Предобработка тростника с помощью глубоких эвтектических растворителей для увеличения его гидролизуемости под действием целлюлаз
- Авторы: Семенова М.В.1, Васильева И.С.1, Ярополов А.И.1, Синицын А.П.1
-
Учреждения:
- Федеральный исследовательский центр “Фундаментальные основы биотехнологии” Российской академии наук (ФИЦ Биотехнологии РАН)
- Выпуск: Том 59, № 3 (2023)
- Страницы: 253-259
- Раздел: Статьи
- URL: https://journal-vniispk.ru/0555-1099/article/view/138771
- DOI: https://doi.org/10.31857/S0555109923030169
- EDN: https://elibrary.ru/BELOAR
- ID: 138771
Цитировать
Полный текст
Аннотация
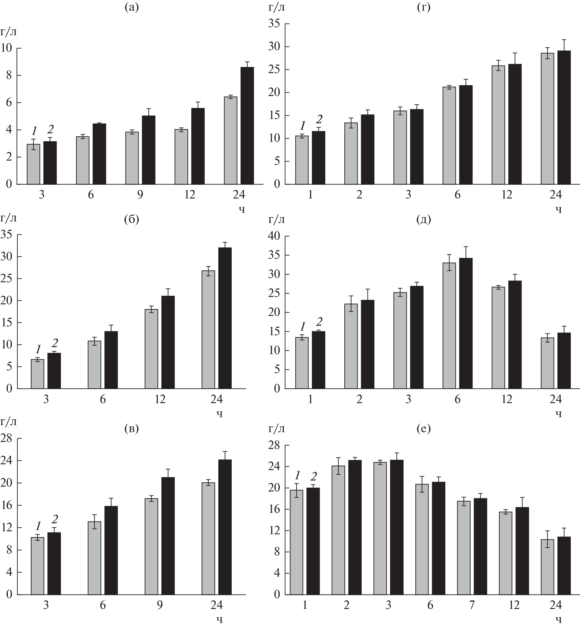
Проведена предобработка тростника рядом глубоких эвтектических растворителей (ГЭР) на основе холина хлорида (ХХл) в качестве акцептора водородной связи. Среди доноров водородной связи наиболее эффективными были молочная (МК) и щавелевая кислоты (ЩК). Оптимизированы условия предобработки тростника (соотношение компонентов ГЭР, температура и время воздействия), приводящие к наибольшему выходу восстанавливающих сахаров (ВС) и глюкозы в ходе его гидролиза целлюлазным ферментным препаратом (ФП) на основе Penicillium verruculosum. Установлено, что при использовании смеси ХХл и МК (молярное соотношение компонентов 1 : 5) наиболее эффективна предобработка при температуре 80°С в течение 24 ч, а при использовании смеси ХХл и ЩК (молярное соотношение 1 : 1) – при 80°С в течение 6 ч. При этом глубина последующего ферментативного гидролиза предобработанного тростника после 48 ч выдерживания в присутствии ФП P. verruculosum В537 составляла 80 и 86% по сухой массе для выбранных смесей ХХл/МК и ХХл/ЩК соответственно.
Ключевые слова
Об авторах
М. В. Семенова
Федеральный исследовательский центр “Фундаментальные основы биотехнологии”Российской академии наук (ФИЦ Биотехнологии РАН)
Автор, ответственный за переписку.
Email: margs@mail.ru
Россия, 119071, Москва
И. С. Васильева
Федеральный исследовательский центр “Фундаментальные основы биотехнологии”Российской академии наук (ФИЦ Биотехнологии РАН)
Email: margs@mail.ru
Россия, 119071, Москва
А. И. Ярополов
Федеральный исследовательский центр “Фундаментальные основы биотехнологии”Российской академии наук (ФИЦ Биотехнологии РАН)
Email: margs@mail.ru
Россия, 119071, Москва
А. П. Синицын
Федеральный исследовательский центр “Фундаментальные основы биотехнологии”Российской академии наук (ФИЦ Биотехнологии РАН)
Email: margs@mail.ru
Россия, 119071, Москва
Список литературы
- Гусаков А.В., Синицын А.П. // Химия биомассы: биотоплива и биопластики. М.: Научный мир. 2017. С. 789. ISBN 978-5-91522-451-2.
- Conde-Mejiaa C., Jimenez-Gutierreza A., El-Halwagi M. // Process Safety and Environmental Protection. 2012. V. 90. P. 189–202. https://doi.org/10.1016/j.psep.2011.08.004
- Eggeman T., Elander R.T. // Biores. Technol. 2005. V. 96. P. 2019–2025. https://doi.org/10.1016/j.biortech.2005.01.017
- Satlewal A., Agrawal R., Bhagia S., Das P., Ragauskas A.J. // Biofuels Bioprod. Biorefin. 2017. V. 12. № 1. P. 83–107. https://doi.org/10.1002/bbb.1818
- Abbott A.P., Boothby D., Capper G., Davies D.L., Rasheed R.K. // J. Am. Chem. Soc. 2004. V. 126. № 29. P. 9142–9147. https://doi.org/10.1021/ja048266j
- Gorke J.T., Srienc F., Kazlauskas R.J. // ACS Symposium Series. 2010. V. 1038. P. 169–180. https://doi.org/10.1021/bk-2010-1038.ch014
- Mbous Y.P., Hayyan M., Hayyan A., Wong W.F., Hashim M.A., Looi C.Y. // Biotechnol. Adv. 2017. V. 35. № 2. P. 105–134. https://doi.org/10.1016/j.biotechadv.2016.11.006
- Abbott A.P., Capper G., Davies D.L., Rasheed R.K., Tambyrajah V. // Chem. Commun. 2003. V. 1. P. 70–71. https://doi.org/10.1039/B210714G
- Martins M.A.R., Pinho S.P., Coutinho J.A.P. // J. Solut. Chem. 2019. V. 48. P. 962–982.https://doi.org/10.1007/s10953-018-0793-1
- Smith E.L., Abbott A.P., Ryder K.S. // Chemical Reviews. 2014. V. 114. P. 11060–11082. https://doi.org/10.1021/cr300162p
- Oliveira V.K.D., Gregory C., Francois J. // ChemCatChem. 2015. V. 7. № 8. P. 1250–1260. https://doi.org/10.1002/cctc.201500134
- Abo-Hamad A., Hayyan M., Alsaadi M.A., Hashim M.A. // Chem. Eng. J. 2015. V. 273. P. 551–567. https://doi.org/10.1016/j.cej.2015.03.091
- Bhagia S., Li H., Gao X., Kumar R., Wyman C.E. // Biotechnol. Biofuels. 2016. V. 9. № 1. P. 245. https://doi.org/10.1186/s13068-016-0660-5
- Dumitrache A., Tolbert A., Natzke J., Brown S.D., Davison B.H., Ragauskas A.J. // Green Chem. 2017. V. 19. № 9. P. 2275–2285.https://doi.org/10.1039/c7gc00346c
- Tang X., Zuo M., Li Z., Liu H., Xiong C., Zeng X. et al. // ChemSusChem. 2017. V. 10. № 13. P. 2696–2706. https://doi.org/10.1002/cssc.201700457
- Zhang C.-W., Xia S.-Q., Ma P.-S. // Biores. Technol. 2016. V. 219. P. 1–5. https://doi.org/10.1016/j.biortech.2016.07.026
- Количественный химический анализ растительного сырья. / Ред. В.И. Шарков, И.И. Куйбина, Ю.П. Соловьева, Т.А. Павлова. М.: Лесная промышленность, 1976. С. 63–64.
- Morozova V.V., Gusakov A.V., Andrianov R.M., Pravilnikov A.G., Osipov D.O., Sinitsyn A.P. // Biotechnol. J. 2010. V. 5. № 8. P. 871–880. https://doi.org/10.1002/biot.201000050
- Dotsenko G.S., Gusakov A.V., Rozhkova A.M., Korotkova O.G., Sinitsyn A.P. // Process Biochem. 2015. V. 50. P. 1258–1263. https://doi.org/10.1016/j.procbio.2015.05.008
- Синицын А.П., Черноглазов В.М., Гусаков А.В. Итоги науки и техники. М.: ВИНИТИ, Биотехнология. 1990. № 25. С. 148.
- Sinitsyn A.P., Osipov D.O., Rozhkova A.M., Bushina E.V., Dotsenko G.S., Sinitsyna O.A. et al. // Appl. Biochem. Microbiol. 2014. V. 50. № 8. P. 761.
- Kumar A.K., Parikh B.S., Pravakar M. // Environ. Sci. Pollut. Res. 2016. V. 23. № 10. P. 9265–9275. https://doi.org/10.1007/s11356-015-4780-4
- Jablonsky M., Škulcova A., Kamenska L., Vrška M., Šima J. // Biores. 2015. V. 10. № 4. P. 8039–8047. https://doi.org/10.15376/biores.10.4.8039-8047
- Wahlstrom R., Hiltunen J., Pitaluga De Souza Nascente Sirkka M., Vuoti S., Kruus K. // RSC Adv. 2016. V. 6. № 72. P. 68100–68110. https://doi.org/10.1039/C6RA11719H
- Lynam J.G., Kumar N., Wong M.J. // Biores. Technol. 2017. V. 238. P. 684–689. https://doi.org/10.1016/j.biortech.2017.04.079
- Francisco M., van den Bruinhorst A., Kroon M.C. // Green Chem. 2012. V. 14. № 8. P. 2153–2157. https://doi.org/10.1039/C2GC35660K
- Tian D., Chandra R.P., Lee J.-S., Lu C., Saddler J.N. // Biotechnol. Biofuels. 2017. V. 10. № 1. P. 157. https://doi.org/10.1186/s13068-017-0846-5
- Procentese A., Johnson E., Orr V., Garruto Campanile A., Wood J.A., Marzocchella A., et al. // Biores. Technol. 2015. V. 192. P. 31–36. https://doi.org/10.1016/j.biortech.2015.05.053
Дополнительные файлы



