Prospects for the Application of Sensor Elements for Detecting the Presence of Bacteria in Real Time
- Авторлар: Lachinov A.N.1, Lachinov A.A.1, Karamov D.D.1, Galiev A.F.1, Kuzina E.V.2, Korshunova T.Y.2
-
Мекемелер:
- Institute of Physics of Molecules and Crystals, Ufa Federal Research Centre, Russian Academy of Sciences
- Ufa Institute of Biology, Ufa Federal Research Centre, Russian Academy of Sciences
- Шығарылым: Том 59, № 3 (2023)
- Беттер: 295-300
- Бөлім: Articles
- URL: https://journal-vniispk.ru/0555-1099/article/view/138776
- DOI: https://doi.org/10.31857/S0555109923030121
- EDN: https://elibrary.ru/BEFAWD
- ID: 138776
Дәйексөз келтіру
Толық мәтін
Аннотация
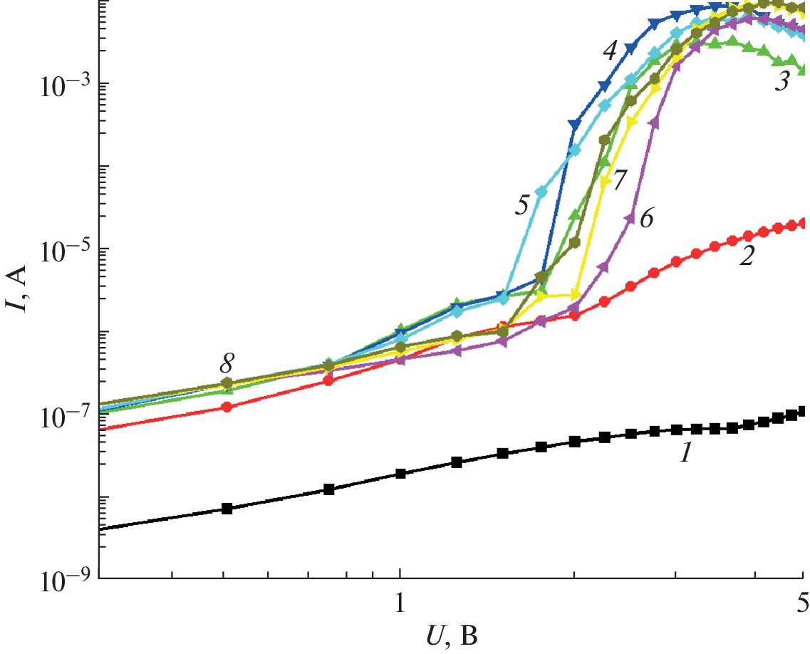
A study was made of the response of a sensor element based on polydiphenylenephthalide to a change in the composition of the air medium during the cultivation of Enterobacter asburiae UOM 3 bacteria in a liquid nutrient medium. Registration of changes in the resistance of the sensor element in response to volatile organic compounds released by bacterial cells was carried out by measuring the current-voltage characteristics at specified time intervals. The results showed the relationship between the number of bacteria and the change in the resistance of the sensor element, due to the release of waste products of microorganisms. With an increase in the titer of bacteria by 3 orders of magnitude, the resistance of the sensor under the influence of volatile organic compounds accumulated in the medium decreased by 2 orders of magnitude. It is assumed that sensors based on polydiphenylenephthalide can be used to determine the presence of bacteria in various materials and media.
Авторлар туралы
A. Lachinov
Institute of Physics of Molecules and Crystals, Ufa Federal Research Centre, Russian Academy of Sciences
Email: korshunovaty@mail.ru
Russia, 450075, Ufa
A. Lachinov
Institute of Physics of Molecules and Crystals, Ufa Federal Research Centre, Russian Academy of Sciences
Email: korshunovaty@mail.ru
Russia, 450075, Ufa
D. Karamov
Institute of Physics of Molecules and Crystals, Ufa Federal Research Centre, Russian Academy of Sciences
Email: korshunovaty@mail.ru
Russia, 450075, Ufa
A. Galiev
Institute of Physics of Molecules and Crystals, Ufa Federal Research Centre, Russian Academy of Sciences
Email: korshunovaty@mail.ru
Russia, 450075, Ufa
E. Kuzina
Ufa Institute of Biology, Ufa Federal Research Centre, Russian Academy of Sciences
Email: korshunovaty@mail.ru
Russia, 450054, Ufa
T. Korshunova
Ufa Institute of Biology, Ufa Federal Research Centre, Russian Academy of Sciences
Хат алмасуға жауапты Автор.
Email: korshunovaty@mail.ru
Russia, 450054, Ufa
Әдебиет тізімі
- Веселова М.А., Плюта В.А., Хмель И.А. // Микробиология. 2019. Т. 88. № 3. С. 272–287.
- Schulz S., Dickschat J.S. // Nat. Prod. Rep. 2007. V. 24. № 4. P. 814–842.
- Weisskopf L., Schulz S., Garbeva P. // Nat. Rev. Microbiol. 2021. V. 19. № 6. P. 391–404.
- Elmassry M.M., Piechulla B. // Front. Neurosci. 2020. V. 14. Article 257.https://doi.org/10.3389/fnins.2020.00257
- Lough F., Perry J.D., Stanforth S.P., Dean J.R. // TrAC Trends Anal. Chem. 2017. V. 87. P. 71–81.
- Ratiu I.A., Bocos-Bintintan V., Monedeiro F., Milanowski M., Ligor T., Buszewski B. // Crit. Rev. Anal. Chem. 2020. V. 50. № 6. P. 501–512.
- Bonah E., Huang X., Aheto J.H., Osae R. // J. Food Sci. Technol. 2020. V. 57. № 6. P. 1977–1990.
- Seesaard T., Thippakorn C., Kerdcharoen T., Kladsomboon S. //Anal. Methods. 2020. V. 12. № 47. P. 5671–5683.
- Shauloff N., Morag A., Yaniv K., Singh S., Malishev R., Paz-Tal O., Rokach L., Jelinek R. // Nanomicro Lett. 2021. V. 13. № 1. Article 112. doi.org/https://doi.org/10.1007/s40820-021-00610-w
- Gadiev R.M., Lachinov A.N., Salikhov R.B., Rakhmeev R.G., Kornilov V.M., Yusupov A.R. // Appl. Phys. Lett. 2011. V.98. P. 173305. https://doi.org/10.1063/1.3584135
- Yusupov A.R., Gadiev R.M., Lachinov A.N., Kornilov V.M., Kalimullina L.R., Galiev A.F., Kian M., Salazkin S.N. // Synth. Met. 2021. V. 274. Article 116733.https://doi.org/10.1016/j.synthmet.2021.116733
- Lachinov A.N., Gadiev R.M., Salikhov R.B., Zhdanov E.R. // Nanotechnology in the Security Systems. NATO Science for Peace and Security. Series C: Environmental Security. /Ed. J. Bonča, S. Kruchinin. Dordrecht: Springer, 2015. P. 243–256.
- García C., Lozano A.E., de la Campa J.G., Vygoskii Y., Zolotukhin M., de Abajo J., Garrido L., Guzmán J. // Macromolecules. 2015. V. 48. № 8. P. 2585–2592.
- Определитель бактерий. /Ред. Дж. Х. Берджи. М.: Мир, 1997. Т. 1. 429 с.
- Лабинская А.С., Быков А.С., Бондаренко В.М., Березкина Н.Е. Руководство по медицинской микробиологии. Общая и санитарная микробиология. Книга I. / Ред. А.С. Лабинская, Е.Г. Волина. Изд-во Бином, 2020. 1080 с.
- Ламперт М., Марк П. Инжекционные токи в твердых телах. М.: Мир, 1973. 416 с.
Қосымша файлдар







