Synthesis and Antiarrhythmic Activity of New 1,3,4-Oxadiazole Derivatives Containing a 1,4-Benzodioxane Fragment
- Authors: Avagyan A.S.1, Vartanyan S.O.1, Sargsyan A.B.1, Panosyan G.A.1, Mkrtchyan G.S.1, Tumajyan A.E.1, Muradyan R.E.1, Aghekyan A.A.1
-
Affiliations:
- Scientific and Technological Center of Organic and Pharmaceutical Chemistry of the National Academy of Sciences of the Republic of Armenia
- Issue: Vol 61, No 1 (2025)
- Pages: 75-81
- Section: ЭКСПЕРИМЕНТАЛЬНЫЕ СТАТЬИ
- URL: https://journal-vniispk.ru/0514-7492/article/view/291859
- DOI: https://doi.org/10.31857/S0514749225010053
- EDN: https://elibrary.ru/AFPISO
- ID: 291859
Cite item
Abstract
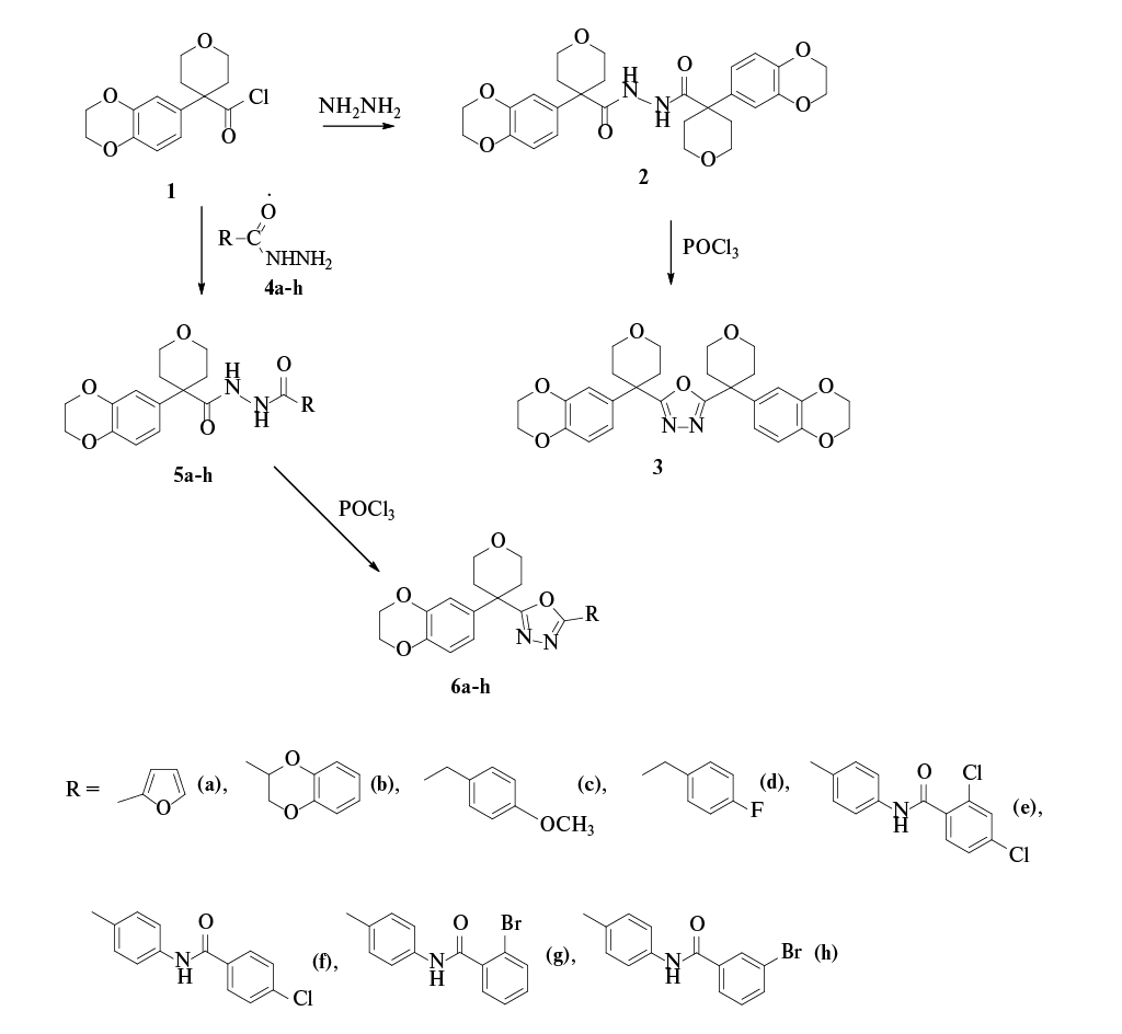
By reacting the previously synthesized 4-(1,4-benzodioxan-6-yl)tetrahydro-2H-pyran-4-carboxylic acid chloride with hydrazine hydrate a symmetrically substituted diacylhydrazine was synthesized, cyclized with phosphorus oxychloride to 2,5-bis-(4-(1,4-benzodioxan-6-yl)tetrahydro-2H-pyran-4-yl)-1,3,4-oxadiazole. For the synthesis of unsymmetrically 2,5-disubstituted 1,3,4-oxadiazoles, the condensation reaction of the above mantione acid chloride with various hydrazides was carried out, and the subsequent cyclization of the resulting diacyl-substituted hydrazines under action of phosphorus oxychloride. The antiarrhythmic properties of the synthesized compounds were studied.
Full Text
About the authors
A. S. Avagyan
Scientific and Technological Center of Organic and Pharmaceutical Chemistry of the National Academy of Sciences of the Republic of Armenia
Email: avagal@mail.ru
ORCID iD: 0000-0002-7148-3666
Armenia, 26, Azatutyan Ave., Yerevan, 0014
S. O. Vartanyan
Scientific and Technological Center of Organic and Pharmaceutical Chemistry of the National Academy of Sciences of the Republic of Armenia
Email: avagal@mail.ru
ORCID iD: 0000-0003-4582-7629
Armenia, 26, Azatutyan Ave., Yerevan, 0014
A. B. Sargsyan
Scientific and Technological Center of Organic and Pharmaceutical Chemistry of the National Academy of Sciences of the Republic of Armenia
Email: avagal@mail.ru
ORCID iD: 0000-0001-7115-9164
Armenia, 26, Azatutyan Ave., Yerevan, 0014
G. A. Panosyan
Scientific and Technological Center of Organic and Pharmaceutical Chemistry of the National Academy of Sciences of the Republic of Armenia
Email: avagal@mail.ru
ORCID iD: 0000-0001-8311-6276
Armenia, 26, Azatutyan Ave., Yerevan, 0014
G. S. Mkrtchyan
Scientific and Technological Center of Organic and Pharmaceutical Chemistry of the National Academy of Sciences of the Republic of Armenia
Email: avagal@mail.ru
ORCID iD: 0000-0002-1807-8610
Armenia, 26, Azatutyan Ave., Yerevan, 0014
A. E. Tumajyan
Scientific and Technological Center of Organic and Pharmaceutical Chemistry of the National Academy of Sciences of the Republic of Armenia
Author for correspondence.
Email: avagal@mail.ru
ORCID iD: 0000-0003-2151-4767
Armenia, 26, Azatutyan Ave., Yerevan, 0014
R. E. Muradyan
Scientific and Technological Center of Organic and Pharmaceutical Chemistry of the National Academy of Sciences of the Republic of Armenia
Email: avagal@mail.ru
ORCID iD: 0000-0002-4110-9454
Armenia, 26, Azatutyan Ave., Yerevan, 0014
A. A. Aghekyan
Scientific and Technological Center of Organic and Pharmaceutical Chemistry of the National Academy of Sciences of the Republic of Armenia
Email: avagal@mail.ru
ORCID iD: 0000-0001-6151-4951
Armenia, 26, Azatutyan Ave., Yerevan, 0014
References
- Siwach A., Verma P.K., BMC Chem., 2020, 14, 70. doi: 10.1186/s13065-020-00721-2
- Vaidya A., Pathak D., Shah K., Chem. Biol. Drug. Des., 2021, 97, 572–591. doi: 10.1111/cbdd.13795
- Vaghani H., Patel Sh., Patel S. Int. J. Pharm. Sci. Res., 2021, 13, 5292–5299. doi: 10.13040/IJPSR.0975-8232.12(10).5292-99
- The use of stems in the selection of International Nonproprietary Names (INN) for pharmaceutical substances WHO, Stem Book 2018, p.139–140. https://cdn.who.int PDF
- Авакян А.С., Вартанян С.О., Саргсян А.Б., Маркарян Э.А. ЖОрХ., 2014, 50, 445–449. [Avakyan A.S., Vartanyan S.O., Sargsyan A.B., Markaryan E.A. Russ. J. Org. Chem., 2014, 50, 434–438.] doi: 10.1134/S1070428014030233
- Авакян А.С., Вартанян С.О., Саргсян А.Б., Агекян A.A., Паносян Г.А., Пароникян Р.В., Степанян Г.М., Мурадян Р.Е. ЖОрХ, 2020, 56, 373–378. [Avakyan A.S., Vardanyan S.O., Sargsyan A.B., Aghekyan A.A., Panosyan H.A., Paronikyan R.V., Stepanyan H.M., Muradyan R.E. Russ. J. Org. Chem. 2020, 56, 385–389]. doi: 10.1134/S1070428020030033
- Айрапетян Г.К., Акопян М.Г., Арустамян Ж.С., Маркарян Э.А. ХГС, 1993, 5, 677–680.
- Руководство по проведению доклинических иссле-дований лекарственных средств, Ред. А.Н. Миронов, Часть первая, М.: Гриф и К, 2012, 387.
Supplementary files



