смесь в течение 2 ч. Затем реакционную смесь охлаждали до –30°С, по каплям добавляли раствор 0.50 г (2.1 ммоль) циклопентенона 3 в 7 мл безводного ТГФ и перемешивали 30 мин при этой температуре, затем 1 ч — при комнатной температуре, затем вновь охлаждали до –10°С и добавляли 15 мл насыщенного раствора NH4Cl. Продукт реакции экстрагировали Et2O (3х30 мл), объединённые органические экстракты промывали насыщенным раствором NaCl, сушили MgSO4 и концентрировали в вакууме. Полученный остаток очищали с помощью колоночной хроматографии на SiO2 (петролейный эфир–этилацетат, 7:3). Выход соединения 5 0.55 г (68%), Rf 0.55 (петролейный эфир–этилацетат, 7:3). ИК спектр, n, см-1 3400 (OH), 2216 (C≡C), 1735 (O–С=О). Спектр ЯМР 1Н ((CD3)2CO, 500 МГц), δ, м.д.: 0.9 т (3Н, H19, J 7.0 Гц), 1.19 т (3Н, H21, J 7.1 Гц), 1.31 д (3H, C17CH3, J 7.0 Гц), 1.26–1.35 м (4H, H4, 5), 1.37 c (3H, C16CH3), 1.45–1.50 м (2H, H3), 1.51–1.63 м (6H, H6, 7, 18), 2.04 кв.д (1H, H17, J 7.0 и 2.3 Гц), 2.20 м (1H, H11а), 2.21–2.30 м (3H, 2H10, H11в), 2.26 д (1H, H15в, J 9.6 Гц), 2.31 д (1H, H15а, J 9.6 Гц), 3.33 уш.с (1H, OH), 4.06 к (2Н, H20, J 7.0 Гц), 5.54 с (1Н, H12). Спектр ЯМР 13С ((CD3)2CO, 125 МГц), δ, м.д.: 13.57 (С19), 13.62 (C21), 23.72 (C3), 24.50 (C18), 26.45 (C17CH3), 29.83 (C16CH3), 28.59 (C4), 28.62 (C6), 29.09 (C5), 29.39 (C11), 30.47 (C7), 32.43 (C15), 33.65 (C2), 37.05 (C10), 45.88 (C17), 59.48 (C20), 71.09 (C9), 79.28 (C16), 86.89 (C14), 111.98 (C13), 145.84 (C8), 156.57 (C12), 172.80 (C1). Масс-спектр, m/z (Iотн, %): 361 (100) [М + H — H2O]–. Найдено, %: С 72.95; Н 10.08. С23H38O4. Вычислено, %: С 72.98; Н 10.13.
Этил-7-[2-(4-гидрокси-4,5-диметилгепт-1-ин-1-ил)-5-оксоциклопентен-1-ен-1-ил]гептаноат (6). К интенсивно перемешиваемой суспензии 0.12 г (0.57 ммоль) PCC в 10 мл CH2Cl2 при 0°С добавляли раствор 0.10 г (0.09 ммоль) соединения 5 в 7 мл CH2Cl2. Реакционную массу перемешивали 30 мин при 0°С, затем 2 ч при комнатной температуре, фильтровали, упаривали и остаток очищали на колонке с SiO2 (петролейный эфир–этилацетат, 9:1). Выход соединения 6 0.06 г (62%), желтое маслообразное вещество, Rf 0.22 (петролейный эфир–этилацетат, 7:3). ИК спектр, n, см-1: 3277 (ОН), 2219 (С≡С), 1736 (O–С=О), 1701 (С=О), 1612 (О=С–C=C). Спектр ЯМР 1Н ((CD3)2CO, 500 МГц), δ, м.д.: 0.89 д (3Н, C17CH3, J 7.1 Гц), 0.92 т (3Н, H19, J 7.1 Гц), 1.18 с и 1.20 с (3Н, C16CH3), 1.21 т (3H, H21, J 7.1 Гц), 1.25–1.32 м (4Н, H4, 5), 1.42 кв.д (2H, H18, J 7.1 и 3.5 Гц), 1.50–1.60 м (4H, H3, 6), 1.74 кв.д (1H, H17, J 7.1 и 3.5 Гц), 2.21 т (2H, H7, J 7.1 Гц), 2.23 т (2Н, H2, J 7.1 Гц), 2.37 м (2Н, H15), 2.52–2.57 м (2Н, H11), 2.65–2.67 м (2Н, H10), 4.07 к (2Н, H20, J 7.1 Гц). Спектр ЯМР 13С ((CD3)2CO, 125 МГц), δ, м.д.: 12.70 (С19), 14.18 (C21), 22.93 (C17–CH3), 23.56 (C16–CH3), 24.44 (C3), 24.80 (C18), 27.71 (C7), 28.82 (C6), 29.15 (C4), 30.35 (C5), 32.06 (C15), 32.58 (C11), 34.08 (C2), 34.27 (C10), 44.02 (C17), 60.14 (C20), 74.42 (C16), 79.48 (C13), 103.99 (C14), 148.09 (C12), 150.88 (C8), 173.86 (C1), 209.10 (C9). Масс-спектр, m/z (Iотн, %): 377 (100) [М + H). Найдено, %: С 72.92; Н 10.10. С23H36O4. Вычислено, %: С 72.98; Н 10.12.
Этил-7-[2-(4-гидрокси-4,5-диметилгепт-1-ин-1-ил)-5-гидроксициклопентен-1-ен-1-ил]гептаноат (7). Смесь 0.10 г (0.26 ммоль) соединения 5, 0.30 г NH4Cl в 10 мл безводного МеОН кипятили 3 ч (контроль ТСХ). Реакционную смесь охлаждали, метанол упаривали, добавляли 30 мл эфира, промывали водой, насыщенным раствором NaCl, сушили MgSO4 и концентрировали. Полученный остаток хроматографировали на колонке с SiO2 (петролейный эфир–этилацетат, 9:1). Выход соединения 7 0.08 г (80%). Rf 0.42 (петролейный эфир–этилацетат, 7:3). ИК спектр, n, см-1: 3452 (ОН), 2120 (С≡С), 1730 (O–С=О). Спектр ЯМР 1Н ((CD3)2CO, 500 МГц), δ, м.д.: 0.91 т (3Н, H19, J 7.2 Гц), 0.95 д (3Н, C17CH3, J 7.2 Гц), 1.18 т (3H, H21, J 7.1 Гц), 1.20 с (3Н, C16CH3), 1.27–1.37 м (7H, H3a, H4, 5, 6), 1.43 кв.д (2H, H18, J 7.2 и 3.6 Гц), 1.74 кв. д (1H, H17, J 7.2 и 3.5 Гц), 2.10–2.27 м (2H, H11а, H10а), 2.26 т (2H, H2, J 7.5 Гц), 2.30–2.50 м (2H, H10в, H11в), 2.52 д (1H, H15а, J 15.6 Гц), 2.57 д (1H, H15в, J 15.6 Гц), 4.05 к (2Н, H20, J 7.1 Гц), 4.37 т (1H, H9, J 7.0 Гц). Спектр ЯМР 13С ((CD3)2CO, 125 МГц), δ, м.д.: 13.06 (С19), 14.18 (C21), 22.93 (C17CH3), 23.56 (C16CH3), 24.44 (C3), 24.50 (C18), 27.71 (C6), 28.63 (C7), 29.13 (C4), 30.35 (C5), 32.06 (C11), 32.58 (C15), 34.08 (C2), 34.27 (C10), 44.03 (C17), 60.14 (C20), 79.48 (C13), 74.92 (C16), 103.98 (C14), 148.13 (C12), 150.88 (C8), 173.86 (C1), 209.10 (C9). Найдено, %: С 72.95; Н 10.15. С23H38O4. Вычислено, %: С 72.98; Н 10.12.
ЗАКЛЮЧЕНИЕ
Предложенный вариант быстрого конструирования структур PGB имеет общий характер, а полученные соединения 6, 7 представляют интерес как потенциально биологически активные вещества и полезны для изучения зависимости “структура–активность”.
БЛАГОДАРНОСТИ
Спектры (ЯМР, ИК, масс) записаны на оборудовании ЦКП “Химия” УфИХ РАН и РЦКП “Агидель” УФИЦ РАН.
ФОНДОВАЯ ПОДДЕРЖКА
Работа выполнена по теме гос. задания № 122031400261-4 “Дизайн и синтез биоактивных природных и неприродных циклопентаноидов, гетероциклов, эпотилонов и аналогов” и № 123011300044-5 “Установление структуры, состава и физико-химических характеристик органических, биоорганических, полимерных молекул и их комплексов с ионами металлов и фармаконами методами хроматографии, масс-спектрометрии, ИК, УФ, ЭПР, ЯМР-спектроскопии и вычислительной химии”
КОНФЛИКТ ИНТЕРЕСОВ
Авторы заявляют об отсутствии конфликта интересов.
Sobre autores
N. Ivanova
Ufa Institute of Chemistry, Ufa Federal Research Centre of the Russian Academy of Sciences (UIC UFRC RAS)
Autor responsável pela correspondência
Email: gushavaleeva@mail.ru
ORCID ID: 0000-0002-3101-1285
Rússia, prosp. Oktabrya, 71, Ufa, 450054
G. Shavaleeva
Ufa Institute of Chemistry, Ufa Federal Research Centre of the Russian Academy of Sciences (UIC UFRC RAS)
Email: gushavaleeva@mail.ru
ORCID ID: 0000-0003-1345-9139
Rússia, prosp. Oktabrya, 71, Ufa, 450054
L. Spirikhin
Ufa Institute of Chemistry, Ufa Federal Research Centre of the Russian Academy of Sciences (UIC UFRC RAS)
Email: gushavaleeva@mail.ru
ORCID ID: 0000-0002-3163-882X
Rússia, prosp. Oktabrya, 71, Ufa, 450054
M. Miftakhov
Ufa Institute of Chemistry, Ufa Federal Research Centre of the Russian Academy of Sciences (UIC UFRC RAS)
Email: gushavaleeva@mail.ru
ORCID ID: 0000-0002-0269-7484
Rússia, prosp. Oktabrya, 71, Ufa, 450054
Bibliografia
- Collins P.W., Djuric S.W. Chem. Rev. 1993, 93, 1533–1564. doi: 10.1021/cr00020a007
- Peng H., Chen F-E. Org. Biomol. Chem. 2017, 15, 6281–6301. doi: 10.1039/c7ob01341h
- Collins P.W., Djuric S.W. Chem. Rev. 2003, 93, 1534–1537. doi: 10.1021/cr00020a007
- Bindra J.S., Bindra R. Prostaglandin synthesis. New York: Academic Press. 1977, 187.
- Сапожникова Т.А., Зарудий Ф.С., Габдрахманова С.Ф., Хисамутдинова Р.Ю., Макара Н.С., Иванова Н.А., Мифтахов МС., Батталова M.О. Эксперим. и клин. фармакол. 2017, 80, 35–44. [Sapozhnikova T.A., Zarudii F.S., Gabdrakhmanova S.F., Khisamutdinova R.Yu., Makara N.S., Ivanova N.A., Miftakhov M.S., Battalova M.O. Eksperimental′naya i Klinicheskaya Farmakologiya, 2017, 80, 35–44.] doi: 10.30906/0869-2092-2017-80-8-35-44
- Иванова Н.А., Шайнурова А.М., Мифтахов М.С. Хим.-фарм. ж., 1998, 6, 39–40. [Ivanova N.A., Shainurova A.M., Miftakhov M.S. Pharm. Chem. J. 1998, 32, 325–326.] doi: 10.1007/BF02580520
- Chen S-M.L., Grudzinskas C.V., Dessy F. Prostaglandins. 1979, 17, 707–717. doi: 10.1016/s0090-6980(79)80042-8
- Collins P.W., Dajani E.Z., Driskill D.R., Bruhn M.S., Jung C.J., Pappo R. J. Med. Chem. 1977, 20, 1152–1159. doi: 10.1021/jm00219a008
- Collins P.W., Dajani E.Z., Pappo R., Gasiecki A.F., Bianchi R.G., Woods E.M. J. Med. Chem. 1983, 26, 786–790. doi: 10.1021/jm00360a002
- Terinek M., Kozmik V., Palecek J. Collect. Czech. Chem. Commun., 1997, 62, 1325–1341. doi: 10.1135/cccc19971325
- Harikrishna M., Mohan H.R., Dube P.K., Subbaraju G.V. Synth. Commun. 2009, 39, 2763–2775. doi: 10.1080/00397910802664228
- Иванова Н.А., Шавалеева Г.А., Мифтахов М.С. ЖОрХ. 2020, 56, 472–475. [Ivanova N.A., Shavaleeva G.A., Miftakhov M.S. Russ. J. Org. Chem. 2020, 56, 540–543.] doi: 10.1134/s1070428020030288
- Иванова Н.А., Шавалеева Г.А, Фазлиахметова И.Б., Мифтахов М.С. ЖОрХ. 2020, 56, 631–635. [Ivanova N.A. Shavaleeva G.A., Fazliakhmetova I.B., Miftakhov M.S. Russ. J. Org. Chem. 2020, 56, 708–711.] doi: 10.1134/s1070428020040211
Arquivos suplementares




