Metabolic Potential of Serratia sp. 22S for Chlorpheoxyacetic Acids Conversion
- Autores: Zharikova N.V.1, Zhurenko E.I.1, Korobov V.V.1, Anisimova L.G.2, Aktuganov G.E.1
-
Afiliações:
- Ufa Institute of Biology, Ufa Federal Research Center, Russian Academy of Sciences
- Research Technological Institute of Herbicides and Plant Growth Regulators with Pilot Production Academy of Sciences of Republic of Bashkortostan
- Edição: Volume 60, Nº 1 (2024)
- Páginas: 48-58
- Seção: Articles
- URL: https://journal-vniispk.ru/0555-1099/article/view/259761
- DOI: https://doi.org/10.31857/S0555109924010059
- EDN: https://elibrary.ru/HCSHTO
- ID: 259761
Citar
Texto integral
Resumo
A bacterial strain 22S belonging to the genus Serratia was isolated from soil samples contaminated with chemical production wastes. The strain was found to be non-pathogenic based on the study of its virulence, toxicity, infectivity and invasiveness. In batch culture, Serratia sp. 22S was able to separately utilize chlorophenoxyacetic acids (100 mg/L) as the sole source of carbon and energy. The catabolism pathway for chlorophenoxyacetic acids were suggested through complete reductive dechlorination of the substrate followed by meta-cleavage of the aromatic ring of catechol based on the compounds found in the culture medium (2,4-dichloro-6-methylphenoxyacetic, phenoxyacetic, and 2-hydroxy-2-hexenedioic acids). Intact cells experiments confirmed this assumption. In model systems, good adaptability and survival of the 22S strain in the soil was revealed, and the content of chlorophenoxyacetic acids up to a certain concentrations had a positive effect on the growth of the strain, most likely due to its selective effect.
Texto integral
2,4-Дихлорфеноксиуксусная (2,4-Д) и 2,4,5-трихлорфеноксиуксусная (2,4,5-Т) кислоты представляют собой синтетические ауксины, соли и эфиры которых с 1940 гг. широко применялись в сельском хозяйстве как гербициды для борьбы с широколиственными сорняками, а также в качестве регулятора роста растений. Кроме того, они использовались как дефолианты во время чрезвычайного положения в Малайзии в 1948‒1960 гг. и во время вьетнамской войны 1961‒1971 гг. Однако в 1980 гг. 2,4,5-T была запрещена во всем мире вследствие ее токсичности для животных [1].
Оба гербицида являются загрязнителями подземных вод, поскольку, с одной стороны, они хорошо растворимы в воде, а с другой стороны, медленно разлагаются [2]. Биоремедиация загрязненных почв и подземных вод микроорганизмами в последние годы вызывает большой интерес, так как этот метод безопасен, относительно эффективен, экологичен и экономичен [3].
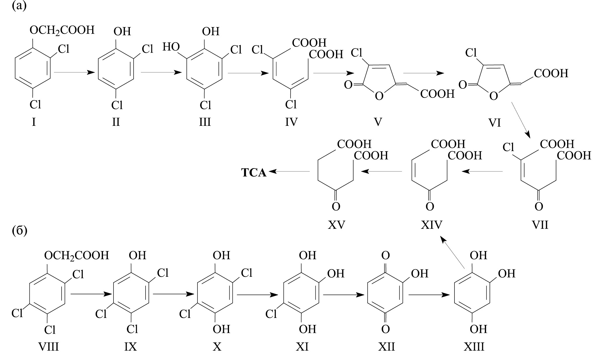
К настоящему времени известны бактериальные штаммы, способные утилизировать 2,4-Д в аэробных условиях, такие как Cupriavidus pinatubonensis (первоначально Alcaligenes eutrophus) JMP 134, Sphingomonas sp. TFD44, Achromobacter xylosoxidans subsp. denitrificans EST4002, Bradyrhizobium sp. HW13, Pseudomonas aeruginosa PAOlc и Halomonas sp. EF43 [4–10]. Вышеперечисленные штаммы в основном были изолированы из загрязненных гербицидами почв, а их характерной особенностью являлось наличие у них единого пути конверсии 2,4-Д через 3,5-дихлоркатехол с последующим расщеплением его ароматического кольца (рис. 1а).
Рис. 1. Пути аэробной деградации хлорированных феноксиуксусных кислот у бактерий: а — 2,4-Д штамма C. necator JMP134 [4], б — 2,4,5-Т штамма B. phenoliruptrix АС1100 [11, 12]: I — 2,4-Д; II — 2,4-дихлорфенол; III — 2,4-дихлоркатехол; IV — 2,4-дихлор-цис, цис-муконат; V — транс-2-хлордиенлактон; VI — цис-2-хлордиенлактон; VII — 2-хлормалеилуксусная кислота; VIII — 2,4,5-Т; IX — 2,4,5-трихлорфенол; X — 2,5-дихлоргидрохинон; XI — 5-хлоргидроксигидрохинон; XII — 2-гидрокси-1,4-бензохинон; XIII — гидроксигидрохинон; XIV — малеилуксусная кислота; XV — β-кетоадипат; TCA — цикл трикарбоновых кислот.
В отличие от разнообразия аэробных бактерий, разлагающих 2,4-Д, сообщалось лишь о нескольких подобных культурах, осуществляющих конверсию 2,4,5-T. Наиболее известны представители родов Burkholderia, Nocardioides, Sphingomonas и Bradyrhizobium. Все они способны использовать 2,4,5-T в качестве основного источника углерода и энергии [11–16]. Полный путь разложения 2,4,5-Т известен для штамма Burkholderia phenoliruptrix (первоначально Pseudomonas cepacia) АС1100 (рис. 1б), который протекает через центральный метаболит — 2,5-дихлоргидрохинон, и далее — с образованием гидроксигидрохинона с последующим орто-расщеплением его ароматического кольца [11, 12]. Вероятно некоторая «избыточность» этого пути является следствием его происхождения — культура была получена в лаборатории методом «плазмид-ассоциированного молекулярного бридинга» [17].
Также через гидроксигидрохинон с дальнейшим орто-расщеплением ароматического кольца происходит деструкция 2,4-Д и 2,4,5-Т у штамма Nocardioides simplex 3E, для которого выделены и изучены ключевые ферменты конверсии — гидроксигидрохинон- и 6-хлоргидроксигидрохинон-1,2-диоксигеназы, а также малеилацетатредуктаза [18].
Несмотря на многочисленные попытки усилить биодеградацию хлорфеноксиуксусных кислот путем биоаугментации почв штаммами-деструкторами, часто не происходит значимого увеличения разложения загрязняющих веществ по сравнению с таковым в незасеянной почве. Интродуцированные штаммы не всегда хорошо выживают в почвенной среде, несмотря на различные стрессы, в том числе конкуренцию с аборигенными микроорганизмами. Использование природных местных микроорганизмов, разлагающих 2,4-Д, является реальной стратегией биоремедиации загрязненных участков [19].
Цель этой работы — выявление метаболического потенциала конверсии 2,4-Д и 2,4,5-T у аборигенного бактериального штамма 22S, а также определение его таксономического положения, оценка безопасности его применения, адаптогенности и приживаемости в почве.
МЕТОДИКА
Объектом исследований был выбран природный бактериальный штамм, обозначенный нами 22S, изолированный из образцов почвы, загрязненной отходами химического производства (Уфа, Россия).
Морфометрические характеристики были изучены с помощью просвечивающей электронной микроскопии на микроскопе Н-300 (“Hitachi”, Япония) при увеличении 18000 (75 кВ).
Культуральные и физиолого-биохимические свойства изолята определяли согласно методическому руководству [20].
Геномную ДНК выделяли из бактерий методом Бирнбойма–Доли с модификациями [21]. Небольшое количество бактериальной биомассы — одна колония с чашки с агаризованной среды или 25 мкл осадка жидкой культуры — суспендировали в 100 мкл буфера I (50 мМ Трис-HCl, рН 8.0; 10 мМ ЭДТА; 50 мкг/мл панкреатической РНКазы) до получения однородной суспензии. Затем добавляли 125 мкл лизирующего буфера II (0.2 М NaOH; 1%-ный додецилсульфат натрия). Смесь обрабатывали ультразвуком на ультразвуковом дезинтеграторе УЗДН-2Т (Россия) на максимальной мощности 22 кГц в течение 2 мин при 4°C. Затем суспензию инкубировали при 65°C в течение 45 мин и охлаждали до комнатной температуры. После этого добавляли 125 мкл буфера III (2.5 мМ ацетат калия, рН 4.5), смесь встряхивали и центрифугировали 10 мин при 10000 g в миницентрифуге Eppendorff 5415C (“Eppendorff”, Германия). В супернатант добавляли 500 мкл смолы Wizard Maxi Preps (“Promega”, США) и продолжали экстракцию в соответствии с рекомендациями производителя. Концентрация полученного препарата ДНК при использовании этого метода составляла 30–50 мкг/мл.
Для проведения ПЦР и дальнейшего секвенирования ПЦР-фрагментов частичной последовательности гена 16S рРНК была использована универсальная праймерная система [22]. Амплификационная смесь (50 мкл) имела следующий состав: буфер для ДНК-полимеразы BioTaq (“БиоМастер”, Россия) 17 мМ (NH4)2SO4; 67 мМ трис-HCl, рН 8.8; 2 мМ MgCl2; по 12.5 нмоль каждого из dNTP, 50 нг ДНК-матрицы; по 5 пмоль соответствующих праймеров и 3 ед. ДНК-полимеразы BioTaq (“Диалат”, Россия). Температурно-временной профиль ПЦР: первый цикл — 9 мин при 94°C, 1 мин при 55°C, 2 мин при 72°C; последующие 30 циклов — 1 мин при 94°C, 1 мин при 55°C, 2 мин при 72°C; завершающий цикл — 7 мин при 72°C. Секвенирование полученных ПЦР-фрагментов генов проводили с помощью набора реактивов Big Dye Terminator v.3.1 (“Applied Biosystems”, США) на автоматическом секвенаторе ABI PRIZM 3730 (“Applied Biosystems”, США) согласно инструкциям производителя.
С использованием пакета программ BLAST проведен поиск гомологичных последовательности с опубликованными в базе данных GenBank, а с помощью CLUSTAL W и MEGA 5 произведено их множественное выравнивание и построение филогенетического дерева (рис. 2).
Рис. 2. Филогенетическое дерево 16S рРНК штамма 22S и гомологичных ему последовательностей типовых видов бактерий близких к роду Serratia, построенное методом “Neighbor-Joining”. Цифрами указана достоверность ветвления, рассчитанная с помощью “bootstrap”-анализа (значимыми признаются величины больше 50). Масштаб отражает эволюционное расстояние, соответствующее 5 нуклеотидным заменам на каждые 1000 нуклеотидов. В скобках указаны номера последовательностей в базе данных (GenBank).
Бактериальный штамм выращивали в конических колбах (250 мл) на минимальной солевой среде М9 [23], содержащей в качестве единственного источника углерода 2,4-Д/2,4,5-Т в концентрации 100 мг/л. Культивирование проводили при температуре 28°C в термостатируемой установке УВМТ-12–250 (“Элион”, Россия) при 120 об./мин. Интенсивность роста культуры оценивали по оптической плотности (OП590) клеточной суспензии с использованием фотоколориметра КФК-2 (“ЗОМЗ”, Россия).
Определение количества хлорфеноксиуксусных кислот в культуральной жидкости проводили согласно руководству [24] с небольшими модификациями, описанными ранее в статье Жариковой с соавт. [25].
Продукты метаболизма хлорфеноксиуксусных кислот определяли на хромато-масс-спектрометре NERMAG R-30-10 с хроматографом Carlo Erba MEGA 536010 (“Hewlett-Packard”, США), условия определения описаны в работе Жариковой с соавт. [25].
Интермедиаты идентифицировали с использованием системы обработки данных MS HP ChemStation, содержащей библиотеку из 138000 масс-спектров Base Date WILEY138L.
Изучение этапов промежуточного метаболизма хлорфеноксиуксусных кислот проводили в экспериментах с интактными клетками [26, 27]. Предварительное определение пути расщепления ароматического кольца выполняли качественными методами, в основе которых лежит желтое окрашивание среды инкубации при формировании полуальдегида гидроксимуконовой кислоты (мета-путь), либо положительная реакция Ротера (орта-путь).
Бактериальные клетки выращивали до конца экспоненциальной фазы на солевой среде М9, содержащей в качестве единственного источника углерода и энергии 2,4-Д или 2,4,5-Т в концентрации 100 мг/л. Затем клетки отделяли центрифугированием при 3630 g 20 мин, дважды промывали 50 мМ натрий-фосфатным буфером (рН 7.0) и суспендировали (1 г сырой биомассы) в том же буфере.
Далее выращенные на хлорфеноксикислотах интактные клетки суспендировали в 20 мл 50 мМ натрий-фосфатного буфера (рН 7.5) и инкубировали в течение 3 ч в присутствии 100 мМ катехола в темноте при 25°C. Контролем служила смесь без добавления интактных клеток.
Ферментативную активность катехол-1,2-диоксигеназы и катехол-2,3-диоксигеназы оценивали по изменению оптической плотности реакционной смеси на спектрофотометре СФ-46 (ООО “ЛОМО”, Россия) в кварцевых кюветах объемом 4 мл с длиной оптического пути 1см. Поглощение контрольной и опытной смеси до и после инкубации измеряли при длинах волн 260, 274 и 375 нм, соответствующих пикам поглощения муконовой кислоты, катехола и гидроксимуконового полуальдегида. Наличие активности диоксигеназ, расщепляющих ароматическое кольцо катехола, определяли по сдвигу пика поглощения катехола в более коротковолновую или, наоборот, в длинноволновую область спектра.
Оценка патогенности бактерий проводилась на основании изучения их вирулентности, токсичности, инфективности и инвазивности. Оценку средневирулентной дозы, то есть дозы, которая вызывает смертельный эффект у 50% подопытных животных, проводили путем однократного введения взвеси изучаемого штамма микроорганизма в дозах 107, 108 и 109 кл. на одно животное внутрибрюшинно. Для испытания каждой дозы использовали белых мышей по 6 животных в группе. Наблюдение за их выживаемостью проводили в течение 30 сут.
Для определения токсичности штамма 22S животным внутрибрюшинно вводили взвесь убитых клеток в физрастворе в дозе 109 кл./млпо бактериологическому стандарту. Фиксировали состояние животных в течение 48 ч. Контрольной группе белых мышей внутрибрюшинно вводили по 0.5 мл физраствора. Все животные содержались в условиях вивария.
В течение всего срока наблюдения за выживаемостью и общим состоянием животных отмечались клинические проявления воздействия микроорганизмов и поведенческие реакции мышей. Для определения диссеминации изучаемых микроорганизмов во внутренних органах у всех контрольных и зараженных животных выполняли посев крови и брали отпечатки легких, сердца, печени, селезенки, почек и кишечника на МПА в чашках Петри.
Для оценки приживаемости культуры 22S в модельном опыте с почвой использовали выщелоченный нестерильный чернозем, помещенный в стеклянные сосуды. Предварительно почву просеяли, перебрали, удалили корни и увлажнили до 60% стерильной дистиллированной водой.
В системе “почва–интродуцент–гербицид” использовали 2,4-Д и 2,4,5-Т в концентрациях, равных 100 ПДК, 1000 ПДК и 10000 ПДК (ПДК для почвы у 2,4-Д составляет 0.1 мг/см3, а у 2,4,5-Т — 0.15 мг/см3). Растворы 2,4-Д и 2,4,5-Т вносили в почву за 7–10 дней до внесения бактериальной культуры. Штамм предварительно выращивали на богатой жидкой среде и вносили в концентрации 3.4 × 107 кл./г почвы.
Контроль (чистая почва) и все варианты опыта проводили в трех повторностях.
РЕЗУЛЬТАТЫ И ИХ ОБСУЖДЕНИЕ
Грамотрицательные клетки штамма 22S представляли собой подвижные короткие палочки с перитрихиальным жгутикованием, размером 0.63 × 1.05 мкм.
На МПА изолят образовывал красноватые колонии, пигментация которых являлась варьирующим признаком, зависимым от условий культивирования и присутствия сахаров в среде. В УФ-лучах наблюдалась флуоресценция культуры. Оптимальный рост бактерий происходил в аэробных условиях в диапазоне 22–37°C и pH 7–8.
В качестве единственного источника углерода культура использовала мальтозу, маннит, сахарозу, цитрат и глюконат, но не L-арабинозу, лактозу, малонат, фенилаланин и мочевину. Клетки штамма оказались положительными по реакции Фогес–Проскауэра, каталазной и лизиндекарбоксилазной активности, восстанавливали нитрат. В то же время у бактерий не выявили орнитиндекарбоксилазу и аргининдигидролазу, способности к гидролизу желатина, а также отрицательной была проба с метиловым красным.
Для выделенного изолята была определена практически полная последовательность (1400 п. н.) амплификата гена, кодирующего 16S pРНК, которая была депонирована в международную базу данных GenBank под номером KY563745.
Сходство с исследуемой культурой показали бактерии рода Serratia, такие как Serratia marcescens DSM 30121T (уровень идентичности 98.5%), S. marcescens JCM11315T (уровень идентичности 98.4%), S. nematodiphila DZ0503SBS1T (уровень идентичности 98.4%), S. surfactantfaciens YD25T (уровень идентичности 98.3%) и S. ureilytica NiVa 51T (уровень идентичности 97.1%) (рис. 2).
Необходимо отметить, что S. marcescens DSM 30121T и S. marcescens JCM11315T ранее считались типовыми штаммами двух подвидов данного вида: marcescens и sakuensis соответственно. Первоначально на основании данных ДНК–ДНК-гибридизации и факта обнаружения спор в клетках культуры штамм KREDT= DSM 17174T был описан как подвид S. marcescens subsp. sakuensis [28]. Однако более поздние исследования показали, что штамм DSM 17174T не удовлетворял геномным критериям для определения подвида, и наличие спор в его клетках не было подтверждено. Таким образом, на основании исследования спорообразования и геномного анализа был сделан вывод, что S. marcescens subsp. sakuensis является более поздним гетеротипическим синонимом подвида S. marcescens subsp. marcescens [29, 30].
С типовым штаммом S. marcescens DSM 30121T исследуемая культура образует кластер с высоким уровнем достоверности — значение бутстреп анализа равно 96 и уровнем идентичности — 98.5%. Последний сопоставим по значению (98.4 и 98.3% соответственно) с уровнями идентичности штамма 22S и типовых штаммов двух других видов S. nematodiphila DZ0503SBS1T и S. surfactantfaciens YD25T.
Суммируя филогенетические и физиологическо-биохимические признаки, штамм 22S мы отнесли к роду Serratia и обозначили как штамм Serratia sp. 22S.
Поскольку известно, что бактерии рода Serratia могут вызывать оппортунистические инфекции у госпитализированных больных, была проведена оценка патогенности клеток штамма 22S на основании изучения его вирулентности, токсичности, инфективности и инвазивности.
Опыты на белых мышах показали, что изолят не обладал токсическими свойствами, а средневирулентную дозу установить не удалось (т. е. она превышает 109 кл./мл). Клинические проявления развития заболевания также не отмечались, а на вскрытии при визуальном осмотре патологических изменений внутренних органов не выявлено. В крови и внутренних органах опытных мышей исследуемого микроорганизма также не обнаружено.
На основании вышеизложенного следует, что изучаемый штамм не является патогенным.
В периодической культуре штамм Serratia sp. 22S был способен раздельно утилизировать хлорфеноксиуксусные кислоты в качестве единственного источника углерода и энергии (рис. 3).
Рис. 3. Зависимость ОП590 (1) культуральной жидкости и концентрации 2,4-Д (а, 2) и 2,4,5-Т (б, 2) от времени культивирования Serratia sp. 22S в периодической культуре:
При выращивании на 2,4-Д (рис. 3а) значение оптической плотности клеточной суспензии достигало максимальной величины (0.27 ОЕ) на 3 сут культивирования, при этом потребление субстрата составило 24% от исходного. Далее наблюдалось резкое снижение ОП клеточной суспензии и переход культуры в стадию отмирания. Остаточное количество субстрата на 12 сут культивирования составило 42 мг/л.
При использовании 2,4,5-Т максимальное значение ОП наблюдалось на 4 сут культивирования — 0.42, а количество субстрата снижалось за это время до 45 мг/л. К концу культивирования (на 11 сут) количество 2,4,5-Т уменьшалось на 72% от исходного и составило 28 мг/л.
Конверсия 2,4-Д как единственного источника углерода и энергии у бактериальных штаммов исследовалась в различных концентрациях от нескольких мг/л до г/л [18, 31, 32]. В то же время стоит отметить, что штаммов, способных к метаболизму 2,4,5-Т, изолировано значительно меньше. Один из них — Burkholderia phenoliruptrix АС1100 — в течение 6 сут утилизировал более 97% 2,4,5-T в концентрации 1 мг/мл [17]. Другой штамм, Nocardioides simplex 3E, был способен полностью конвертировать 2,4,5-T в концентрации 0.04 мМ [14]. Около 200 штаммов, изолированных из почв Вьетнама, оказались деструкторами 2,4,5-Т, их способность тестировалась на солевой среде, содержащей это соединение в концентрации 100 мг/л [13].
Таким образом, штамм Serratia sp. 22S активен в отношении вышеуказанных хлорфеноксиуксусных кислот, причем 2,4,5-Т по сравнению с 2,4-Д являлась более предпочтительным субстратом для данной культуры, несмотря на большее количество атомов хлора в молекуле.
Следует отметить, что штамм 22S также раздельно утилизировал фенол и 2,4-дихлорфенол в концентрации 100 мг/л, что было показано ранее в работе [33].
В среде культивирования штамма Serratia sp. 22S было определено присутствие трех соединений, вероятно являющихся интермедиатами пути деградации хлорфеноксиуксусных кислот (табл. 1).
Таблица 1. Масс-спектрометрический анализ метаболитов, образующихся в результате конверсии 2,4,5-Т штаммом Serracia sp. 22S
Интермедиат | Основные пики в масс-спектре m/z, % | Наименование |
М+ 264 (30), 233 (30), 19 (100), 175 (25), 147 (30), 87 (15), 59 (20) | 2,4-Дихлор-6-метилфеноксиуксусная кислота, метиловый эфир | |
М+ 166 (50), 107 (120), 77 (80) | Феноксиуксусная кислота, метиловый эфир | |
M+ 45 (100), 55 (20), 59 (8), 87 (5), 115 (6), 129 (20), 125 (2), 188 (0.1) | 2-Гидрокси-2-гексендионовая кислота, метиловый эфир |
Одной из ключевых стадий аэробной деградации хлорароматических соединений, в отличие от их незамещенных аналогов, является элиминация атома хлора из молекулы субстрата. По классическому пути деградации 2,4-Д, гены которого локализуются на плазмиде pJP4 штамма C. pinatubonensis JMP134, 2,4-Д через 2,4-дихлорфенол конвертируется до 3,5-дихлоркатехола, а затем происходит орто-разрыв его ароматического кольца с последовательной элиминацией двух атомов хлора [4]. Такой путь, когда хлор удаляется после раскрытия ароматического кольца, свойственен подавляющему большинству штаммов, выполняющих конверсию 2,4-Д.
Однако устранение галогена может происходить и перед разрывом ароматического кольца, что особенно характерно для конверсии полихлорированного субстрата. Аэробное разложение 2,4,5-Т штаммом B. phenoliruptrix AC1100 инициируется удалением остатка уксусной кислоты с образованием 2,4,5-трихлорфенола (2,4,5-ТХФ). Далее происходит замена первых двух атомов хлора на гидроксильные группы, а последний третий атом хлора элиминируется во время реакции восстановительного дехлорирования, в результате чего происходит образование 2-гидрокси-1,4-бензохинона [11, 12].
Штамм Nocardiodes simplex 3E помимо классической деградации 2,4,5-Т через образование 2,4,5-ТХФ, вероятно, имеет альтернативный вариант превращения первоначального субстрата, так как среди метаболитов пути были обнаружены 4-хлор- (4-ХФУК) и 2,4-дихлорфеноксиуксусная кислоты [14].
В пути деградации 2,4-Д у штамма Azotobacter chroococcum MSB-1 происходит трансформация первоначального субстрата до 4-ХФУК с элиминацией молекулы хлора и заменой ее на водород [34].
Необходимо отметить, что исследованные ранее штаммы Raoultella planticola 33–4ch, Raoultella planticola 36D, Raoultella planticola 36Т и Cellulosimicrobium sp. NPZ-121 также осуществляли восстановительное дехлорирование 2,4,5-Т с образованием 2,4-Д [35], 4-ХФУК и далее феноксиуксусной кислоты (ФУК) [25, 35].
Присутствие среди метаболитов катаболизма 2,4,5-Т у штамма 22S метильных производных 2,4-Д, а также ФУК, свидетельствовало о том, что культура осуществляла полное восстановительное дегалогенирование субстрата перед разрывом ароматического кольца.
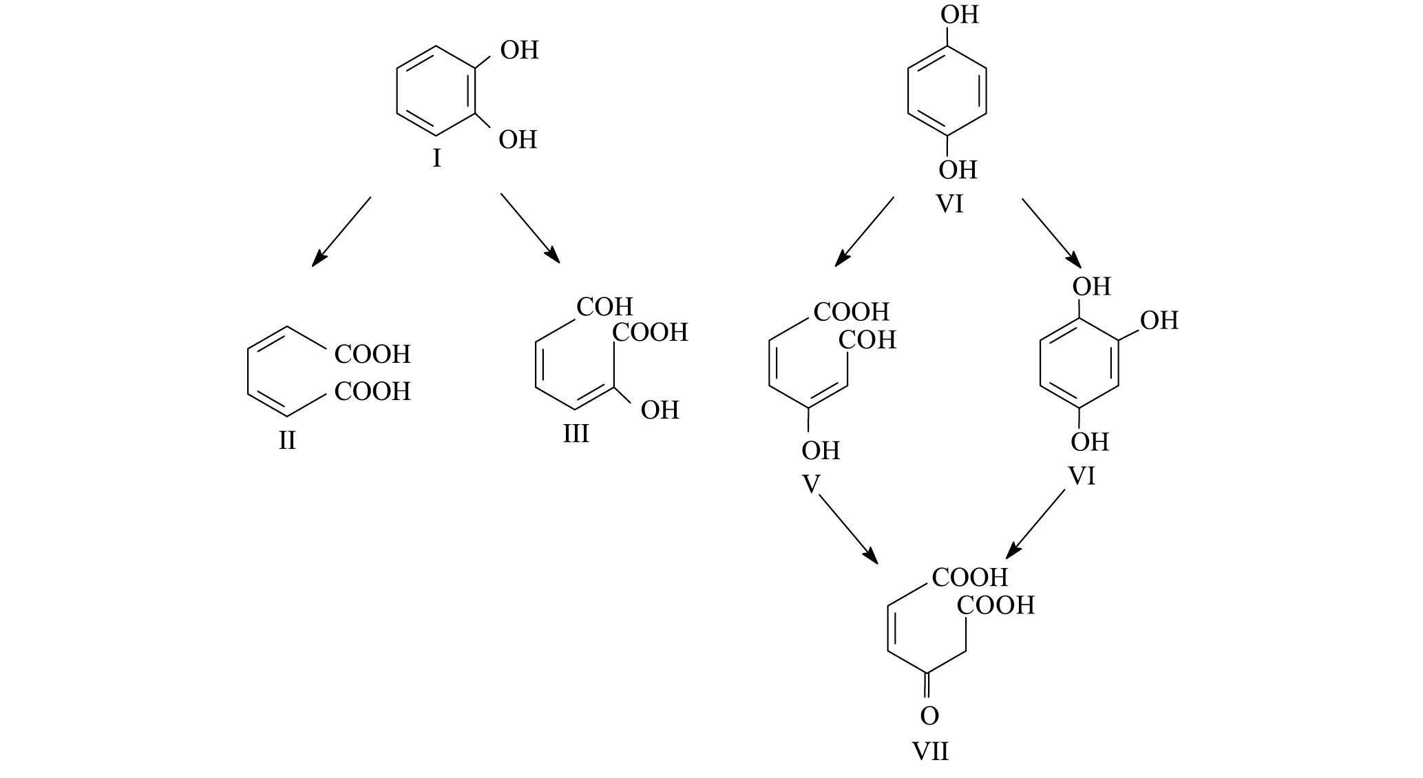
Второй ключевой стадией конверсии (хлор)ароматических соединений является расщепление ароматического кольца. Сначала в молекулу субстрата вводится один или два атома кислорода, в результате чего происходит формирование дигидроксильного бензольного кольца с образованием центрального метаболита пути — катехола, либо гидрохинона или их производных. Далее происходит непосредственное раскрытие ароматического кольца, которое катализируется диоксигеназами. Когда субстратом реакции является катехол, расщепление может происходить как между гидроксильными группами (орто-расщепление), так и по соседству с одним из гидроксилов (мета-расщепление, рис. 4) [36, 37].
Рис. 4. Основные пути аэробного расщепления ароматического кольца катехола (а) и гидрохинона (б) [35, 36]: I — катехол, II — муконовая кислота, III — 2-гидроксимуконовый полуальдегид, IV — гидрохинон, V — 4-гидроксимуконовый полуальдегид, VI — гидроксигидрохинон, VII — 4-малеилуксусная кислота.
Обнаруженное в среде культивирования штамма 22S соединение — 2-гидрокси-2-гексендионовая кислота, вероятно, является продуктом реакции расщепления ароматического кольца. Наличие гидроксильной группы при втором атоме углерода рядом с одной из карбоксильных групп интермедиата свидетельствовало о происходящем мета-раскрытии ароматического кольца катехола как вероятного центрального метаболита пути (рис. 4). При классическом мета-расщеплении катехола образуется 2-гидроксимуконовый полуальдегид, альдегидная группа которого затем может подвергнуться окислению с образованием соответствующей кислоты, как это видно в пути расщепления гидрохинона.
Необходимо отметить, что классическим путем деградации хлорароматических соединений у бактерий считается модифицированный орто-путь расщепления хлоркатехола, а мета-путь больше характерен для метаболизма метилароматических углеводородов [36].
Ранее в культуральных средах штаммов R. planticola 33–4ch, R. planticola 36D, R. planticola 36Т, а также Cellulosimicrobium sp. NPZ-121 было обнаружено соединение 2-кето-3-метилмуконовый полуальдегид, которое также является производным 2-гидроксимуконового полуальдегида [25, 35]. На основании сходных промежуточных метаболитов можно предположить существование единого для изучаемого штамма и вышеперечисленных деструкторов пути катаболизма хлорфеноксиуксусных кислот посредством полного восстановительного дехлорирования субстрата с последующим мета-разрывом ароматического кольца катехола.
Для проверки предположения о возможной роли катехола в качестве центрального метаболита пути деградации хлорфеноксиуксусных кислот у штамма Serratia sp. 22S был проведен опыт с бактериальными клетками, выращенными раздельно на 2,4-Д или 2,4,5-Т как единственных источниках углерода и энергии.
Инкубация интактных клеток в фосфатно-натриевом буфере, содержащем 100 мг/л катехола, с последующей спектрофотомерией показала, что по сравнению с контролем происходило смещение основного пика поглощения катехола (274.0 нм) в длинноволновую область спектра и появление нового пика при 375.0 нм. При этом среда инкубации окрашивалась в желто-оранжевый цвет, что указывало на формирование 2-гидроксимуконового полуальдегида, который образуется из катехола при мета-разрыве ароматического кольца. Следует отметить, что при формировании муконовой кислоты, продукта орто-разрыва ароматического кольца катехола, наблюдалось бы смещение максимума поглощения в коротковолновый участок спектра. Отрицательный результат реакции Ротера, которая детектирует превращение муконовой кислоты в β-кетоадипат, также показал отсутствие активности ферментов β-кетоадипатного пути.
Полученные результаты подтвердили предположение о том, что деградация 2,4-Д и 2,4,5-Т у штамма 22S идет единым путем через образование катехола с последующим мета-расщеплением его ароматического кольца.
Традиционное изучение бактерий-деструкторов на лабораторных питательных средах, важное для понимания различных аспектов их биологии, не объясняет поведения данных микроорганизмов в почвенных условиях. В связи с этим необходимым этапом исследований является изучение потенциальных интродуцентов в модельных экосистемах, позволяющее оценить их адаптагенность и приживаемость в составе почвенного микробиоценоза.
В модельных системах “почва–интродуцент” и “почва–интродуцент–гербицид” была изучена приживаемость штамма 22S в нестерильной почве, а также адаптагенность культуры к высоким концентрациям гербицидов 2,4-Д и 2,4,5-Т (рис. 5). Наличие маркера (способность к конверсии гербицидов) обеспечило возможность контроля за их развитием в почве путем высева почвенных суспензий на бедную агаризованную среду М9 с 2,4-Д/2,4,5-Т в качестве единственного источника энергии.
Рис. 5. Численность клеток штамма Serratia sp. 22S (КОЕ) в чистой (1) и загрязненной 2,4,5-Т (а) и 2,4-Д (б) почве при 100 ПДК (2), 1000 ПДК (3) и 10000 ПКД (4).
Анализ плотности популяции клеток штамма 22S в модельной системе “почва–интродуцент” показал, что численность штамма поддерживалась на достаточно высоком уровне — порядка 105 кл./г почвы на протяжении всего опыта (52 сут). При этом в начале опыта, по-видимому, происходила адаптация культуры к новым условиям, а после 9 сут титр штамма увеличился почти в 5 раз, а затем начал снижаться и к 27 сут стабилизировался на уровне 1.5–1.8 × 105 кл./г почвы и сохранялся таким до конца эксперимента.
В модельной системе “почва–интродуцент–гербицид” при содержании 2,4-Д в 100 ПДК с 9 по 37 сут наблюдался рост титра клеток более чем в 12 раз, затем происходило его снижение до уровня 3 × 105 кл./г почвы. В почвенных сосудах с концентрацией 2,4-Д в 1000 и 10000 ПДК не происходило увеличение титра клеток штамма, вероятно, такие высокие концентрации гербицида подавляли его рост.
При исследовании способности к адаптации и приживаемости штамма 22S при высоких концентрациях 2,4,5-Т наилучшие результаты наблюдались при использовании более высокой, чем для 2,4-Д, концентрации гербицида — 1000 ПДК, при этом титр штамма на 19 сут вырос до значения 1.3 × 107. Далее происходило снижение и стабилизация биомассы культуры до 9 × 105 кл./г почвы.
Проведенные эксперименты выявили хорошую адаптагенность и приживаемость штамма 22S в почве, причем содержание хлорфеноксиуксусных кислот до определенной концентрации (2,4-Д не выше 100 ПДК, а 2,4,5-Т не выше 1000 ПДК) оказывали положительное влияние на динамику роста культуры, вероятно в результате их селектирующего воздействия.
Полученные результаты показали, что природный штамм Serratia sp. 22S способен использовать в своем метаболизме (хлор)ароматические соединения, включая хлорфеноксиуксусные кислоты. На основании идентифицированных промежуточных метаболитов предложен единый путь конверсии хлорфеноксиуксусных кислот у штамма 22S посредством полного восстановительного дехлорирования субстрата с последующим мета-разрывом ароматического кольца катехола. Эксперимент с интактными клетками подтвердил наличие активности фермента мета-расщепления ароматического кольца катехола. Была показана безопасность применения изучаемой культуры для человека и животных, а также ее высокая адаптагенность и приживаемость в почве. Следовательно, штамм Serratia sp. 22S может быть перспективным для применения как агента ремедиации территорий, загрязненных хлорфеноксиуксусными кислотами.
При проведении исследований использовали оборудование ЦКП “Агидель” УФИЦ РАН.
ФИНАНСИРОВАНИЕ РАБОТЫ. Работа выполнена в рамках государственного задания Минобрнауки России по теме № 220131100163-4 “Межвидовые взаимодействия в микробных сообществах и растительно-микробных ассоциациях естественных и техногенных экосистем (генетические, биохимические и биотехнологические аспекты)”.
СОБЛЮДЕНИЕ ЭТИЧЕСКИХ СТАНДАРТОВ. Исследования на лабораторных мышах проводили в строгом соответствии с этическими нормами обращения с животными, принятыми Европейской конвенцией по защите позвоночных животных, используемых для исследовательских и иных научных целей (European Treaty Series, № 123).
КОНФЛИКТ ИНТЕРЕСОВ. Авторы заявляют об отсутствии конфликта интересов.
Sobre autores
N. Zharikova
Ufa Institute of Biology, Ufa Federal Research Center, Russian Academy of Sciences
Autor responsável pela correspondência
Email: puzzle111@yandex.ru
Rússia, Ufa, 450054
E. Zhurenko
Ufa Institute of Biology, Ufa Federal Research Center, Russian Academy of Sciences
Email: puzzle111@yandex.ru
Rússia, Ufa, 450054
V. Korobov
Ufa Institute of Biology, Ufa Federal Research Center, Russian Academy of Sciences
Email: puzzle111@yandex.ru
Rússia, Ufa, 450054
L. Anisimova
Research Technological Institute of Herbicides and Plant Growth Regulators with Pilot Production Academy of Sciences of Republic of Bashkortostan
Email: puzzle111@yandex.ru
Rússia, Ufa, 450029
G. Aktuganov
Ufa Institute of Biology, Ufa Federal Research Center, Russian Academy of Sciences
Email: puzzle111@yandex.ru
Rússia, Ufa, 450054
Bibliografia
- Nguyen T. L. A., Dao A. T.N., Dang H. T. C., Koekkoek J., Brouwer A. de Boer T. E., van Spanning R. J. M. // Biodegradation. 2022. V. 33. P. 301–316. https://doi.org/10.1007/s10532-022-09982-1
- Donald D. B., Cessna A. J., Sverko E., Glozier N. E. // Environ. Health Perspect. 2007. V. 115. № 8. P. 1183–1191. https://doi.org/10. 1289/ ehp. 9435
- Watanabe K. // Curr. Opin. Biotechnol. 2001. V. 12. № 3. P. 237–241. https://doi.org/10. 1016/ s0958-1669(00) 00205-6
- Don R. H., Weightman A. J., Knackmuss H.J, Timmis K. N. // J. Bacteriol. 1985. V. 161. P. 85–90.
- Fulthorpe R. R., McGowan C., Maltseva O. V., Holben W. E., Tiedje J. M. // Appl. Environ. Microbiol. 1995. V. 61. P. 3274–3281.
- McGowan C., Fulthorpe R., Wright A., Tiedje J. M. // Appl. Environ. Microbiol. 1998. V. 64. № 10. P. 4089–4092.
- Cavalca L., Hartmann A., Rouard N., Soulas G. // FEMS Microb. Ecol. 1999. V. 29. P. 45–58.
- Vallaeys T., Courde L., McGowan C., Wright A., Fulthorpe R. R. // FEMS Microb. Ecol. 1999. V. 28. P. 373–382.
- Sakai Y., Ogawa N., Fujii T., Sugahara.K., Miyashita K., Hasebe A. // Microbes Environ. 2007. V. 22. P. 145–156.
- Baelum J., Jacobsen C. S., Holben W. E. // Syst. Appl. Microbiol. 2010. V. 33. P. 67–70.
- Daubaras D. L., Saido K., Chakrabarty A. M. // Appl. Environ. Microbiol. 1996. V. 62. № 11. P. 4276–4279.
- Zaborina O., Daubaras D. L., Zago A., Xun L., Saido K., Klem T., Nikolic D., Chakrabarty A. M. // J. Bacteriol. 1998. V. 180. № 17. P. 4667–4675.
- Huong N. L., Itoh K., Suyama K. // Microbes Environ. 2007. V. 22. P. 243–256.
- Golovleva L. A., Pertsova R. N., Evtushenko L. I., Baskunov B. P. // Biodegradation. 1990. V. 1. № 4. P. 263–271.
- Rice J. F., Menn F.-M., Hay A. G., Sanseverino J., Sayler G. S. // Biodegradation. 2005. V. 16. P. 501–512. https://doi.org/10.1007/s10532-004-6186-8
- Hayashi S., Sano T., Suyama K., Itoh K. // Microbiol. Res. 2016. V. 188–189. P. 62–71. https://doi.org/10.1016/j.micres.2016.04.014
- Kilbane J. J., Chatterjee D. K., Karns J. S., Kellogg S. T., Chakrabarty A. M. // Appl. Environ. Microbiol. 1982. V. 44. № 1. P. 72–78.
- Соляникова И. П., Протопопова Я. Ю., Травкин В. М., Головлева Л. А. // Биохимия.1996. Т. 61. № 4. С. 635–642.
- Han L., Zhao D., Li C. // Braz. J. Microbiol. 2015. V. 46. № 2. P. 433–441. https://doi.org/10.1590/S1517-838246220140211
- Manual of Methods for General Bacteriology. / Ed. P. Gerhardt. Washington: American Society for Microbiology, 1981. 536 p.
- Birnboim H. C., Doly, J. // Nucleic Acids Res. 1979. V. 7. № . 6. P. 1513–1523.
- Lane D. J. 16S/23S Sequencing // Nucleic Acid Techniques in Bacterial Systematics. / Eds. E. Stackebrandt and M. Goodfellow. Chichester: John Wiley & Sons, 1991. P. 115–175.
- Маниатис Т., Фрич Э., Сэмбрук Дж. Методы генетической инженерии. Молекулярное клонирование. М.: Мир, 1984. 480 c.
- Методы определения микроколичеств пестицидов. / Ред. Клисенко М. А. М.: Медицина, 1984. 256 с.
- Zharikova N. V., Iasakov T. R., Zhurenko E. I., Korobov V. V., Markusheva T. V. // Appl. Biochem. Microbiol. 2021. Т. 57. № 3. P. 335–343. https://doi.org/10.1134/S0003683821030157
- Миронов А. Д., Крестьянинов В. Ю., Корженевич В. И. Евтушенко И. Я., Барковский А. Л. // Прикл. биохимия и микробиология. 1991. Т. 27. № 4. С. 571–576.
- Головлева Л. А., Перцова Р. Н. // Доклады Академии наук СССР. 1990. Т. 314. № 4. С. 981–983.
- Ajithkumar B., Ajithkumar V. P., Iriye R., Doi Y., Sakai T. // Int. J. Syst. Evol. Microbiol. 2003. V. 53. P. 253–258. https://doi.org/10.1099/ijs.0.02158-0
- Doijad. S., Chakraborty T. // Int. J. Syst. Evol. Microbiol. 2019. V. 69. P. 3924–3926.
- Cho G. S., Stein M., Brinks E., Rathje J., Lee W., Suh S. H., Franz C. M.A.P. // Syst. Appl. Microbiol. 2020. V. 43. https://doi.org/10.1016/j.syapm.2020.126055
- Zabaloy M. C., Gómez M. A. // Argentina Annals of Microbiology. 2014. V. 64. P. 969–974. https://doi.org/10.1007/s13213-013-0731-9
- Жарикова Н. В., Ясаков Т. Р., Журенко Е. Ю., Коробов В. В., Маркушева Т. В. // Успехи современной биологии. 2017. Т. 137. № 5. С. 514–528. https://doi.org/10.7868/S0042132417050076
- Коробов В. В., Маркушева Т. В., Кусова И. В., Журенко Е. Ю., Галкин Е. Г., Жарикова Н. В., Гафиятова Л. Р. // Биотехнология. 2006. № 2. С. 63–65.
- Balajee S., Mahadevan A. // Xenobiotica. 1990. V. 20. № 6. P. 607–617. https://doi.org/10.3109/00498259009046876
- Korobov V. V., Zhurenko E. Y., Galkin E. G., Zharikova N. V., Iasakov T. R., Starikov S. N., Sagitova A. I., Markusheva T. V. // Microbiology. 2018. Т. 87. № 1. С. 147–150. https://doi.org/10.1134/S0026261718010101
- Harwood C. S., Parals R. E. // Ann. Rev. Microbiol. 1996. V. 50. P. 553–590. https://doi.org/10.1146/annurev.micro.50.1.553
- Enguita F. J., Leitão A. L. // Biomed Res. Int. 2013. V. 2013. https://doi.org/10.1155/2013/542168
Arquivos suplementares










