Образование различных изоформ антимикробных пептидов эмерициллипсинов у Emericellopsis alkalina при разных условиях культивирования
- Авторы: Куварина А.Е.1, Суконников М.А.1, Рогожин Е.А.1,2, Серебрякова М.В.3, Тимофеева А.В.3, Георгиева М.Л.1,4, Садыкова В.С.1
-
Учреждения:
- Научно-исследовательский институт по изысканию новых антибиотиков им. Г.Ф. Гаузе
- Институт биоорганической химии им. академиков М.М. Шемякина и Ю.А. Овчинникова
- НИИ Физико-химической биологии им. А.Н. Белозерского
- Московский государственный университет им. М.В. Ломоносова, биологический факультет
- Выпуск: Том 59, № 2 (2023)
- Страницы: 174-181
- Раздел: Статьи
- URL: https://journal-vniispk.ru/0555-1099/article/view/138756
- DOI: https://doi.org/10.31857/S0555109923020095
- EDN: https://elibrary.ru/LLSKOD
- ID: 138756
Цитировать
Полный текст
Аннотация
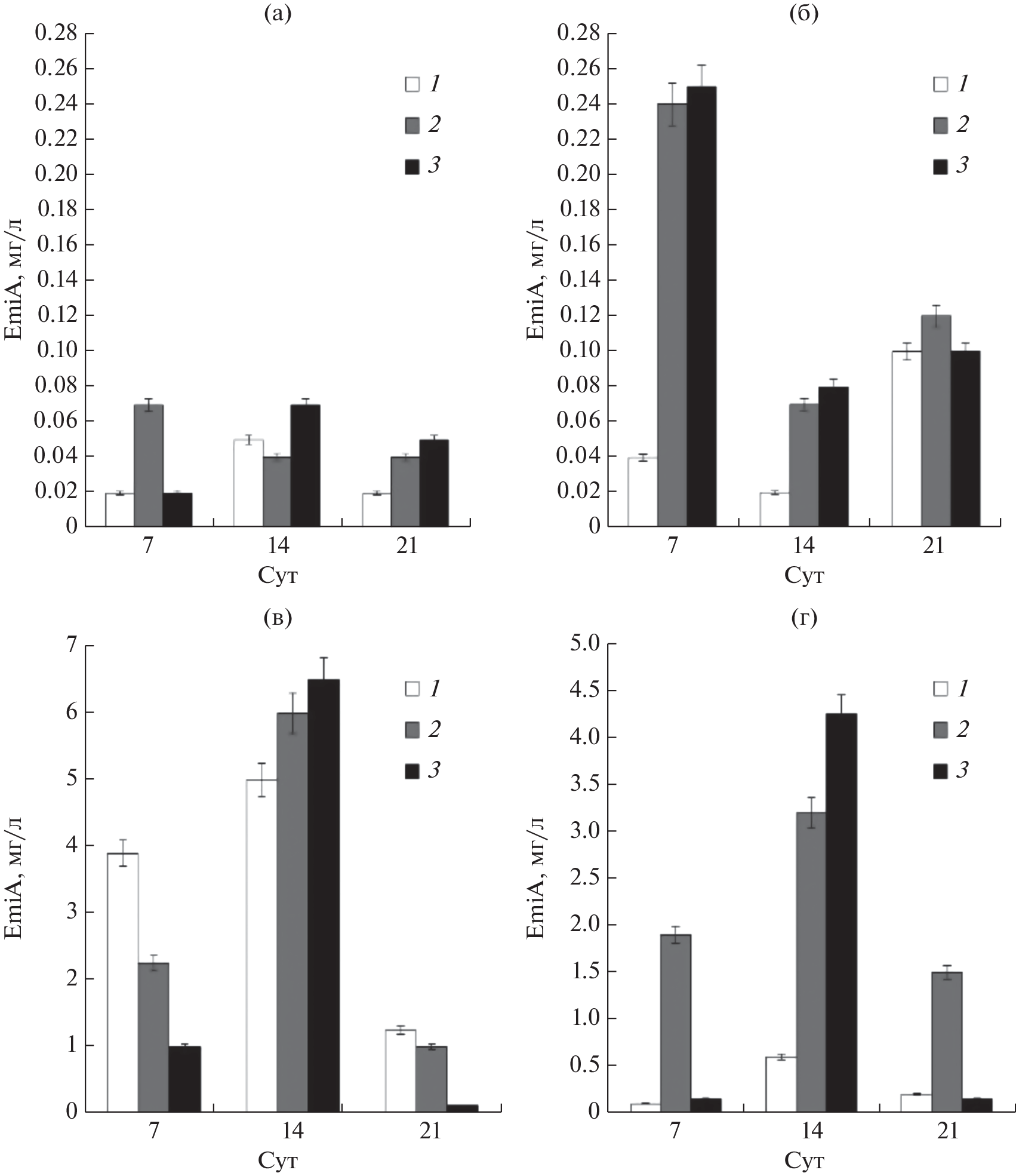
Проведена оценка способности образования противогрибкового антибиотика эмерициллипсина А у штамма гриба Emericellopsis alkalina E101 в различных биотехнологических системах при нейтральных и щелочных рН. Установлено, что новый апробированный мембранно-жидкостной способ культивирования при рН 10 увеличивал выход основного компонента эмерициллипсина А в 1.7 раза. Показано, что новый способ культивирования штамма E. alkalina E101 также способствовал синтезу различных изоформ основного компонента эмерициллипсина А.
Ключевые слова
Об авторах
А. Е. Куварина
Научно-исследовательский институт по изысканию новых антибиотиков им. Г.Ф. Гаузе
Автор, ответственный за переписку.
Email: nastena.lysenko@mail.ru
Россия, 119021, Москва
М. А. Суконников
Научно-исследовательский институт по изысканию новых антибиотиков им. Г.Ф. Гаузе
Email: sadykova_09@mail.ru
Россия, 119021, Москва
Е. А. Рогожин
Научно-исследовательский институт по изысканию новых антибиотиков им. Г.Ф. Гаузе; Институт биоорганической химии им. академиков М.М. Шемякина и Ю.А. Овчинникова
Email: sadykova_09@mail.ru
Россия, 119021, Москва; Россия, 117997, Москва
М. В. Серебрякова
НИИ Физико-химической биологии им. А.Н. Белозерского
Email: sadykova_09@mail.ru
Россия, 119234, Москва
А. В. Тимофеева
НИИ Физико-химической биологии им. А.Н. Белозерского
Email: sadykova_09@mail.ru
Россия, 119234, Москва
М. Л. Георгиева
Научно-исследовательский институт по изысканию новых антибиотиков им. Г.Ф. Гаузе; Московский государственный университет им. М.В. Ломоносова, биологический факультет
Email: sadykova_09@mail.ru
Россия, 119021, Москва; Россия, 119234, Москва
В. С. Садыкова
Научно-исследовательский институт по изысканию новых антибиотиков им. Г.Ф. Гаузе
Автор, ответственный за переписку.
Email: sadykova_09@mail.ru
Россия, 119021, Москва
Список литературы
- Lau J.L., Dunn M.K. // Bioorg.Med. Chem. 2018. V. 26. № 10. P. 2700–2707. https://doi.org/10.1016/j.bmc.2017.06.052
- Casagrande N., Borghese C., Gabbatore L., Morbiato L., De Zotti M., Aldinucci D. // Int. J. Mol. Sci. 2021. V. 22. № 16. P. 1–19. https://doi.org/10.3390/ijms22168362
- Chen C.H., Lu T.K. // Antibiotics. 2020. V. 9. № 24. P. 1–20. https://doi.org/10.3390/antibiotics9010024
- Bin H.A., Jiang X., Bergen P.J., Zhu Y. // Int. J. Mol. Sci. 2021. V. 22. № 11691. P. 1–56. https://doi.org/10.3390/ijms222111691
- Aldholmi M., Marchand P., Ourliac–Garnier I., Le Pape P., Ganesan A. // Pharmaceuticals. 2019. V. 12. № 4. P. 1–21. https://doi.org/10.3390/ph12040182
- Egorova–Zachernyuk T.A., Shvets V., Versluis K., Heerma W., Creemers A.F.L., Nieuwenhuis S.A.M., Lugtenburg J., Raap J. // J. Pept. Sci. 1996. V. 2. P. 341–350. https://doi.org/10.1002/psc.72
- Дьяченко И.А., Мурашев А.Н., Овчинникова Т.В. // Токсикологический вестник. 2008. № 3. С. 35–38.
- Otto A., Laub A., Porzel A., Schmidt J., Wessjohann L., Westermann B., Arnold N. // Eur. J. Org. Chem. 2015. V. 34. P. 7449–7459. https://doi.org/10.1002/ejoc.201501124
- Sadykova V.S., Gavryushina I.A., Kuvarina A.E., Markelova N.N., Sedykh N.G., Georgieva M.L., Barashkova A.C., Rogozhin E.A. // Appl. Biochem. Microbiol. 2020. V. 56. № 3. P. 292–297. https://doi.org/10.1134/S000368382003010
- Kuvarina A.E., Gavryushina I.A., Kulko A.B., Ivanov I.A., Rogozhin E.A., Georgieva M.L., Sadykova V.S. // J. Fungi. 2021. V. 7. № 153. P. 1–19. https://doi.org/10.3390/jof7020153
- Hao X., Li Sh., Ni J., Wang G., Li F., Li Q., Chen Sh., Shu J., Gan M. //J. Nat. Prod. 2021. V. 84. № 11. P. 2990–3000. https://doi.org/10.1021/acs.jnatprod.1c00834
- Zhang S.-H., Zhao X., Xu R., Yang Y., Tang J., Yue X.-L., Wang Y.-T., Tan X.-Y., Zhang G.-G., Li C.-W. // Chem. Biodivers. 2022. V. 19. № e202200627. P. 1–26. https://doi.org/10.1002/cbdv.202200627
- Grum-Grzhimaylo A.A., Georgieva M.L., Debets A.J.M., Bilanenko E.N. // IMA Fungus. 2013. V. 4. № 2. P. 213–228. https://doi.org/10.5598/imafungus.2013.04.02.07
- Kuvarina A.E., Gavryushina I.A., Sykonnikov M.A., Efimenko T.A., Markelova N.N., Bilanenko E.N. et al. // Molecules. 2022. V. 27. № 1736. P. 1–16. https://doi.org/10.3390/molecules27051736
- Baranova A.A., Georgieva M.L., Bilanenko E.N., Andreev Y.A., Rogozhin E.A., Sadykova V.S. // Appl. Biochem. Microbiol. 2017. V. 53. № 6. P. 703–710. https://doi.org/10.1134/S0003683817060035
- Galloway W.R.J.D., Bender A., Welch M., Spring D.R. // Chem. Commun. 2009. P. 2446–2462. https://doi.org/10.1039/b816852k
Дополнительные файлы







