Иммобилизация глюкозооксидазы на микросферах альгината натрия
- Авторы: Стадольникова П.Ю.1, Тихонов Б.Б.1, Прутенская Е.А.1, Сидоров А.И.1, Сульман М.Г.1
-
Учреждения:
- Тверской государственный технический университет
- Выпуск: Том 59, № 1 (2023)
- Страницы: 56-64
- Раздел: Статьи
- URL: https://journal-vniispk.ru/0555-1099/article/view/138742
- DOI: https://doi.org/10.31857/S0555109923010129
- EDN: https://elibrary.ru/CVHSNC
- ID: 138742
Цитировать
Полный текст
Аннотация
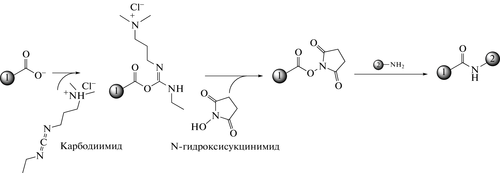
Глюкозооксидаза из Aspergillus niger была иммобилизована посредством ковалентной сшивки на поверхности альгинатных микросфер, полученных методом эмульгирования/внутреннего гелеобразования. Проведено сравнение каталитических свойств свободного и иммобилизованного фермента. Размер полученных микросфер составил менее 200 мкм. В инфракрасных Фурье-спектрах диффузионного отражения полупродуктов синтеза биокатализатора были выявлены пики, соответствующие образованным ковалентным связям между ферментом и носителем. Эксперименты показали, что иммобилизованный фермент имел активность на 40% ниже, чем свободная глюкозооксидаза, но при этом обладал активностью в более широком диапазоне температур. Кинетические параметры для нативной глюкозооксидазы: Vmax – 0.341 ммоль/л·мин, Km – 5.41 ммоль/л; для иммобилизованной – 0.203 ммоль/л·мин и 11.43 ммоль/л соответственно; биокатализатор теряет менее 25% активности за 5 циклов повторного использования. Синтезированный биокатализатор может быть использован в пищевой промышленности качестве хлебопекарного улучшителя, в химической и фармацевтической промышленности для получения глюконовой кислоты, а также в аналитической химии для определения концентрации глюкозы.
Об авторах
П. Ю. Стадольникова
Тверской государственный технический университет
Автор, ответственный за переписку.
Email: p.stadolnikova@mail.ru
Россия, 170026, Тверь
Б. Б. Тихонов
Тверской государственный технический университет
Email: p.stadolnikova@mail.ru
Россия, 170026, Тверь
Е. А. Прутенская
Тверской государственный технический университет
Email: p.stadolnikova@mail.ru
Россия, 170026, Тверь
А. И. Сидоров
Тверской государственный технический университет
Email: p.stadolnikova@mail.ru
Россия, 170026, Тверь
М. Г. Сульман
Тверской государственный технический университет
Email: p.stadolnikova@mail.ru
Россия, 170026, Тверь
Список литературы
- Ferri S., Kojima K., Sode K. // J. Diabetes Sci. Technol. 2011. V. 5. № 5. P. 1068–1076.
- Dubey M.K., Zehra A., Aamir M., Meena M., Ahirwal L., Singh S. et al. // Front. Microbiol. 2017. V. 8. P. 1–22.
- Wilson R., Turner A.P.F. // Biosens. Bioelectron. 1992. V. 7. P. 165–185.
- Bankar S.B., Bule M.V., Singhal R.S., Ananthanarayan L. // Biotechnol. Advances. 2009. V. 27. № 4. P. 489–501.
- Kornecki J.F., Carballares D., Tardioli P.W., Rodrigues R.C., Berenguer-Murcia Á. et al. // Catal. Sci. Technol. 2020. V. 10. P. 5740–5771.
- Tikhonov B., Sulman E., Stadol’nikova P., Sulman A., Golikova E., Sidorov A., Matveeva V. // Catal. Ind. 2019. V. 11. P. 251–263.
- Dagdelen A.F., Gocmen D. // J. Food Qual. 2007. V. 30. P. 1009–1022.
- Schmidt A., Dordick J.S., Hauer B., Kiener A., Wubbolts M., Witholt B. // Nature. 2001. V. 409. P. 258–268.
- Smith A.M., Moxon S., Morris G.A. Wound Healing Biomaterials: Vol. Two, Functional Biomaterials. Biopolymers as wound healing materials / Ed. Magnus S. Ågren. Woodhead Publishing, 2016. P. 261–287.
- Dong L. C., Wang G., Xiao Y., Xu Y., Zhou X., Jiang H., Luo Q. // Chem. Biochem. Eng. Q. 2011. V. 25. № 3. P. 395–402.
- Tang L., Yang R., Hua X., Yu C., Zhang W., Zhao W. // Food Chem. 2014. V. 161. P. 1–7.
- Gheorghita R., Anchidin-Norocel L., Filip R., Dimian M., Covasa M. // Polymers. 2021. V. 13. P. 1–33.
- Ching S.H., Bansal N., Bhandari B. // Crit. Rev. Food Sci. Nutr. 2017. V. 57. № 6. P. 1133–1152.
- Uyen N.T.T., Hamid Z.A.A., Tram N.X.T., Ahmad N.B. // Int. J. Biol. Macromol. 2019. V. 153. P. 1–34.
- Dhamecha D., Movsas R., Sano U., Menon J.U. // Int. J. Pharm. 2019. V. 569. P. 1–13.
- Alnoch R.C., Santos L.A., Almeida J.M., Krieger N., Mateo C. // Catalysts. 2020. V. 10. № 6. P. 1–29.
- Viscusi G., Gorrasi G. // Int. J. Biol. Macromol. 2021. V. 184. P. 271–281.
- Liu Q., Rauth A.M., Wu X.Y. // Int. J. Pharm. 2007. V. 339. P. 148–156.
- Arisanti C.I.S., Rachmawati H., Pamudji J.S., Sumirtapura Y.C. // J. Pharm. Sci. App. 2012. V. 1. № 1. P. 47–61.
- Juric S., Dermic E., Topolovec–Pintaric S., Bedek M., Vincekovic M. // J. Integr. Agric. 2019. V. 18. № 11. P. 2534–2548.
- Üçüncü T.E., Terzioğlu K., Türe H. // Chem. Ecol. 2017. V. 33. № 7. P. 652–668.
- Liu L., Wua F., Ju X.-J., Xie R., Wang W., Niu C.H., Chu L.-Y. // J. Colloid Interf. Sci. 2013. V. 404. P. 85–90.
- Uyen N.T.T., Hamid Z.A.A., Nurazreena A. // Mater. Today: Proc. 2019. V. 17. P. 792–797.
- Bӧrner R.A., Aliaga M.T.A., Mattiasson B. // Biotechnol. Lett. 2013. V. 35(3). P. 397–405.
- Cai S., Zhao M., Fang Y., Nishinari K., Phillips G.O., Jiang F. // Food Hydrocoll. 2014. V. 39. P. 295–300.
- Kim E.S., Lee J.-S., Lee H.G. // Food Sci. Biotechnol. 2016. V. 25(5). P. 1337–1343.
- Poncelet D., Lencki R., Beaulieu C., Halle J.P., Neufeid R.J., Fournier A. // Appl. Microbiol. Biotechnol. 1992. V. 38. P. 39–45.
- Reis C.P., Neufeld R.J., Vilela S., Ribeiro A.J., Veiga F. // J. Microencapsul. 2006. V. 23(3). P. 245–257.
- Silva C.M., Ribeiro A.J., Figueiredo M., Ferreira D., Veiga F. // AAPS J. 2006. V. 7(4). P. 903–913.
- Ching S.H., Bansal N., Bhandari B. // Crit. Rev. Food Sci. Nutr. 2017. V. 57. № 6. P. 1133–1152.
- Machado A.H.E., Lundberg D., Ribeiro A.J., Veiga F.J., Lindman B., Miguel M.G., Olsson U. // Langmuir. 2012. V. 28 № 9. P. 4131–4141.
- Zhang Z., Ortiz O., Goyal R., Kohn J. Handbook of Polymer Applications in Medicine and Medical Devices. Part 4: Polymeric Biomaterials. / Ed. K. Modjarrad, S. Ebnesajjad. William Andrew, 2014. P. 303–335.
- Leong J.-Y., Lam W.-H., Ho K.-W., Voo W.-P., Lee M.F.-X., Lim H.-P. et al. // Particuology. 2016. V. 24. P. 44–60.
- Wang X., Zhu K.-X., Zhou H.-M. // Int. J. Mol. Sci. 2011. V. 12. № 5. P. 3042–3054.
- Тихонов Б.Б., Стадольникова П.Ю., Сидоров А.И., Сульман М.Г. // Вестник ТвГУ. Серия: Химия. 2021. № 2(44). С. 18–25.
- Song H., Yu W., Gao M., Liu X., Ma X. // Carbohydr. Polym. 2013. V. 96. № 1. P. 181–189.
- Mark D., Haeberle S., Zengerle R., Ducree J., Vladisavljevic G.T. // J. Colloid Interf. Sci. 2009. V. 336. № 2. P. 634–641.
- The Protein Protocols Handbook: Second Edition / Ed. John M. Walker. Humana Press Inc., 2002. 1147 p.
- Zhao Y., Teresa Carvajal M., Won Y.-Y., Harris. M.T. // Langmuir. 2007. V. 23. № 25. P. 12489–12496.
- Poncelet D., Poncelet De Smet B., Beaulieu C., Huguet M.L., Fournier A., Neufeld R.J. // Appl. Microbiol. Biotechnol. 1995. V. 43. P. 644–650.
Дополнительные файлы










