O-Acetylhomoserine Sulfhydrylase as a Key Enzyme of Direct Sulfhydrylation in Microbial Methionine Biosynthesis
- Autores: Kulikova V.V.1, Morozova E.A.1, Lyfenko A.D.1, Koval V.S.1, Anufrieva N.V.1, Solyev P.N.1, Revtovich S.V.1
-
Afiliações:
- Engelhardt Institute of Molecular Biology, Russian Academy of Sciences
- Edição: Volume 60, Nº 3 (2024)
- Páginas: 221-233
- Seção: Articles
- URL: https://journal-vniispk.ru/0555-1099/article/view/271412
- DOI: https://doi.org/10.31857/S0555109924030017
- EDN: https://elibrary.ru/EXEKTZ
- ID: 271412
Citar
Texto integral
Resumo
Methionine biosynthesis in most microorganisms proceeds in two alternative ways. Each pathway is catalyzed by independent enzymes and is tightly regulated by methionine. The transulfurylation pathway involves the formation of a cystathionine, and cysteine acts as a source of sulfur. The enzymes of this metabolic pathway are characterized in detail. The direct sulfhydrylation pathway involves the synthesis of homocysteine with the participation of an inorganic sulfur source directly from O-acetylhomoserine and is predominant in most classes of bacteria. The subject of this review is the properties and functioning of one of the least studied enzymes of the direct sulfhydrylation pathway – O-acetylhomoserine sulfhydrylase. A deep understanding of the mechanisms controlling the substrate and reaction specificity of O-acetylhomoserine sulfhydrylase is a necessary step in the rational redesign of the enzyme in order to create a promising catalyst for the synthesis s of methionine and its derivatives, as well as, in combination with crystallographic data, for the development of new antimicrobial compounds based on effective enzyme inhibitors.
Texto integral
Метионин является незаменимой протеиногенной аминокислотой, уникальные функции которой заключаются в биосинтезе серосодержащих соединений, инициации трансляции [1]. Большинство микроорганизмов могут синтезировать метионин, в то время как животные, включая людей, зависят от внешних источников метионина [2]. Как основная серосодержащая аминокислота, метионин является предшественником всех других серосодержащих аминокислот и их производных, таких как гомоцистеин и глутатион [3]. Метионин является ключевым компонентом одноуглеродного метаболизма, а в форме своего производного S-аденозилметионина является метильным донором в эпигенетической регуляции и процессах детоксикации [4].
В современном обществе метионин стал массовым товаром в мировой экономике – ежегодно производится более 1 млн тонн метионина из нефти для обогащения кормов для скота, что является третьим показателем в мире после глутаминовой кислоты и лизина. Синтетическое производство способствует производству дешевого животного белка и оказывает прямое влияние на здоровье человека и экосистемы [5]. Однако 95% такого синтетически получаемого метионина образуется в виде D, L-смеси изомеров. Для решения проблемы рацемического синтеза перспективно изучение ферментов, участвующих в метаболизме метионина, для разработки биотехнологических методов синтеза метионина путём рационального редизайна ферментов и потенциального получения суперпродуцента [6].
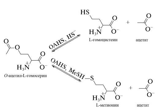
Метаболический путь биосинтеза метионина в бактериях наиболее подробно охарактеризован у Escherichia coli [7, 8]. В клетках E. coli предшественник метионина гомоцистеин синтезируется по пути транссульфурилирования из О-сукцинил-L-гомосерина в две стадии (рис. 1), катализируемые цистатионин γ-синтазой (CGS, КФ 2.5.1.48) и цистатионин β-лиазой (CBL, в настоящее время включена в КФ 4.4.1.13, цистеин-S-конъюгат β-лиаза). В большинстве классов бактерий, в отличие от E. coli, преобладающим является путь прямого сульфгидрилирования (рис. 1), либо используются оба пути [9], что обеспечивает метаболическую гибкость и адаптивность микроорганизмов. Функциональность обоих путей подробно исследована у таких бактерий как Pseudomonas aeruginosa [10], P. putida [11], Corynebacterium glutamicum [12–14], Leptospira meyeri [15, 16], Thermus thermophilus [17, 18], Streptococcus anginosus [19]. Анализ геномов выявил, что транссульфурилирование, как единственный путь биосинтеза метионина, присутствует в основном в протеобактериях [9].
Рис. 1. Биосинтез метионина в микроорганизмах.
О-ацетилгомосерин-аминокарбоксипропилтрансфераза катализирует прямое сульфгидрилирование О-ацетил-L-гомосерина (OAH). Предшествующее название – О-ацетилгомосерин(тиол)-лиаза – было основано на ее первоначальной классификации (КФ 4.2.99.10). Позднее Комиссия по ферментам определила его в класс трансфераз (КФ 2.5.1.49) [20]. В настоящее время общепринятыми названиями являются О-ацетилгомосерин-аминокарбоксипропилтрансфераза и О-ацетилгомосерин-сульфгидрилаза [21]. Микроорганизмы используют О-ацетилгомосерин-сульфгидрилазу (OAHS) для катализа образования предшественника L-метионина – L-гомоцистеина из О-ацетил-L-гомосерина и бисульфида или для прямого синтеза L-метионина с использованием метантиола (рис. 2). В некоторых микроорганизмах, например у Bacillus subtilis и E. coli, CGS может действовать как сульфгидрилаза с использованием в качестве субстрата как О-ацетилL-гомосерина, так и О-сукцинил-L-гомосерина [22, 23]. Данные о разнообразии бактериальных путей биосинтеза метионина важны для понимания жизнедеятельности и эволюции бактерий, а также могут быть использованы в микробной биотехнологии. За последние годы возросла активность исследований в области ферментативного получения аминокислот [6]. На сегодняшний день является актуальным получение L-метионина в промышленных масштабах методом ферментативного синтеза с применением ферментов, участвующих в метаболизме серы [24].
В настоящем обзоре собраны данные о каталитических свойствах OAHS из различных микробных источников, обсуждается механизм ферментативной реакции и роль отдельных аминокислотных остатков активного центра с учетом анализа имеющихся в международных базах кристаллографических структур фермента и данных мутагенеза.
КАТАЛИТИЧЕСКИЕ СВОЙСТВА
OAHS является пиридоксаль-5'-фосфат (ПЛФ)-зависимым ферментом, который катализирует реакцию γ-замещения О-ацетилL-гомосерина с использованием сульфидиона с образованием L-гомоцистеина и ацетата (рис. 2). Один из ферментов альтернативного пути транссульфурилирования, CGS, катализирует сходную реакцию γ-замещения, используя в качестве субстрата О-сукцинил-L-гомосерин или, в условиях отсутствия О-сукцинил-Lгомосерина, О-ацетил-L-гомосерин, и L-цистеин в качестве источника серы [25]. OAHS из большинства микробных источников являются строго специфичными к О-ацетил-L-гомосерину и не катализируют реакцию γ-замещения О-сукцинилL-гомосерина [26, 27], либо катализируют со скоростями, на несколько порядков ниже, чем скорость основной реакции [10, 18, 28]. Также фермент не может использовать в качестве источника серы L-цистеин [29]. Источник серы, используемый OAHS в процессе биосинтеза метионина, может отличаться у разных организмов. Например, у OAHS из Wolinella succinogenes источником серы является тиокарбоксилат белка, так что атом серы метионина включается OHSS с использованием белка-переносчика серы, а не сульфида, как это имеет место у других OAHS [30]. В качестве источника серы фермент может использовать так же меркаптоэтанол, метилмеркаптан, этилмеркаптан [26, 31, 32]. Кроме того, в реакции γ-замещения О-ацетил-L-гомосерина, катализируемой OAHS, в качестве присоединяемого нуклеофила может выступать азид, как в OAHS из C. glutamicum [33] или диселенид, как в ферменте из дрожжей [34]. В литературе имеются ограниченное количество данных о каталитических параметрах реакции γ-замещения О-ацетил-L-гомосерина, катализируемой OAHS из различных источников (табл. 1). Сродство к субстрату у разных ферментов варьируется в широком диапазоне в зависимости от микроорганизма (0.004–8.0 мМ). Кинетические параметры реакции (kкат и kкат/KM) были определены только для четырех очищенных ферментов, наибольшую скорость реакции проявлял фермент из термофильной бактерии Termotoga maritima (табл. 1), при этом эффективность катализа была в 1.6 раз выше у OAHS из Сlostridium difficile за счет меньшей величины Km. Ферменты из другой термофильной бактерии T. thermophilus также обладали высокой активностью (табл. 1). Сульфгидрилазная активность с О-ацетил-L-гомосерином и О-сукцинил-L-гомосерином была обнаружена в клеточных экстрактах P. putida и P. aeruginosa [10, 11]. Поскольку в данных бактериях присутствуют ферменты обоих путей биосинтеза метионина, активность с О-сукцинил-L-гомосерином может быть связана с наличием CGS, которая, как было отмечено выше, способна катализировать данную реакцию.
Рис. 2. Схема реакции γ-замещения, катализируемой OAHS.
Таблица 1. Кинетические параметры реакции γ-замещения О-ацетил-L-гомосерина, катализируемой OAHS из различных источников
Микроорганизм | Удельная активность*, мкмоль/мин мг | kкат, с–1 | KM, мM | kкат/KM, M–1 с–1 | Ссылка |
T. thermophilius HB8 oah1 | 49.8 (рН 7.8, 70°C) | н.о. | 6.8 | н.о. | [18] |
T. thermophilius HB8 oah2 | 67.7 (рН 7.8, 70°C) | н.о. | 2.0 | н.о. | [35] |
B. stearothermophilus CN3 | 17.2 (рН 7.5, 45°C) | н.о. | 1.9 | н.о. | [26] |
S. cerevisiae | 10.5 (рН 7.8, 30°C) | н.о. | 4.5 × 10–3 | н.о. | [36] |
N. crassa | 4.2 (рН 8.0, 30°C) | н.о. | 7.0 × 10–3 | н.о. | [40] |
Aspergillus nidulans | 4.4 (рН 8.0, 30°C) | н.о. | н.о. | н.о. | [31] |
L. meyeri | 15.0 (рН 7.5, 30°C) | н.о. | н.о. | н.о. | [15] |
C. glutamicum | 6.0 (рН 7.5, 30°C) | 28.0 | 6.4 | 4.4 × 103 | [41] |
T. maritima | 1521.0 (рН 7.0, 70°C) | 900.0 | 8.0 | 1.0 × 105 | [28] |
C. difficile | 50.0 (рН 7.5, 25°C) | 94.1 | 0.6 | 1.6 × 105 | [27] |
C. novyi | 0.9 (рН 7.5, 25°C) | 1.3 | 0.1 | 1.3 × 104 | [37] |
* Условия, при которых определяли активность, указаны в скобках; н. о. – не определяли.
Температурный оптимум OAHS из термофильных бактерий T. thermophilus и T. maritimа составил 70°C, B. stearothermophilus – 60°C [18, 26, 28, 35]. рН оптимум ферментов из различных источников находился в диапазоне 7.0–8.0 [18, 25, 28, 36–39].
МЕХАНИЗМ РЕАКЦИИ
ПЛФ-зависимые ферменты используют один и тот же кофактор для катализа различных реакций, поэтому промежуточные стадии катализа имеют много общего [42], при этом белковая матрица обеспечивает реакционную и субстратную специфичность этих ферментов. Механизмы, посредством которых ПЛФ-зависимые ферменты контролируют переходные состояния кофактора в процессе катализа, исследуются при помощи рентгеноструктурного анализа и сайт-направленного мутагенеза. Для ряда ПЛФ-зависимых ферментов, участвующих в биосинтезе L-метионина, были получены мутантные формы [23, 38, 43–45], исследование которых позволило сделать предположения о роли отдельных аминокислотных остатков в катализе. Анализ кинетических и спектральных свойств, а также имеющихся кристаллических структур ферментов и комплексов фермент-ингибитор позволяет сделать предположение о механизме реакций, катализируемых этими ферментами [42, 39, 46–50].
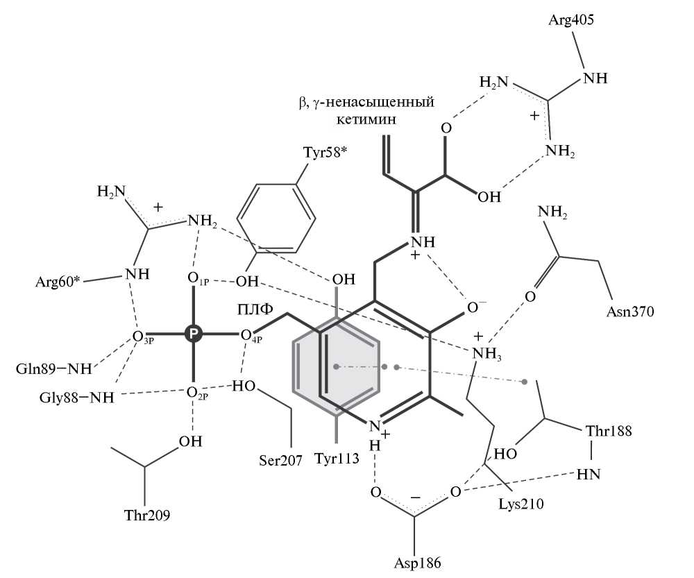
Предполагаемый механизм реакции γ-замещения, катализируемой OAHS, включает несколько стадий (рис. 4). В активном центре фермента ПЛФ, связанный с остатком лизина, образует внутренний альдимин (1). При связывании О-ацетил-L-гомосерина происходит образование внешнего альдимина (2). Последующий отрыв Сα-протона субстрата приводит к образованию хиноидного интермедиата (3), следствием протонирования С4′ˈ-атома кофактора является образование кетимина (4). Дальнейший отрыв Сβ-протона приводит к отщеплению ацетильной группы субстрата и образованию ключевого интермедиата ферментативной реакции – β,γ-ненасыщенного кетимина (6). Присоединение сульфид-иона к β,γ-ненасыщенному кетимину и последующий перенос протонов приводят к образованию второго хиноидного интермедиата (9), дальнейшее протонирование Сα-положения которого приводит к образованию внешнего альдимина (10) и высвобождению продукта реакции – гомоцистеина. Для протекания реакции необходимо участие каталитического основания фермента на стадии отрыва Cα- и Cβ-протонов субстрата и кислотный катализ на стадии элиминирования γ-заместителя. Для ряда ПЛФ-зависимых ферментов было сделано предположение, что каталитическим основанием является аминогруппа ПЛФ-связывающего остатка лизина [42]. Исследование мутантных форм OAHS из С. difficile c заменами остатков Y52 и Y107 на аланин и фенилаланин позволило сделать предположение, что Y107 может выполнять функцию общего кислотного катализатора на стадии элиминирования ацетата [45].
Рис. 3. Выравнивание аминокислотных последовательностей OAHS из Campylobacter jejuni (Cje; 4OC9), Mycobacterium marinum (Mma; B2HDS7), T. maritima (Tma; Q9WZY4), T. thermophilus (Tth1; Q5SK88 и Tth2; Q5SJ58), W. succinogenes (Wsu; Q7M9C8), Clostridium novyi (Cno; A0A5B8NEI4), Clostridium difficile (Cdi; A0A1L7H895), L. meyeri (Lme; P94890), M. tuberculosis (Mtu; L7N4M1), Saccharomyces cerevisiae (Sce; P06106). Консервативные остатки отмечены черным. Последовательности ферментов с известными 3D структурами отмечены вертикальной линией; треугольниками отмечены функциональные остатки активного центра.
Рис. 4. Предполагаемый механизм реакции γ-замещения, катализируемой OAHS.
ПРОСТРАНСТВЕННАЯ СТРУКТУРА И РОЛЬ ОТДЕЛЬНЫХ АМИНОКИСЛОТНЫХ ОСТАТКОВ
OAHS принадлежит к первому структурному классу ПЛФ-зависимых ферментов, подклассу CBL [42]. В настоящее время определены семь пространственных структур OAHS из пяти источников: T. thermophilus (pdb 2CTZ, 2CB1) [18], W. succinogenes (pdb 3RI6) [51], M. marinum (pdb 4KAM) [52], T. maritima (pdb 7KB0, 7KB1) [28] и C. jejuni (pdb 4OC9). Функциональной единицей фермента является димер (рис. 5), однако, как и многие ПЛФ-зависимые ферменты, OAHS существует в растворе в виде тетрамера или гексамера, что подтверждается как биохимическими, так и структурными данными [18, 27, 31, 36, 37, 51, 52]. Отдельный мономер представляет собой α/β белок, состоящий из 421–453 аминокислот, уложенных в 11–14 α-спиралей, несколько 310-спиралей и 11, 12 или 14 β-слоев (рис. 5). Мономер состоит из трех доменов, что характерно для всех ПЛФ-зависимых ферментов первого типа укладки, включая ферменты сульфурилирования, участвующие в биосинтезе метионина [42, 53]. Небольшой N-концевой домен состоит из двух α-спиралей, соединенных длинной петлей, способствует образованию тетрамера, а также совместно с аминокислотными остатками большого ПЛФ-связывающего домена соседней субъединицы формирует активный центр фермента. Большой ПЛФ-связывающий домен состоит из β-слоя, окруженного α-спиралями, и содержит большинство каталитических остатков активного центра (рис. 5, табл. 2), в том числе ковалентно связанный с ПЛФ остаток лизина, образующий внутренний альдимин. С-концевой домен содержит четырехслойную β-структуру, которая образует субстрат-связывающий карман в активном центре, закрытый α-спиралями. Активный центр OAHS, расположенный на границе раздела димеров, образован аминокислотными остатками обеих субъединиц, таким образом, молекула гомотетрамера содержит четыре активных центра (рис. 5).
Таблица 2. Роль остатков активного центра OAHS с известными 3D структурами
Функциональная роль | Микроорганизм* | |||||
Cje | Mma | Tma | Tth1 | Tth2 | Wsu | |
PDB код | ||||||
4OC9 | 4KAM | 7KB1 | 2CTZ | 2CB1 | 3RI6 | |
Образует водородную связь с фосфатной группой ПЛФ. Предположительно участвует в обеспечении оптимального положения каталитического кофермент-связывающего остатка лизина на стадиях элиминирования C-α-протона и боковой группы субстрата | Y53 | Y67 | Y58 | Y52 | Y50 | Y53 |
Образует водородную связь с фосфатной группой ПЛФ | R55 | R69 | R60 | R54 | R52 | R55 |
Взаимодействуют с фосфатной группой ПЛФ атомами азота главной цепи | G83 | G97 | G88 | G82 | G80 | G83 |
M84 | Q98 | Q89 | H83 | Q81 | M84 | |
Фенольное кольцо копланарно кольцу ПЛФ. Стабилизирует пиридиновое кольцо ПЛФ через π-стэкинговое взаимодействие. Увеличивает электронно-акцепторный характер кофактора | Y108 | Y122 | Y113 | Y107 | F105 | F108 |
Ориентирует положение Tyr108 (нумерация С. jejuni) в активном центре фермента | E151 | E166 | E157 | E151 | E147 | E151 |
Образует солевой мостик с N1H атомом ПЛФ. Играет ключевую роль в стабилизации положительного заряда атома пиридина N1, тем самым повышая электрофильный характер кофактора | D180 | D195 | D186 | D180 | D176 | D180 |
Ограничивает подвижность кольца ПЛФ (π-сигма взаимодействие с электронным кольцом кофактора). Азот амидной группы фиксирует положение боковой цепи Asp180 (нумерация С. jejuni), обеспечивая оптимальное расположение Asp180 для взаимодействия с N1H атомом пиридина | T182 | T197 | T188 | T182 | T178 | T182 |
π-алкил взаимодействие с гидрофобной частью кольца ПЛФ, ограничивает подвижность кольца кофактора | V183 | I198 | V189 | F183 | F179 | M183 |
Образуют водородные связи с фосфатной группой ПЛФ | S202 | S217 | S207 | S203 | S199 | S202 |
S204 | T219 | T209 | T205 | T201 | T204 | |
Образует внутренний альдимин с ПЛФ | K205 | K220 | K210 | K206 | K202 | K205 |
Участвует в обеспечении оптимального положения каталитического кофермент-связывающего остатка лизина на стадиях элиминирования C-α-протона и боковой группы субстрата | N367 | N379 | N370 | N366 | N355 | N352 |
Гуанидиновая группа аргинина взаимодействует с карбоксилатной группой субстрата | R402 | R414 | R405 | R401 | R390 | R387 |
* Cje – C. jejuni, Mma – M. marinum, Tma – T. maritima, Tth – T. thermophilus, Wsu – W. succinogenes.
Рис. 5. Тетрамерная организация OAHS на примере структуры фермента из T. thermophilus (pdb код 2ctz).
Пространственные укладки известных структур OAHS схожи как между собой (рис. 6а), так и с пространственными укладками других ферментов подкласса CBL (рис. 6б), однако отличаются от последних уникальным фрагментом, состоящим из примерно 30 аминокислотных остатков [54], следующих после последнего β–листа ПЛФ-связывающего домена.
Рис. 6. Наложение полипептидных цепей (а) пространственных структур OASH из разных микроорганизмов: C. jejuni OAHS (pdb код 4OC9) – темно-синий, M. marinum OASH (pdb код 4KAM) – голубой, T. maritima OASH (pdb код 7KB1) – пурпурный, T. thermophilus OASH (pdb код 2CTZ) – зеленый, T. thermophilus OASH (pdb код 2CB1) – темно-зеленый, W. succinogenes OASH (pdb код 3RI6) – оранжевый; (б) пространственных структур ферментов подкласса CBL: T. maritima OASH (pdb код 7KB1) – оранжевый, Citrobacter freundii метионин γ-лиаза МГЛ (pdb код 2RFV) – темно-синий, Arabidopsis thaliana CBL (pdb код 1IBJ) – голубой, Nicotiana tabacum CGS (pdb код 1I41) – зеленый, S. cerevisiae цистатионин γ-лиаза (pdb код 1N8P) – пурпурный. Овалом выделен уникальный фрагмент, характерный для фермента OASH.
Вымачивание кристаллов OAHS из Thermotoga maritima в растворе О-ацетил-L-гомосерина приводило к образованию стабильного промежуточного продукта в активном центре фермента (6 на рис. 4), то есть в отсутствие сульфид-иона реакция не могла дойти до завершения и протекала до стадии образования β, γ-ненасыщенного кетимина [28]. В пространственной структуре комплекса OAHS с О-ацетил-L-гомосерином карбоксилат этого промежуточного интермедиата образует солевой мостик с боковой группой остатка R405 (рис. 7), Cβ- и Cγ-атомы располагаются в относительно просторном кармане на расстоянии около 3 Å от боковых цепей остатков K210 и Y58*. Для OAHS из Сlostridioides difficile было сделано предположение, что гомологичный остаток Y52* обеспечивает оптимальное положение ПЛФ-связывающего остатка K205 на стадиях отрыва Сα-протона и ацетата [45]. В структурно похожем ферменте CGS в отсутствие второго субстрата (L-цистеина) β, γ-ненасыщенный кетимин таутомеризуется в винилглициновый хиноидный интермедиат и далее в α-аминокротонат с последующим его гидролизом до α-кетобутирата и аммиака [25, 38, 39]. Согласно биохимическим данным, полученным для OAHS из нескольких источников, фермент не катализирует побочную реакцию γ-элиминирования О-ацетил-L-гомосерина [26, 27, 37, 40], что подтверждается и кристаллографическими данными о наличии стабильного β,γ-ненасыщенного кетимина (6 на рис. 4) в комплексе фермента с субстратом [28]. Метионин γ-лиаза является структурным гомологом OAHS и также принадлежит к структурному подклассу CBL [42]. Для метионин γ-лиазы из Citrobacter freundii было показано, что остаток S339 необходим для эффективного катализа реакции γ-элиминирования [55]. Гомологичный остаток серина является консервативным для ферментов подкласса CBL, за исключением OAHS [54]. В последовательностях OAHS из различных источников положение остатка S339 занимают остатки аспарагина или гистидина, возможно, из-за отсутствия именно этого остатка OAHS может катализировать только реакцию γ-замещения.
Рис. 7. Схема взаимодействий α,β–ненасыщенного кетимина с аминокислотными остатками активного центра OAHS (нумерация T. maritima). Аминокислотные остатки соседнего мономера обозначены звёздочкой. Штриховыми линиями показаны водородные связи, штрих-пунктирными – π-взаимодействия.
Анализ пространственной структуры OAHS из T. maritima и CGS из Xanthomonas oryzae [56] позволил идентифицировать R270 активного центра как остаток, который препятствует связыванию О-сукцинил-L-гомосерина, а также обеспечивает строгую специфичность к бисульфиду в качестве второго субстрата за счет перекрывания доступа к активному центру более крупного субстрата – L-цистеина как источника серы [28]. Однако для OAHS с доказанной функцией и определенными пространственными структурами из T. thermophilus и W. succinogenes в данной позиции находятся S258 и Q254 соответственно (рис. 3).
ИНГИБИТОРЫ И СПЕКТРАЛЬНЫЕ СВОЙСТВА ФЕРМЕНТА
Транссульфурилирование и сульфгидрилирование регулируются метионином, ингибирующим ферменты обоих биосинтетических путей [57]. Ингибирование реакции γ-замещения OAH различными аминокислотами было исследовано для OAHS из С. difficile и C. novyi [27, 37]. Конечный продукт биосинтетического пути L-метионин оказался конкурентным ингибитором фермента с величиной Ki = 9 мM. Nγ-ацетил-L-2,4-диаминомасляная кислота, которая является структурным аналогом субстрата, может останавливать каталитическую реакцию на стадии образования енамина (5 на рис. 4) из-за отсутствия уходящей группы в γ-положении. Nγ-ацетил-L-2,4-диаминомасляная кислота обратимо ингибировала реакцию γ-замещения OAH с величиной Ki = 0.04 мM. Пропаргилглицин, являющийся суицидальным ингибитором пиридоксалевых ферментов, участвующих в метаболизме серосодержащих аминокислот (цистатионин γ-лиазы, CGS и CBL), приводил к полной необратимой инактивации OAHS из С. difficile [27]. Благодаря наличию ПЛФ в активном центре холофермент и его комплексы с аминокислотами обладают характерными спектрами поглощения, которые отражают состояние внутреннего альдимина и позволяют идентифицировать интермедиаты ферментативной реакции. Спектры поглощения OAHS из С. difficile и C. novyi при рН 7.5 в области 300–550 нм имеют вид, типичный для внутренних альдиминов ПЛФ-зависимых ферментов, с основной полосой в области 415 нм и минорной в области 320 нм (рис. 8). Фермент из T. thermophilus имел похожий спектр поглощения с максимумом при 425 нм [18].
Рис. 8. Спектры поглощения OAHS из C. difficile (а) и C. novyi (б) при рН 7.5.
В спектрах поглощения комплексов OAHS из C. difficile и C. novyi с L-метионином и Nγ-ацетил-L-2,4-диаминомасляной кислотой интенсивность полосы в области 420 нм уменьшалась, а поглощение в области 320–360 нм увеличивалось, что может быть связано с изменением ионного состояния внешних альдиминов и их таутомеризацией, а также с поглощением интермедиатов, имитирующих промежуточные продукты реакции (рис. 4).
Для фермента из T. thermophilus было показано, что L-метионин и D, L-пропаргилглицин также ингибировали реакцию γ-замещения с OAH [18, 35]. L-метионин являлся конкурентным ингибитором OAHS из S. cerevisiae (Ki = 0.9 мM) [36] и C. glutamicum [41]. Кроме того, O-ацетил-Lсерин (Ki = 21.8 мM), O-сукцинил-D, L-гомосерин (Ki = 19.0 мM) и L-гомосерин (Ki = 16.0 мM) ингибировали OAHS дрожжей по конкурентному типу [36].
ЭВОЛЮЦИЯ ПУТИ БИОСИНТЕЗА МЕТИОНИНА В МИКРООРГАНИЗМАХ
Поскольку в некоторых микроорганизмах присутствует бифункциональная CGS, которая может участвовать в пути прямого сульфгидрилирования, а также в присущем ей пути транссульфурилирования, возникает вопрос эволюционного обоснования выбора микроорганизмами различных путей биосинтеза метионина. Для выяснения этого были проведены тесты на комплементацию in vivo и филогенетический анализ ферментов, участвующих в биосинтезе метионина в микроорганизмах [58, 59]. Полученные данные, в комплексе с анализом субстратной специфичности, позволили сделать предположение, что общий предковый ген этих ферментов был способен действовать как сульфгидрилаза О-ацетил-L-гомосерина или О-сукцинил-L-гомосерина. У некоторых бактерий этот древний фермент, скорее всего, эволюционировал в CGS, тем самым сохранив способность использовать различные гомосеринэтерифицированные субстраты, а также различные источники серы, и, таким образом, сохранил мультисубстратную специфичность своего предка. В некоторых организмах этот предковый ген, вероятно, подвергся дупликации, в результате которой образовались отдельно CGS и сульфгидрилаза. Это привело к развитию двух параллельных путей получения метионина, транссульфурилированию и прямому сульфгидрилированию в этих организмах. Хотя оба пути существуют у нескольких организмов, большинство из них, по-видимому, используют один специфический путь биосинтеза метионина. Скорее всего, выбор микроорганизмами того или иного пути биосинтеза метионина связан с особенностями их внутреннего метаболизма и зависит от их естественной среды обитания.
ПРИМЕНЕНИЕ OAHS ДЛЯ СИНТЕЗА АМИНОКИСЛОТ И ИХ ПРОИЗВОДНЫХ
Метионин применяется главным образом при производстве современных комплексных кормов для сельского хозяйства. Выявлено положительное влияние метионина на показатели продуктивности в животноводстве [60, 61]. Кроме того, метионин используется в фармацевтике и спортивном питании [62]. Промышленное получение L-метионина путем микробиологической ферментации является затруднительным ввиду строгой клеточной регуляции его биосинтеза, поэтому он производится преимущественно синтетическим путем, в результате чего образуется рацемическая смесь D, L-метионина [63]. Во многих живых организмах может усваиваться только L-форма, и именно она используется для синтеза гормонов, ферментов и других белков. Биологически активный L-метионин может быть получен ферментативным синтезом с использованием биоконверсии предшественников [64].
К настоящему времени многочисленные протеиногенные аминокислоты и некоторые специальные аминокислоты, важные для фармацевтики, производятся путем ферментации [24, 65]. В связи с этим является актуальным получение аминокислот и их производных при помощи изолированных ферментов. Такие бактерии как E. coli, C. glutamicum широко используются в промышленности для микробного синтеза аминокислот. Ферментативный способ с применением определенных штаммов бактерий или дрожжей достаточно прост, но с другой стороны, микроорганизмы могут быть чувствительны к изменениям условий процесса, в частности pH, температуре.
В живых организмах ПЛФ-зависимые ферменты способны катализировать широкий спектр биохимических реакций с участием субстратов – аминокислот и их аналогов [66, 67]. По этой причине ПЛФ-зависимые ферменты вызывают интерес как инструмент в биотехнологии для производства ряда специфических аминокислот и их производных [68, 69]. Кроме того, тонкое регулирование метаболических путей, опосредуемых ПЛФ-зависимыми ферментами, является многообещающим подходом к продуцированию клетками неканонических аминокислот из простых источников углерода или предшественников [70]. Методами генной инженерии был создан метионин-штамм E. coli ауксотрофный по метионину, позволяющий получить L-азидогомоаланин из O-ацетил-L-гомосерина и азида натрия и включить его в рекомбинантные белки-мишени [33]. В данной системе путь биосинтеза метионина у E. coli сначала был перенаправлен в сторону получения желаемой неканонической аминокислоты, используя широкую субстратную специфичность рекомбинантной OAHS из C. glutamicum, а затем была достигнута экспрессия целевого белка барстар, которая сопровождалась эффективным включением L-азидогомоаланина вместо L-метионина [33].
В последние годы исследуются новые пути получения L-метионина с использованием свойств OAHS. Биосинтез метионина подробно исследовался в C. glutamicum с целью использования этой бактерии как промышленного продуцента. В результате были созданы новые штаммы с повышенным производством L-метионина и S-аденозил-L-метионина [24, 32, 63, 71–74]. Замена естественного пути транссульфурилирования в E. coli более распространенным путем прямого сульфгидрилирования, используемым другими бактериями, привела к увеличению по сравнению с штаммом дикого типа выработки L-метионина у ауксотрофного штамма E. coli (MG1655) [75]. Для получения такого метионинового штамма из генома кишечной палочки были удалены гены CGS и CBL и добавлен ген OAHS. OAHS дрожжей, полученная из рекомбинантного штамма E. coli BL-21, была использована для получения L-метионина из O-ацетил-L-гомосерина и 3-метилтиопропиональдегида in vitro [76]. Известны примеры улучшения каталитических свойств OAHS по сравнению с природным ферментом в реакции О-ацетил-L-гомосерина с метилмеркаптаном [77]. С целью получения эффективного продуцента L-метионина была получена мутантная форма OAHS из Rhodobacter sphaeroides при помощи сайт-направленного мутагенеза: ген OAHS из R. sphaeroides c заменами трех аминокислотных остатков был клонирован в клетках E. coli K-12. В результате активность мутантной формы с заменами I3N, F65Y и V104A оказалась в 1.75 раз выше по сравнению с ферментом дикого типа [77].
Таким образом, представленные в настоящем обзоре данные позволяют рассматривать OAHS как перспективный объект для использования ее в ферментативном синтезе L-метионина, других аминокислот, а также их производных.
Sobre autores
V. Kulikova
Engelhardt Institute of Molecular Biology, Russian Academy of Sciences
Autor responsável pela correspondência
Email: vitviku@yandex.ru
Rússia, Moscow
E. Morozova
Engelhardt Institute of Molecular Biology, Russian Academy of Sciences
Email: vitviku@yandex.ru
Rússia, Moscow
A. Lyfenko
Engelhardt Institute of Molecular Biology, Russian Academy of Sciences
Email: vitviku@yandex.ru
Rússia, Moscow
V. Koval
Engelhardt Institute of Molecular Biology, Russian Academy of Sciences
Email: vitviku@yandex.ru
Rússia, Moscow
N. Anufrieva
Engelhardt Institute of Molecular Biology, Russian Academy of Sciences
Email: vitviku@yandex.ru
Rússia, Moscow
P. Solyev
Engelhardt Institute of Molecular Biology, Russian Academy of Sciences
Email: vitviku@yandex.ru
Rússia, Moscow
S. Revtovich
Engelhardt Institute of Molecular Biology, Russian Academy of Sciences
Email: vitviku@yandex.ru
Rússia, Moscow
Bibliografia
- Cavuoto P., Fenech M.F. // Cancer Treat. Rev. 2012. V. 38. P. 726–736.
- Finkelstein J.D. // J. Nutr. Biochem. 1990. V. 1. P. 228–237.
- Stipanuk M.H. // Annu. Rev. Nutr. 2004. V. 24. P. 539–577.
- Locasale J.W. // Nat. Rev. Cancer. 2013. V. 13. P. 572–583.
- Neubauer C., Landecker H. // Lancet Planet Health. 2021. V. 5. P. 560–569.
- François J.M. // Biotechnol. Adv. 2023. V. 19. P. 108259. https://doi.org/10.1016/j.biotechadv.2023.108259
- Born T.L., Blanchard J.S. // Biochemistry. 1999. V. 38. P. 14416–14423.
- Clausen T., Huber R., Laber B., Pohlenz H.D., Messerschmidt A. // J. Mol. Biol. 1996.V. 262. P. 202–224.
- Ferla M.P., Patrick W.M. // Microbiology. 2014. V. 160. P. 1571–1584.
- Foglino M., Borne F., Bally M., Ball G., Patte J. // Microbiology. 1995. V. 141. P. 431–439.
- Vermeij P., Kertesz M.A. // J. Bacteriol. 1999. V. 181. P. 5833–5837.
- Hwang B.J., Kim Y., Kim H.B., Hwang H.J., Kim J.H., Lee H.S. // Mol. Cells. 1999. V. 9. P. 300–308.
- Hwang B.J., Yeom H.J., Kim Y., Lee H.S. // J. Bacteriol. 2002. V. 184. P. 1277–1286.
- Lee H., Hwang B. // Appl. Microbiol. Biotechnol. 2003. V. 62. P. 459–467.
- Belfaiza J., Martel A., Margarita D., Saint Girons I. // J. Bacteriol. 1998. V. 180. P. 250–255.
- Picardeau M., Bauby H., Saint Girons I. // FEMS Microbiol. Lett. 2003. V. 225. P. 257–262.
- Yamagata S., Ichioka K., Goto K., Mizuno Y., Iwama T. // J. Bacteriol. 2001. V. 183. P. 2086–2092.
- Shimizu H., Yamagata S., Masui R., Inoue Y., Shibata T., Yokoyama S. et al. // Biochim. Biophys. Acta. 2001. V. 1549. P. 61–72.
- Yoshida Y., Negishi M., Nakano Y. // FEMS Microbiol. Lett. 2003. V. 221. P. 277–284.
- Bairoch A. // Nucleic Acids Res. 2000. V. 28. P. 304–305.
- UniProt Consortium // Nucleic Acids Res. 2023. V. 51 (D1). D523–D531.
- Auger S., Yuen W.H., Danchin A., Martin-Verstraete I. // Microbiology. 2002. V. 148. P. 507–518.
- Farsi A., Lodha P.H., Skanes J.E., Los H., Kalidindi N., Aitken S.M. // Biochem. Cell Biol. 2009. V. 87. P. 445–457.
- Shim J., Shin Y., Lee I., Kim S.Y. // Adv. Biochem. Eng. Biotechnol. 2017. V. 159. P. 153–177.
- Aitken S.M., Kim D.H., Kirsch J.F. // Biochemistry. 2003. V. 42. P. 11297–11306.
- Omura H., Ikemoto M., Kobayashi M., Shimizu S., Yoshida T., Nagasawa T. // J. Biosci. Bioeng. 2003. V. 96. P. 53–58.
- Kulikova V.V., Revtovich S.V., Bazhulina N.P., Anufrieva N.V., Kotlov M.I., Koval V.S. et al. // IUBMB Life. 2019. V. 71. P. 1815–1823.
- Brewster J.L., Pachl P., McKellar J.L., Selmer M., Squire C.J., Patrick W.M. // J. Biol. Chem. 2021. V. 296. P. 100797.
- Ferla M.P., Brewster J.L., Hall K.R., Evans G.B., Patrick W.M. // Mol. Microbiol. 2017. V. 105. P. 508–524.
- Krishnamoorthy K., Begley T.P. // J. Am. Chem. Soc. 2011. V.133. P. 379–386.
- Brzywczy J., Yamagata S., Paszewski A. // Acta Biochim. Pol. 1993. V. 40. P. 421–428.
- Bolten C.J., Schröder H., Dickschat J., Wittmann C.J. // Microbiol. Biotechnol. 2010. V. 20. P. 1196–1203.
- Ma Y., Biava H., Contestabile R., Budisa N., di Salvo M.L. // Molecules. 2014. V. 19. P. 1004–1022.
- Dauplais M., Bierla K., Maizeray C., Lestini R., Lobinski R., Pierre Plateau P. et al. // Int. J. Mol. Sci. 2021. V. 22: 2241. https://doi.org/10.3390/ijms22052241.
- Iwama T., Hosokawa H., Lin W., Shimizu H., Kawai K., Yamagata S. // Biosci. Biotechnol. Biochem. 2004. V. 68. P. 1357–1361.
- Yamagata S. // J. Biochem. 1971. V. 70. P. 1035–1045.
- Kulikova V.V., Anufrieva N.V., Kotlov M.I., Morozova E.A., Koval V.S., Belyi Y.F. et al. // Protein Expr. Purif. 2021. V. 180. P. 105810.
- Aitken S.M., Kirsch J.F. // Arch. Biochem. Biophys. 2005. V. 433. P. 166–175.
- Brzovic P., Holbrook E.L., Greene R.C., Dunn M. // Biochemistry. 1990. V. 29. P. 442–451.
- Kerr D.S. // J. Biol. Chem. 1971. V. 246. P. 95–102.
- Hwang B.J., Park S.D, Kim Y., Kim P., Lee H.S. // J. Microbiol. Biotechnol. 2007. V. 17. P. 1010–1017.
- Messerschmidt A., Worbs M., Steegborn C., Wahl M. C., Huber R., Laber B., Clausen T. // Biol. Chem. 2003. V. 384. P. 373–386.
- Aitken S.M., Lodha P.H., Morneau, D.J.K. // Biochim. Biophys. Acta. 2011. V. 814. P. 1511–1517.
- Lodha P.H., Jaworski A.F., Aitken S.M. // Protein Sci. 2010. V. 19. P. 383–391.
- Куликова В.В., Ревтович C.В., Лыфенко А.Д., Морозова Е.А., Коваль В.С., Бажулина Н.П. и др. // Биохимия. 2023. T. 88. C. 737–747.
- Clausen T., Huber R., Laber B., Pohlenz H.-D., Messerschmidt A. // J. Mol. Biol. 1996. V. 262. P. 202–224.
- Clausen T., Huber R., Messerschmidt A., Pohlenz H.D., Laber B. // Biochemistry. 1997. V. 36. P. 12633–12643.
- Clausen T., Huber R., Prade L., Wahl M.C., Messerschmidt A. // EMBO J. 1998. V. 23. P. 6827–6838.
- Steegborn C., Messerschmidt A., Laber B., Streber W., Huber R., Clausen T. // J. Mol. Biol. 1999. V. 290. P. 983–996.
- Breitinger U., Clausen T., Ehlert S., Huber R., Laber B., Schmidt F. et al. // Plant Physiol. 2001. V. 126. P. 631–642.
- Tran T.., Krishnamoorthy K., Begley T.P., Ealick S.E. // ActaCryst. 2011. V. D67. P. 831–838.
- Baugh L., Phan I., Begley D.W., Clifton M.C., Armour B. et al. // Tuberculosis (Edinb). 2015. V. 95. P. 142–148.
- Wahl M.C., Huber R., Prade L., Marinkovic S., Messerschmidt A., Clausen T. // FEBS Lett. 1997. V. 414. P. 492–496.
- Ревтович С.В., Морозова Е.А., Ануфриева Н.В., Котлов М.И., Белый Ю.Ф., Демидкина Т.В. // Докл. АН. 2012. Т. 445. № 2. С. 214–220.
- Ануфриева Н.В., Морозова Е.А., Ревтович С.В., Бажулина Н.П., Тимофеев В.П., Ткачев Я.В. и др. // Acta Naturae. 2022. T. 14. C. 4–15.
- Ngo H.-P.-T., Kim J.-K., Kim S.-H., Pham T.-V., Tran T.-H., Nguyen D.-D., Kim J.-G., Chung S., Ahn Y.-J., Kang L.-W. // Acta Crystallogr. Sect. F. 2012. V. 68. P. 1515–1517.
- Mondal S., Das Y.B., Chatterjee S.P. // Folia Microbiol (Praha). 1996. V. 41. P. 465–472.
- Hacham Y., Gophna, U., Amir, R. // Mol. Biol. Evol. 2003. V. 20. P. 1513–1520.
- Gophna U., Bapteste E., Doolittle W.F., Biran D., Ron E.Z. // Gene. 2005. V. 1. P. 48–57.
- Jankowski J., Ognik K., Konieczka P., Dariusz Mikulski D. // Poult. Sci. 2020. V. 99. P. 4730–4740.
- Konieczka P., Tykałowski B., Ognik K., Kinsner M., Szkopek D., Wójcik et al. // Vet. Res. 2022. V. 26 P. 59. https://doi.org/10.1186/s13567-022-01080-7.
- Navik U., Sheth V.G., Khurana A., Jawalekar S.S., Allawadhi P., Gaddam R.R., Bhatti J.S., Tikoo K. // Ageing Res. Rev. 2021. V. 72. P. 101500.
- Li Y., Cong H., Liu B., Song J., Sun X., Zhang J., Yang Q. // Antonie Van Leeuwenhoek. 2016. V. 109. P. 1185–1197.
- Kumar D., Gomes J. // Biotechnol Adv. 2005. V. 23. P. 41–61.
- Hashimoto S.-I. // Adv. Biochem. Eng. Biotechnol. 2017. V. 159. P. 15–34.
- Eliot A. C., Kirsch J. F. // Annu. Rev. Biochem. 2004. V. 73. P. 383–415.
- Paiardini A., Contestabile R., Buckle A.M., Cellini B. // Biomed. Res. Int. 2014. Article ID856076. https://doi.org/10.1155/2014/856076.
- Omura H., Ikemoto M., Kobayashi M., Shimizu S., Yoshida T., Nagasawa T. // J. Biosci. Bioeng. 2003. V. 96. P. 53–58.
- Di Salvo M.L., Fesko K., Phillips R.S., Contestabile R. // Front. Bioeng. Biotechnol. 2020. V. 8. Article ID52.https://doi.org/10.3389/fbioe.2020.00052.
- Ravikumar Y., Nadarajan S.P., Yoo T.H., Lee C.-S., Yun H. // Biotechnol. J. 2015. V. 10. P. 1862–1876.
- Ковалева Г.Ю., Гельфанд М.С. // Молекулярная биология. 2007. Т. 41. № 1. C. 139–150.
- Park S.D., Lee J.Y., Sim S.Y., Kim Y., Lee H.S. // Metab. Eng. 2007. V. 9. P. 327–336.
- Han G., Hu X., Qin T., Li Y., Wang X. // Enzyme Microb. Technol. 2016. V. 83. P. 14–21.
- Qin T., Hu X., Hu J., Wang X. // Biotechnol. Appl. Biochem. 2015. V. 62. P. 563–573.
- Gruzdev N., Hacham Y., Haviv H., Stern I., Gabay M., Bloch I. et al. // Microbial Cell Factories. 2023. V. 22:151 https://doi.org/10.1186/s12934-023-02150-x
- Wang H., Li Y., Che Y., Yang D., Wang Q., Yang H. et al. // J. Agric. Food Chem. 2021. V. 69. P. 7932–7937.
- Ким С.Й., Син Й.Ю., Сео Ч.И., Сон С.К., Хео И.К., Ли Х.Д., Ким Д.Е., Ким Х.А., Бае Д.Й., На К.Х. Патент РФ 2011. № 2 573 928 C2.
Arquivos suplementares










