Оптимизация аэробного синтеза янтарной кислоты из глюкозы рекомбинантными штаммами Escherichia coli по варианту цикла трикарбоновых кислот, опосредованному действием 2-кетоглутарат-декарбоксилазы
- Авторы: Скороходова А.Ю.1, Гулевич А.Ю.1, Дебабов В.Г.1
-
Учреждения:
- Федеральный исследовательский центр “Фундаментальные основы биотехнологии” Российской академии наук
- Выпуск: Том 59, № 6 (2023)
- Страницы: 573-580
- Раздел: Статьи
- URL: https://journal-vniispk.ru/0555-1099/article/view/232491
- DOI: https://doi.org/10.31857/S0555109923060168
- EDN: https://elibrary.ru/CXMYQU
- ID: 232491
Цитировать
Полный текст
Аннотация
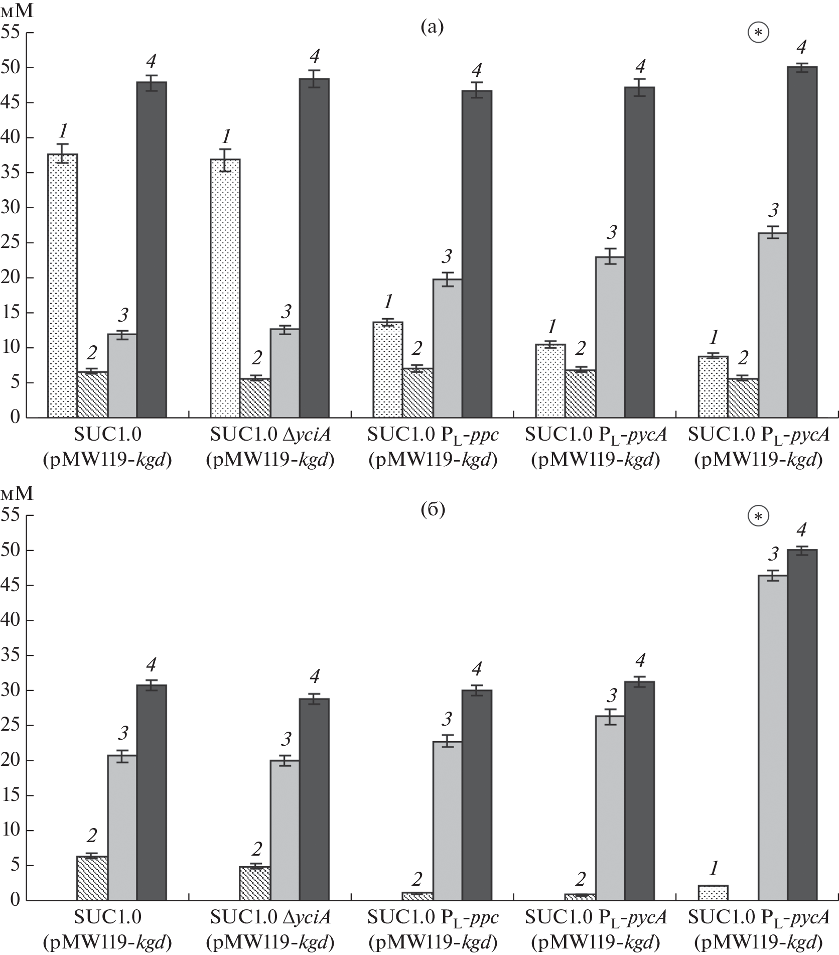
Оптимизирован биосинтез янтарной кислоты из глюкозы ранее сконструированным штаммом E. coli SUC1.0 (pMW119-kgd) (MG1655 ∆ackA-pta, ∆poxB, ∆ldhA, ∆adhE, ∆ptsG, PLglk, PtacgalP, ∆aceBAK, ∆glcB, ∆sdhAB, pMW119-kgd). Выход целевого вещества повышен при активации в штамме варианта цикла трикарбоновых кислот, опосредованного действием гетерологичной 2-кетоглутарат-декарбоксилазы, за счет интенсификации анаплеротического формирования щавелевоуксусной кислоты. Инактивация в штамме неспецифичной тиоэстеразы YciA не оказывала значимого влияния на биосинтетические характеристики продуцента. Повышение экспрессии нативной фосфоенолпируваткарбоксилазы обеспечивало рост выхода целевого соединения рекомбинантом, синтезирующим янтарную кислоту в реакциях природного цикла трикарбоновых кислот, с 25 до 42%, и с 67 до 75% при индуцированной экспрессии 2-кетоглутарат-декарбоксилазы Mycobacterium tuberculosis. Экспрессия в штамме гена пируваткарбоксилазы Bacillus subtilis приводила к росту выхода янтарной кислоты до 84%. Функционируя в режиме полноклеточного биокатализатора, сконструированный штамм SUC1.0 PL-pycA (pMW119-kgd) демонстрировал коэффициент конверсии субстрата в целевой продукт, достигающий 93%, приближающийся к теоретическому максимуму.
Об авторах
А. Ю. Скороходова
Федеральный исследовательский центр “Фундаментальные основы биотехнологии”Российской академии наук
Автор, ответственный за переписку.
Email: sasha.skorokhodova@gmail.com
Россия, 117312, Москва
А. Ю. Гулевич
Федеральный исследовательский центр “Фундаментальные основы биотехнологии”Российской академии наук
Email: sasha.skorokhodova@gmail.com
Россия, 117312, Москва
В. Г. Дебабов
Федеральный исследовательский центр “Фундаментальные основы биотехнологии”Российской академии наук
Email: sasha.skorokhodova@gmail.com
Россия, 117312, Москва
Список литературы
- Mazzoli R. // Fermentation. 2021 V. 7. № 4. 248. https://doi.org/10.3390/fermentation7040248
- Escanciano I.A., Wojtusik M., Esteban J., Ladero M., Santos V.E. // Fermentation. 2022. V. 8. № 8. 368. https://doi.org/10.3390/fermentation8080368
- Guettler M.V., Rumler D., Jain M.K. // Int. J. Syst. Bacteriol. 1999. V. 49. P. 207–216.
- Nghiem N.P., Davison B.H., Suttle B.E., Richardson G.R. // Appl. Biochem. Biotechnol. 1997. V. 63–65. P. 565–576.
- Lee P.C., Lee S.Y., Hong S.H., Chang H.N. // Appl. Microbiol. Biotechnol. 2002. V. 58. № 5. P. 663–668.
- Liu X., Zhao G., Sun S., Fan C., Feng X.m, Xiong P. // Front. Bioeng. Biotechnol. 2022. V. 10. 843887. https://doi.org/10.3389/fbioe.2022.843887
- Скороходова А.Ю., Гулевич А.Ю., Моржакова А.А., Шакулов Р.С., Дебабов В.Г. // Биотехнология. 2012. № 2. С. 8–20.
- Skorokhodova A.Y., Morzhakova A.A., Gulevich A.Y., Debabov VG. // J. Biotechnol. 2015. V. 214. P. 33–42.
- Lin H., Bennett G.N., San K.Y. // Metab. Eng. 2005. V. 7. № 2. P. 116–127.
- Park S.J., Chao G., Gunsalus R.P. // J. Bacteriol. 1997. V. 179. № 13. P. 4138–4142.
- Скороходова А.Ю., Стасенко А.А., Гулевич А.Ю., Дебабов В.Г. // Прикл. биохимия и микробиология. 2018. Т. 54. № 3. С. 244–252.
- Skorokhodova A.Y., Gulevich A.Y., Debabov V.G. // Biotechnol. Rep. 2022. V. 33. e00703.https://doi.org/10.1016/j.btre.2022.e00703
- Skorokhodova A.Y., Stasenko A.A., Krasilnikova N.V., Gulevich A.Y., Debabov V.G. // Fermentation. 2022. V. 8. № 12. 738.https://doi.org/10.3390/fermentation8120738
- Tian J., Bryk R., Itoh M., Suematsu M., Nathan C. // Proc. Natl. Acad. Sci. USA. 2005. V. 102. № 30. P. 10670–10675.
- Zhang S., Bryant D.A. // Science. 2011. V. 334. № 6062. P. 1551–1553.
- Sambrook J., Fritsch E., Maniatis T. // Molecular Cloning: a Laboratory Manual, 2nd Ed., N.Y.: Cold Spring Harbor Lab. Press, 1989. 1659 p.
- Datsenko K.A., Wanner B.L. // Proc. Natl. Acad. Sci. USA. 2000. V. 97. № 12. P. 6640–6645.
- Каташкина Ж.И., Скороходова А.Ю., Зименков Д.В., Гулевич А.Ю., Минаева Н.И., Дорошенко В.Г., Бирюкова И.В., Машко С.В. // Молекулярная биология. 2005. Т. 39. № 5. С. 823–831.
- Гулевич А.Ю., Скороходова А.Ю., Дебабов В.Г. // Прикл. биохимия и микробиология. 2021. Т. 57. № 2. С. 117–126.
- Гулевич А.Ю., Скороходова А.Ю., Ермишев В.Ю., Крылов А.А., Минаева Н.И., Полонская З.М., Зименков Д.В., Бирюкова И.В., Машко С.В. // Молекулярная биология. 2009. Т. 43. № 3. С. 547–557.
- Гулевич А.Ю., Сконечный М.С., Сухоженко А.В., Скороходова А.Ю., Дебабов В.Г. // Биотехнология. 2015. № 2. С. 46–54.
- Clomburg J.M., Vick J.E., Blankschien M.D., Rodríguez-Moyá M., Gonzalez R. // ACS Synth. Biol. 2012. V. 1. P. 541–554.
- Jitrapakdee S., St. Maurice M., Rayment I., Cleland W.W., Wallace J.C., Attwood P.V. // Biochem. J. 2008. V. 413. № 3. P. 369–387.
- Скороходова А.Ю., Гулевич А.Ю., Дебабов В.Г. // Биотехнология. 2018. Т. 34. № 2. С. 18–25.
- Chang D.E., Shin S., Rhee J.S., Pan J.G. // J. Bacteriol. 1999. V. 181. № 21. P. 6656–6663.
- Burgard A., Burk M.J., Osterhout R., Van Dien S., Yim H. // Curr. Opin. Biotechnol. 2016. V. 42. P. 118–125.
- Seol W., Shatkin A.J. // J. Biol. Chem. 1992. V. 267. № 9. P. 6409–6413.
Дополнительные файлы




