Гидрофобины грибов: структура, свойства, возможности применения в биотехнологии (обзор)
- Авторы: Лопатухин Е.В.1, Ихалайнен Ю.А.2, Маркелова Н.Н.1, Куварина А.Е.1, Садыкова В.С.1
-
Учреждения:
- Научно-исследовательский институт по изысканию новых антибиотиков имени Г.Ф. Гаузе
- Московский государственный университет имени М.В. Ломоносова
- Выпуск: Том 60, № 3 (2024)
- Страницы: 234-245
- Раздел: Статьи
- URL: https://journal-vniispk.ru/0555-1099/article/view/271413
- DOI: https://doi.org/10.31857/S0555109924030026
- EDN: https://elibrary.ru/EXDOZL
- ID: 271413
Цитировать
Полный текст
Аннотация
В обзоре обобщена актуальная информация о гидрофобинах – низкомолекулярных белках, синтезируемых мицелиальными грибами и являющимися одним из сильнейших клеточных биосурфактантов. Представлена структура различных классов гидрофобинов и спектр его природных и синтетических изоформ, биологическая активность и роль в регуляции процессов жизнедеятельности продуцентов. Продемонстрирован потенциал использования гидрофобинов в биотехнологии.
Ключевые слова
Полный текст
Исторически термин “гидрофобин” использовался для описания любых гидрофобных соединений, входящих в структуру микробных мембран, однако в настоящий момент этим термином обозначается семейство белков, секретируемых мицелиальными грибами. Одной из особенностей этой группы соединений являются их уникальные поверхностно активные свойства, в том числе – способность к самоорганизации на границах раздела фаз [1]. Гидрофобины адсорбируются на твердых поверхностях и локализуются на границах раздела гидрофобных (воздух, масло или воск) и гидрофильных (вода или клеточная стенка) фаз [2]. Они растворяются в концентрациях ниже критической концентрации мицеллообразования, а при более высоких концентрациях образуют димеры, тетрамеры и другие многомерные формы в растворе [3]. Роль гидрофобинов в росте и развитии грибов тесно связана с их уникальными физико-химическими свойствами: формирование слоя гидрофобинов на границе раздела фаз позволяет уменьшить поверхностное натяжение и облегчить формирование воздушных гиф мицелия, а также изменить смачиваемость их поверхности и обеспечить прилипание гиф к гидрофобным поверхностям.
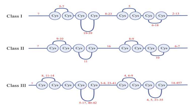
Структурное разнообразие гидрофобинов. Гидрофобины – белки с относительно небольшой молекулярной массой (5–20 кДа), имеющие в своей структуре от 50 до 200 аминокислот в зависимости от конкретного белка [4]. На основании физико-химических и структурных особенностей выделяют 2 класса гидрофобинов [5]. Для обоих классов характерно наличие консервативных участков в аминокислотной последовательности (~18% для класса I и ~37% для класса II) [6]. Разделение на два класса основывается на распределении цистеинов и кластеризации гидрофильных и гидрофобных остатков: гидрофобины I класса характеризуются наличием 8 цистеинов, которые образуют 4 дисульфидные связи [7]. Гидрофобины I класса подразделяют на два подкласса: класс IA, гены которого обнаружены у аскомицетовых грибов, и класс IB, выделяемые только из базидиальных грибов [8]. Некоторые гидрофобины, секретируемые грибами видов Aspergillus, выделяют в отдельный класс III за счет отличного положения дисульфидных связей и наличия дополнительных цистеинов в первичной структуре. Для Trichoderma описаны гидрофобины неизвестного класса и псевдокласс I [9]. На рисунке 1 представлено схематичное изображение гидрофобинов I, II и III классов с описанием положения дисульфидных связей.
Рис. 1. Первичная структура гидрофобинов. Синими линиями обозначена аминокислотная последовательность, красными цифрами обозначена длина цепи, кружки “Cys” – цистеины в аминокислотной цепи [10].
Одной из особенностей структуры гидрофобинов I класса является открытая “полубочковая” конформация белка в растворе, возможная благодаря относительно коротким участкам β-листов, которые не образуют между собой водородных связей [11]. Благодаря этому, для этого класса гидрофобинов характерно наличие структурного ядра, ответственного за формирование полимерных структур, называемых “палочки”, которые структурно схожи с фибриллами β-амилоида [12]. Данные структуры образуются на границах раздела фаз и являются крайне устойчивыми, слабо деградируя в растворах сильных кислот и щелочей, а также додецилсульфата натрия даже при нагревании [13]. Для них также характерна хорошая растворимость в растворах трифторуксусной и муравьиной кислот, притом, после удаления кислоты и растворения в воде, эти формы гидрофобинов повторно сворачиваются, сохраняя ту же мономерную структуру, которая наблюдалась до растворения в трифторуксусной кислоте [14]. Гидрофобины класса I имеют три области гидрофобных петель (петли Cys3–Cys4, Cys4–Cys5 и Cys7–Cys8) [15]. На основании аминокислотных последовательностей предполагается, что гидрофобины класса III образуют палочки, схожие с гидрофобинам класса I [6].
Гидрофобины класса II образуют высокоупорядоченные самоорганизующиеся слои, которые лишены морфологии палочек класса I. Гидрофобины класса II имеют более короткие петли Cys3–Cys4 и Cys7–Cys8, чем гидрофобины класса I, а гидрофобная область занимает меньшую часть поверхности, чем у гидрофобинов класса I [9]. Благодаря этому, белки данного класса легко растворяются в спиртовых растворах и растворе 2% додецилсульфата натрия [12]. Во время самосборки на границе раздела воздух/вода у белков класса II, в отличии от I, не наблюдаются изменения вторичной структуры [16]. Изменения в структуре белка также влияют и на его свойства: например, гидрофобины класса II имеют большую склонность к пенообразованию, чем класс I, но хуже адгезируют к поверхностям [17]. Все это обусловлено наличием водородных связей между β-листами в белке, что препятствует образованию амилоидных структур [11].
Для гидрофобинов не характерно наличие пост-трансляционных модификаций, однако для некоторых белков было описано гликозилирование остатками маннозы по треонину в различных положениях [18]. Отмечается, что данная модификация не влияет на способность белков к образованию упорядоченных структур на границах раздела фаз. Описана также трансформация белков этого класса, индуцированная продолжительным хранением их растворов при различных значениях pH [19]: в нейтральных и щелочных средах наблюдается дезамидирование аспаргинов, а также расщепление пептидных связей, в результате нуклеофильной атаки атомом азота амидной группы карбонильного атома углерода. Первый процесс, в силу кинетических особенностей, является более распространенным, в связи с чем свойства растворов не сильно изменяются при хранении, так как доля расщепленных белков остается достаточно низкой даже при высоких значениях pH, а дезамидированные формы не влияют на способность гидрофобинов к агрегации.
Продуценты гидрофобинов, особенности генной организации и их функциональная роль в онтогенезе грибов. Гидрофобины, относящиеся к классу I, обнаружены у мицелиальных грибов отделов Ascomycota и Basidiomycota, тогда как гидрофобины класса II – встречаются только среди видов Ascomycota. Класс III продуцируется аскомицетами Aspergillus. Основные продуценты гидрофобинов приведены в таблице 1. Гидрофобины класса II демонстрируют большую консервативность аминокислот между остатками цистеина, гидрофобины класса I соответствуют известной консенсусной последовательности C-X5–7-C-C-X19–39-C-X8–23-C-X5-C-C-X6–18-C-X2–13 [35, 73]. Гидрофобины присутствуют у общего предка аскомицетов и базидиомицетов, и анализ геномов грибов показал, что гены, кодирующие гидрофобины, у большинства видов образуют в геномах мультигенные семейства, возникшие в результате эволюции путем дупликации первичной последовательности. В подтверждение этому были выявлены псевдогены, представляющие один из вариантов эволюционного сценария – инактивацию генов из-за накопления вредных мутаций. Некоторые гены гидрофобинов, образованные последовательностями паралогов, сгруппированы в кластеры. Такое расположение может быть результатом появления новых копий генов в геноме за счет дупликаций, о чем свидетельствует филогенетический анализ белков, в ходе которого выявлена высокая степень сходства их последовательностей. В то же время часть генных кластеров может быть потеряна в результате гомологичной рекомбинации [74].
Таблица 1. Организмы, продуцирующие гидрофобины
Организм | Гидрофобин | Класс | Ссылка на источник |
Agaricus bisporus | ABH1/HYPA ABH2/HYPC ABH3 HYPB | IB | |
Aspergillus fumigatus | Rod A Rod В Rod C Rod D Rod E Rod F Rod G | IA IA IA IA IA III III | |
Aspergillus nidulans | Rod A Dew A Dew В Dew C Dew D Dew E | IA IA IA IA неизвестный IA | |
Aspergillus oryzae | Rol A | IA | [26] |
Beauveria bassiana | Hyd1 Hyd2 | IA IA | [27] |
Cladosporium fulvum | HCf 1 HCf 2 HCf 3 HCf 4 HCf 5 HCf 6 Ecp14-1 | IA IA IA IA II II II | |
Cladosporium herbarum | HCh 1 | IA | [30] |
Cladosporium macrocarpum | A5 | IA | [31] |
Claviceps fusiformis | CFTH1 | II | [32] |
Claviceps purpurea | CPPH1 | II | [33] |
Coprinus cinereus | CoHl CoH2 | IB | [34] |
Cordyceps militaris | Cmhyd1 Cmhyd2 Cmhyd3 Cmhyd4 | II II IA IA | [35] |
Cryphonectria parasitica | Cryparin | II | [36] |
Dictyonema glabratum | DGH2 DGH3 DGH 1 FVH 1 | IB | [37] |
Flammulina velutipes | Hyd-1/Fv-hyd1 | IB | [38] |
Fusarium culmorum | FcHyd5p FcHyd3p | II IA | |
Fusarium graminearum | FgHyd1 FgHyd2 FgHyd3 FgHyd4 FgHyd5 | IA IA IA IA II | [41–43] |
Fusarium verticillioids | Hyd 1 Hyd 2 Hyd 3 Hyd 4 Hyd 5 Hyd 6 Hyd 7 Hyd 8 | IA IA IA II II II неизвестный IA | [44] |
Организм | Гидрофобин | Класс | Ссылка на источник |
Grifola frondosa | HGFI HGFII | IA IA | [45–47] |
Magnaporthe grisea | MPG1 MHP1 | IA II | [48] |
Metarhizium brunneum | HYD1 HYD2 HYD3 | IA II IA | [49] |
Neurospora crassa | EAS NC2 | IA II | |
Ophiostoma ulmi | Cerato-ulmin | II | [52] |
Paecilomyces farinosus | PfaH2 | IA | [53] |
Paecilomyces lilacinus | PLHYD | IA | [54] |
Paracoccidioides brasiliensis | PbHYDl PbHYD2 | IA IA | [55] |
Pisolithus tinctorius | HYDPt-1 HYDPt-2 HYDPt-3 | IB | |
Pleurotus floridanus | PfH | IB | [58] |
Pleurotus nebrodensis | PN1 | IB | [59] |
Pleurotus ostreatus | POH1 POH2 POH3 Vmh1 Vmh2 Vmh3 Po.Hyd | IB | |
Schizophyllum commune | SC1 SC3 SC4 SC6 | IB | |
Sodiomyces alkalinus | Sa-HFB1 | II | [64] |
Trichoderma asperellum | HFB2-6 | II | [65] |
Trichoderma atroviride | HFB22b HFB1A HFB1a | IA | [66] |
Trichoderma harzianum | HYTRA1 | II | [67] |
Trichoderma reesei | HFB I HFBII HFB III | II | |
Tricholoma terreum | Hyd 1 | IB | [70] |
Tricholoma vaccinum | Hyd1 Hyd2 Hyd3 Hyd4 Hyd5 Hyd6 Hyd7 Hyd8 | IB | [71] |
Xanthoria ectaneoides Xanthoria parietina | XEH1 XPH1 | IA IA | [72] |
Гидрофобины II класса HFBII могут иметь молекулярные функции, связывающие белки (GTP-связывающий белок) и патогенез, что позволяет предположить возможность их роли в качестве белков – эффекторов. Анализ последовательности и филогенетический анализ подтвердили для гидрофобинов II класса эволюционную консервативность (на уровне сайта). Масс-спектрометрический анализ белков подтвердил у них наличие консервативного пролина (2), глицина (2) и цистеина (8), что обеспечивает жесткость и стабильность их структур. Анализ вторичной структуры показал наличие одной спирали и двух бета-листов, расположенных в области домен HFBII.
Из базы данных NCBI были извлечены геномные последовательности 45 белков – гидрофобинов класса II с разными аминокислотными последовательностями. Выходные данные физико-химических свойств для этих белков, включая молекулярную массу, теоретическое значение изоэлектрической точки, индекс нестабильности, алифатический индекс, и GRAVY были проанализированы с использованием инструмента Expasy ProtParam. Физические и химические параметры могут определять поведение и стабильность белков в разных условиях in vitro [75].
Большинство идентифицированных генов гидрофобинов состоят из трех экзонов, но встречаются гены гидрофобинов с двумя экзонами, также был обнаружен ген квадрогидрофобина (A9K55_003394) в геноме C. militaris, который в отличие от других генов гидрофобинов Cmhyd этого вида не содержит интронов [35]. Количество генов гидрофобина может варьировать между видами грибов. У базидиомицетов, например, количество копий – от 1 до 40. Различия в количестве копий генов гидрофобина у аскомицетов связывают с образом жизни грибов: при среднем показателе 5–6 копий на геном, более 70% представлены гидрофобином класса II. Самое большое количество генов, кодирующих гидрофобины, выявлено у микопаразитических грибов, наименьшее – у сапротрофных грибов, в среднем 3,7, что указывает на вероятное участие гидрофобинов в антагонистических взаимодействиях грибов. Некоторые виды, такие как Tolypocladium paradoxum, T. harzianum и Clonostachys rosea, содержат только гидрофобины класса II [35, 74].
Благодаря схожим свойствам между гидрофобинами (особенно класса II) и эффекторными белками фитопатогенов, многие исследователи предполагают возможную роль гидрофобинов класса II во взаимодействиях грибов и растений. Роль генов гидрофобинов класса II в патогенезе была продемонстрирована на некоторых грибах. Гидрофобин MHP1 рисового патогена Magnaporthe grisea определяет его патогенность. Трансформанты, в которых MHP1 был инактивирован, формировали гифы, смачиваемые детергентом. У мутантов по гену mhp1 снижалось образование и прорастание конидий, а многие конидии несли дефекты в клеточных органеллах и быстро теряли жизнеспособность, проявляя также пониженную способность заражать и колонизировать восприимчивые растения [76]. У микопаразитического гриба T. longibrachiatum гидрофобин II типа проявляет прямую противогрибковую активность. В очень низких дозах стимулирует рост растений, устойчивость к болезням, активируя оксилипин, фитоалексин, активные формы кислорода, супероксиддисмутазу и образование белков, связанных с патогенезом. Направленный нокаут соответствующего гена Hytlo1 значительно снижает как антагонистическую активность, так и стимуляцию роста растений [48]. Крипарин – гидрофобин класса II из аскомицета Cryphonectria parasitica, одного из самых разрушительных патогенов растений, действует как фактор патогенности, способствует прорастанию плодовых тел гриба через кору дерева-хозяина. Удаление гена, кодирующего крипарин, приводит к фенотипу легко смачиваемых гиф, а при выращивании на естественном субстрате мутанты не могут производить полноценные плодовые тела [77]. Несмотря на информацию о роли гидрофобинов второго класса в патогенезе грибов, роль этих белков в защите растений до сих пор остается неясной [78].
Гидрофобины класса I также участвуют в патогенезе, изменяя свойства поверхности. Это свойство является отличительной чертой всех гидрофобинов, при этом гидрофобины класса I образуют монослои, состоящие из цилиндрических амилоидных наноструктур. Исследования гидрофобинов класса I, полученных рекомбинантным путем, включая RodA и RodB из Aspergillus fumigatus, MPG1 из Magnaporthe oryzae, DewA из Aspergillus nidulans и EAS из Neurospora crassa, показали, что они образуют функциональные бета-амилоидные микроволокна, которые самоорганизуются в слои с морфологией палочек [79]. RodA покрывает стенку конидий A. fumigatus, придавая ей гидрофобные характеристики и укрывая от мукоцилиарного клиренса в дыхательных путях хозяина. Кроме того, экспрессия гидрофобинов повышается во время развития биопленок. Мутанты RodA подвержены фагоцитозу альвеолярными макрофагами [80]. Нативные или мутированные белки RodA сами по себе иммунологически молчат. Гидрофобины маскируют молекулярные структуры, связанные с патоген-ассоциированными молекулярными паттернами (PAMP), у фагоцитов, и только появление различных молекул углеводов и белков на конидиальной поверхности мутантов RodA приводит к активации клеток врожденного иммунитета [81].
Геном многих грибов содержит избыточное количество функционально идентичных генов гидрофобинов. Поэтому, потеря некоторых из них не вызывает нарушения тех или иных функций. Например, индуцированная делеция каждого гена гидрофобина у Fusarium graminearum не приводила к снижению у него формирования конидий и вирулентности. Безусловно, наличие многих копий генов гидрофобинов свидетельствует об их важной роли в экологии гриба. В других случаях также показана тесная связь между гидрофобинами и приспособляемостью грибов к различным условиям среды. Гидрофобин HFB4 у T. ghuizouense и T. harzianum играет противоположные роли в распространении грибов в воздухе. Потеря hfb4 у T. harzianum увеличивает его способность к воздушному рассеянию, а у T. guizhouense – уменьшает его распространение в воздухе, но усиливает в воде. Исследование роли всего семейства генов гидрофобинов у фитопатогенного гриба P. expansum показало, что потеря гидрофобина приводит, с одной стороны, к нарушению распространения спор, с другой – повышает колонизацию растения-хозяина [82, 83].
Перспективы использования гидрофобинов в медицинских и сельскохозяйственных биотехнологиях, промышленности. Благодаря своей необычной структуре и свойствам, применение гидрофобинов крайне разнообразно. Амфипатическая природа гидрофобинов способствует их применению как систем для доставки гидрофобных лекарственных препаратов. Таким образом, гидрофобины являются эффективными адъювантами для улучшения растворимости, стабильности и биодоступности лекарственных средств. Также среди последних применений гидрофобинов можно назвать поверхностные покрытия, диспергирование гидрофобных материалов в водных растворах, предотвращение образования пены в производственных процессах, очистка рекомбинантных белков, производство самоочищающихся материалов [84, 85] и создание биоматериалов [86, 87]. В медицинской биотехнологии гидрофобины, благодаря своим гидрофильным свойствам, увеличивают адгезию клеток к некоторым поверхностям и, таким образом, позволяют создать биосовместимые материалы [88, 89]. Способность гидрофобинов образовывать высокостабильные эмульгаторы имеет решающее значение при приготовлении стабильных растворов в фармацевтических целях [86, 90]. Кроме того, гидрофобины были предложены и для иммобилизации белков [16]. При этом использование гидрофобинов в нанобиотехнологических приложениях может повысить чувствительность [91], качество и срок службы биосенсоров [92].
Биосенсоры являются передовым достижением для быстрой диагностики количества различных по химической природе веществ и представляют собой эффективный альтернативный способ традиционным методам анализа содержания различных компонентов в реакционной смеси [93]. Например, гидрофобины были использованы М. Tao с коллегами для резонаторов акустических волн, позволяющие разработать чувствительную систему с возможностью обнаружения летучих органических соединений (ЛОС) [94]. ЛОС представляют собой биомаркеры ряда заболеваний [95], таким образом, их обнаружение и количественная оценка очень важны. Покрытие, полученное в результате капельного нанесения гидрофобина HFBI из Trichoderma reesei на мембрану, позволило улучшить адсорбцию биосенсора за счет отрицательно заряженной природы HFBI. А. Пискителли с соавторами разработали глутатион-S-трансферазу на основе биосенсора для обнаружения пестицидов, таких как молинат и каптан, в водных пробах окружающей среды. Авторы получали рекомбинантно вырабатываемый с помощью Escherichia coli рекомбинантный белок, состоящий из глутатион-S-трансфера и гидрофобина Vmh2 класса I из Pleurotus ostreatus [96].
Совсем недавно М. Барани с коллегами было исследовано новое покрытие ниосом с доксорубицином на основе гидрофобина HFB1 из Trichoderma reesei, состоящее из неионогенных поверхностно-активных веществ. Полученная модель представляла собой многообещающую систему доставки лекарств для лечения онкологических заболеваниях, благодаря их постепенному высвобождению, что очень важно при длительном приеме лекарственного препарата [97]. Используя другой подход, Л. Реутер с соавторами улучшили доставку лекарств к конкретным клеткам-мишеням с помощью наночастиц пористого кремния путем плавления белка, сочетающего гидрофобин HFBIV из Trichoderma reesei и человеческий трансферрин. Наночастицы получились стабильными, разлагаемыми, неиммуногенными и достигли своих назначенных целей. Покрытие гидрофобин–трансферрин также повлияло на биораспределение наночастиц. Так, в опытах данные наночастицы внутривенно вводили крысам, что позволило снизить адсорбцию белков плазмы крови вокруг наночастиц и, следовательно, их агрегацию и потерю активности [98]. Кроме того, гидрофобин HGFI класса I из Grifola frondosa использовался для модификации нанотрубок из галлуазитовой глины, наполненных противоопухолевым препаратом. Результаты подтвердили, что покрытие вышеуказанным гидрофобином повышает стабильность дисперсии, а также позволяет продлить pH-зависимое высвобождение лекарственного средства и, таким образом, повысить цитотоксичность [99].
Несмотря на многочисленные прорывы в науке и технике, значительная часть медицинских имплантатов по-прежнему остается инфицирована бактериями. По литературным данным, инфекционное поражение имплантата является причиной около одной пятой отказов имплантата, которые могут произойти в любой момент после имплантации [100]. Поскольку патогенные микроорганизмы разрастаются на поверхности, то чаще всего, они образуют биопленку – сложную структуру, состоящую из полисахаридов, белков и внеклеточной ДНК, которая в свою очередь характеризуется сильной устойчивостью ко многим видам лечения [101]. Наиболее частые подходы к предотвращению образования биопленки на имплантатах включают в себя нанесение покрытия, убивающего бактерии, такого как антибиотики, противомикробные пептиды и наночастицы металлов [101]. М. Артини с соавторами показали, что самоорганизующиеся амфифильные слои, образованные двумя грибными гидрофобинами Vmh2 и Pac3, выделенными из морского гриба Acremonium sclerotigenum, ингибировали образование биопленки, образуемой внутрибольничными штаммами Staphylococcus epidermidis, на полистирольной поверхности [102]. Гидрофобин SC3 из Schizophyllum commune использовался для покрытия азотсодержащего полимера, создавая противообрастающий слой, который синергетически повышал антибактериальную и антиагрегантную активность выделяемого оксида азота [103].
С. Бёф с соавт. [104] использовали гидрофобин I класса из A. nidulans для ортопедических поверхностей имплантатов. Было получено два варианта гидрофобинов: один с сайтами рецепторов фибронектина, а другой с доменом ламинина, которые продемонстрировали постоянную адгезию клеток человека без увеличения адгезии бактериальных клеток.
В патенте М. Шуфанг и соавт.. разработан метод приготовления нового биоактивного белка. Для этого они обогатили материал стента с помощью амфифильного белка HFBI из Trichoderma reesei. В результате это позволило улучшить биосовместимость стента, а также его способность к клеточной миграции и васкуляризации [105].
В рамках исследования способности к образованию антибиотических веществ у грибов с облигатным типом алкалофилии А. Кувариной с соавт. были изучены 25 штаммов алкалофильного вида Sodiomyces alkalinus. В результате был выделен и идентифицирован новый белок Sa-HFB1 II класса гидрофобинов с противогрибковой активностью. В экспериментах in vitro он показал высокую активность к дрожжевым патогенным грибам, включая клинические изоляты с мультирезистентностью к полиенам и азолам. Минимальная подавляющая концентрация Sa-HFB1 для клинического резистентного изолята Cryptococcus neoformans составляла 1 мкг/мл, а в концентрации 2–16 мкг/мл он ингибирует патогенные изоляты рода Candida [64, 106].
* * *
Даже спустя пятьдесят лет после открытия, гидрофобины по-прежнему остаются привлекательными белковыми соединениями для потенциального промышленного применения в различных отраслях народного хозяйства, особенно биотехнологии. Огромное разнообразие структур гидрофобинов, специфичность конкретных гидрофобинов в их роли в развитии грибов, а также их уникальные структуры и поверхностная активность делают гидрофобины полезными агентами там, где необходимо изменить, соединить или стабилизировать границы раздела фаз. Для биомедицинского применения гидрофобины были особенно полезны в случае составления и доставки гидрофобных лекарственных средств, в пищевой промышленности в качестве эмульгаторов. Характеристики самосборки гидрофобинов делают их также пригодными для применения в биосенсорах. Некоторые дополнительные применения включают гидрофобины, используемые в качестве меток для очистки, иммобилизации белков и клеток, антимикробных покрытий и биоминерализации.
Хотя ряд гидрофобинов уже получают промышленным способом с использованием гетерологичных хозяев – дрожжевых организмов, до сих пор ощущается недостаток производства как природных, так и их инженерных форм гидрофобинов для полной реализации их потенциала. Кроме того, более глубокое понимание взаимосвязи структуры и функции гидрофобина позволило бы создать новый дизайн для конкретных применений, что имело бы огромное значение во многих важных областях, таких как фармацевтика, электроника, микрофлюидика и пищевые продукты.
Об авторах
Е. В. Лопатухин
Научно-исследовательский институт по изысканию новых антибиотиков имени Г.Ф. Гаузе
Автор, ответственный за переписку.
Email: sadykova_09@mail.ru
Россия, Москва
Ю. А. Ихалайнен
Московский государственный университет имени М.В. Ломоносова
Email: sadykova_09@mail.ru
Россия, Москва
Н. Н. Маркелова
Научно-исследовательский институт по изысканию новых антибиотиков имени Г.Ф. Гаузе
Email: sadykova_09@mail.ru
Россия, Москва
А. Е. Куварина
Научно-исследовательский институт по изысканию новых антибиотиков имени Г.Ф. Гаузе
Email: nastena.lysenko@mail.ru
Россия, Москва
В. С. Садыкова
Научно-исследовательский институт по изысканию новых антибиотиков имени Г.Ф. Гаузе
Email: sadykova_09@mail.ru
Россия, Москва
Список литературы
- Wösten H.A., Schuren F.H., Wessels J.G. // The EMBO Journal. 1994. V. 13. № 24. P. 5848–5854.
- Lumsdon S.O., Green J., Stieglitz B. // Colloids and Surfaces B: Biointerfaces. 2005. V. 44. № 4. P. 172–178. https://doi.org/10.1016/j.colsurfb.2005.06.012
- Kallio J.M., Linder M.B., Rouvinen J. // Journal of biological chemistry. 2007. V. 282. № 39. P. 28733–28739. https://doi.org/10.1074/jbc.M704238200
- Dokouhaki M., Hung A., Kasapis S., Gras S.L. // Trends in Food Science & Technology. 2021. V. 111. P. 378–387. https://doi.org/10.1016/j.tifs.2021.03.001
- Lo V.C., Ren Q., Pham C.L.L., Morris V.K., Kwan A.H., Sunde M. // Nanomaterials. 2014. V. 4. № 3. P. 827–843. https://doi.org/10.3390/nano4030827
- Gandier J.A., Master E.R. // Microorganisms. 2018. V. 6. № 1. P. 3–23. https://doi.org/10.3390/microorganisms6010003
- Wösten H.A.B. // Annual Reviews in Microbiology. 2001. V. 55. № 1. P. 625–646. https://doi.org/10.1146/annurev.micro.55.1.625
- Gandier J.A., Langelaan D.N., Won A., O’Donnell K., Grondin J.L., Spencer H.L., Wong P., Tillier E., Yip C., Smith S.P., Master E.R. // Scientific Reports. 2017. V. 7. № 45863. P. 1–9. https://doi.org/10.1038/srep45863
- Jensen B.G., Andersen M.R., Pedersen M.H., Frisvad J.C., Sondergaard I.B. // BMC Research Notes. 2010. V. 3. № 1. P. 1–6. https://doi.org/10.1186/1756-0500-3-344
- Ball S.R., Kwan A.H., Sunde M. // The Fungal Cell Wall: An Armour and a Weapon for Human Fungal Pathogens. 2020. V. 425. P. 29–51. https://doi.org/10.1007/82_2019_186
- Morris V.K., Kwan A.H., Sunde M. // Journal of molecular biology. 2013. V. 425. № 2. P. 244–256. https://doi.org/10.1016/j.jmb.2012.10.021
- Pham C.L.L., Rey A., Lo V., Soules M., Ren Q., Meisl G., Knowles T.P.S., Kwan A.H., Sunde M. // Scientific reports. 2016. V. 6. № 25288. P. 1–16. https://doi.org/10.1038/srep25288
- Hektor H.J., Scholtmeijer K. // Current opinion in biotechnology. 2005. V. 16. № 4. P. 434–439. https://doi.org/10.1016/j.copbio.2005.05.004
- Szilvay G.R. Self-assembly of hydrophobin proteins from the fungus Trichoderma reesei // Ed. M. Linder. Finland: VTT Publications, 2007. 70 p.
- Tanaka T., Terauchi Y., Yoshimi A., Abe K. // Microorganisms. 2022. V. 10. № 8. P. 1498–1522. https://doi.org/10.3390/microorganisms10081498
- Kisko K., Szilvay G.R., Vainio U., Linder M.B., Serimaa R. // Biophysical journal. 2008. V. 94. № 1. P. 198–206. https://doi.org/10.1529/biophysj.107.112359
- Linder M.B. // Current Opinion in Colloid & Interface Science. 2009. V. 14. № 5. P. 356–363. https://doi.org/10.1016/j.cocis.2009.04.001
- Scholtmeijer K., Janssen M., Gerssen B., de Vocht M.L., van Leeuwen B.M., van Kooten T.G., Wosten H.A.B., Wessels J.G.H. // Applied and Environmental Microbiology. 2002. V. 68. № 3. P. 1367–1373. https://doi.org/0.1128/AEM.68.3.1367-1373.2002
- Vereman J., Thysens T., Weiland F., Impe J.V., Derdelinckx G., de Voorde I.V. // Process Biochemistry. 2023. V. 130. P. 455–463. https://doi.org/10.1016/j.procbio.2023.05.008
- De Groot P.W.J., Roeven R.T.P., van Griencven L.J.L.D., Visser J., Schaap P.J. // Microbiology. 1999. V. 145. № 5. P. 1105–1113.
- Lugones L.G., Wös H.A.B., Wessels J.G.H. // Microbiology. 1998. V. 144. № 8. P. 2345–2353. https://doi.org/10.1099/00221287-144-8-2345
- Valsecchi I., Dupres V., Stephen-Victor E., Guijarro J.I., Gibbons J., Beau R., Bayry J., Coppee J.-Y., Lafont F., Latge J.-P., Beauvais A. // Journal of fungi. 2017. V. 4. № 1. P. 2–20. https://doi.org/10.3390/jof4010002
- Littlejohn K.A., Hooley P., Cox P.W. // Food Hydrocolloids. 2012. V. 27. № 2. P. 503–516. https://doi.org/10.1016/j.foodhyd.2011.08.018
- Winandy L., Hilpert F., Schlebusch O., Fisher R. // Scientific reports. 2018. V. 8. № 12033. P. 1–11. https://doi.org/10.1038/s41598-018-29749-0
- Ahn S.O., Lim H.-D., You S.-H., Cheong D.-E., Kim G.-J. // International Journal of Molecular Sciences. 2021. V. 22. № 7843. P. 1–11. https://doi.org/10.3390/ijms22157843
- Terauchi Y., Nagayama M., Tanaka T., Tanabe H., Yoshimi A., Nanatani K., Yabu H., Arita T., Higuchi T., Kameda T., Abe K. // Applied and environmental microbiology. 2022. V. 88. № e0208721. P. 1-21. https://doi.org/10.1128/AEM.02087-21
- Moonjely S., Keyhani N.O., Bidochka M.J. // Microbiology. 2018. V. 164. № 4. P. 517–528. https://doi.org/10.1099/mic.0.000644
- Lacroix H., Spanu P.D. // Applied and environmental microbiology. 2009. V. 75. № 2. P. 542–546. https://doi.org/10.1128/AEM.01816-08
- Mesarich C.H., Okmen B., Rovenich H., Griffiths S.A., Wang C., Jashni M.K., Mihajlovski A., Collemare J., Hunziker L., Deng C.H., van der Burgt A., Beenen H.G., Templeton M.D., Bradshaw R.E., de Wit P.J.G.M. // Molecular plant-microbe interactions. 2018. V. 31. № 1. P. 145–162. https://doi.org/10.1094/MPMI-05-17-0114-FI
- Weichel M., Schmid-Grendelmeier P., Rhyner C., Achatz G., Blaser K., Crameri R. // Clinical & Experimental Allergy. 2003. V. 33. № 1. P. 72–77. https://doi.org/10.1046/j.1365-2222.2003.01574.x
- Turgut B.A., Ortucu S. // Preparative Biochemistry and Biotechnology. 2023. V. 53. № 10. https://doi.org/10.1080/10826068.2023.2201930
- De Vries O.M., Moore S., Arntz S., Wessels J.G., Tudzynski P. European journal of biochemistry. 1999. V. 262. № 2. P. 377–385. https://doi.org/10.1046/j.1432-1327.1999.00387.x
- Mey G., Correia T., Oeser B., Kershaw M.J., Garre V., Arntz C., Talbot N.J., Tudzynski P. // Molecular Plant Pathology. 2003. V. 4. № 1. P. 31–41. https://doi.org/10.1046/j.1364-3703.2003.00138.x
- Ásgeirsdóttir S.A., Halsall J.R., Casselton L.A. // Fungal Genetics and Biology. 1997. V. 22. № 1. P. 54–63. https://doi.org/10.1006/fgbi.1997.0992
- Li X., Wang F., Xu Y., Liu G., Dong C. // International Journal of Molecular Sciences. 2021. V. 22. № 2. P. 643–660. https://doi.org/10.3390/ijms22020643
- So K.K., Kim D.H. // Mycobiology. 2017. V. 45. № 4. P. 362–369. https://doi.org/10.5941/MYCO.2017.45.4.362
- Trembley M.L., Ringli C., Honegger R. // New Phytologist. 2002. V. 154. № 1. P. 185–195. https://doi.org/10.1046/j.1469-8137.2002.00360.x
- Kim H.I., Lee C.S., Park Y.J. // Mycoscience. 2016. V. 57. № 5. P. 320–325. https://doi.org/10.1016/j.myc.2016.04.004
- Stübner M., Lutterschmid G., Vogel R.F., Niessen L. // International journal of food microbiology. 2010. V. 141. № 1-2. P. 110–115. https://doi.org/10.1016/j.ijfoodmicro.2010.03.003
- Zapf M.W., Theisen S., Vogel R.F., Niessen L. // Journal of the Institute of Brewing. 2006. V. 112. № 3. P. 237–245. https://doi.org/10.1002/j.2050-0416.2006.tb00719.x
- Quarantin A., Hadeler B., Kroger C., Schafer W., Favaron F., Sella L., Martinez-Rocha A.L. // Frontiers in Microbiology. 2019. V. 10. P. 751–770. https://doi.org/10.3389/fmicb.2019.00751
- Sarlin T., Kivioja T., Kalkkinen N., Linder M.B., Nakari-Setala T. // Journal of basic microbiology. 2012. V. 52. № 2. P. 184–194. https://doi.org/10.1002/jobm.201100053
- Minenko E., Vogel R.F., Niessen L. // Fungal biology. 2014. V. 118. № 4. P. 385–393. https://doi.org/10.1016/j.funbio.2014.02.003
- Niu C., Payne G.A., Woloshuk C.P. // BMC microbiology. 2015. V. 15. № 1. P. 1–11. https://doi.org/10.1186/s12866-015-0427-3
- Song D., Gao Z., Zhao L., Wang X., Xu H., Bai Y., Zhang X., Linder M.B., Feng H., Qiao M. // Protein expression and purification. 2016. V. 128. P. 22–28. https://doi.org/10.1016/j.pep.2016.07.014
- Yang J., Ge L., Song B., Ma Z., Yang X., Wang B., Dai Y., Xu H., Qiao M. // Frontiers in Microbiology. 2022. V. 13. № 990231. P. 1–13. https://doi.org/10.3389/fmicb.2022.990231
- Ma Z., Song B., Yu J., Yang Z., Han Z., Yang J., Wang B., Song D., Xu H., Qiao M. // Colloids and Surfaces A: Physicochemical and Engineering Aspects. 2023. V. 656. № 130344. P. 1–4. https://doi.org/10.1016/j.colsurfa.2022.130344
- Kim S., Ahn I.P., Rho H.S., Lee Y.H. // Molecular Microbiology. 2005. V. 57. № 5. P. 1224–1237. https://doi.org/10.1111/j.1365-2958.2005.04750.x
- Jiang Z.Y., Ligoxygakis P., Xia Y.X. // International Journal of Biological Macromolecules. 2020. V. 165. P. 1303–1311. https://doi.org/10.1016/j.ijbiomac.2020.09.222
- Mackay J.P., Matthews J.M., Winefield R.D., Mackay L.G., Haverkamp R.G., Templeton M.D. // Structure. 2001. V. 9. № 2. P. 83–91. https://doi.org/10.1016/s0969-2126(00)00559-1
- Ren Q., Kwan A.H., Sunde M. // Proteins. 2014. V. 82. № 6. P. 990–1003. https://doi.org/10.1002/prot.24473
- Temple B., Horgen P.A. // Mycologia. 2000. V. 92. № 1. P. 1-9. https://doi.org/10.2307/3761443
- Zelena K., Takenberg M., Lunkenbein S., Woche S.K., Nimtz M., Berger R.G. // Biotechnology and Applied Biochemistry. 2013. V. 60. № 2. P. 147–154. https://doi.org/10.1002/bab.1077
- Vigueras G., Shirai K., Hernandez-Guerrero M., Morales M., Revah S. // Process Biochemistry. 2014. V. 49. № 10. P. 1606–1611. https://doi.org/10.1016/j.procbio.2014.06.015
- Albuquerque P., Kyaw C.M., Saldanha R.R., Brigido M.M., Felipe M.S.S., Silva-Pereira I. // Fungal Genetics and Biology. 2004. V. 41. № 5. P. 510–520. https://doi.org/10.1016/j.fgb.2004.01.001
- Tagu D., de Bellis R., Balestrini R., de Vries O.M.H., Piccoli G., Stocchi V., Bonfante P., Martin F. // New Phytologist. 2001. V. 149. № 1. P. 127–135. https://doi.org/10.1046/j.1469-8137.2001.00009.x
- Acioli-Santos B., Sebastiana M., Pessoa F., Sousa L., Figueiredo A., Fortes A.M., Balde A., Maia L.C., Pais M.S. // Current microbiology. 2008. V. 57. № 6. P. 620–625. https://doi.org/10.1007/s00284-008-9253-2
- Rafeeq C.M., Vaishnav A.B., Ali P.P.M. // Protein Expression and Purification. 2021. V. 182. № 105834. P. 1–6. https://doi.org/10.1016/j.pep.2021.105834
- Zhang R.Y., Hu D.D., Gu J.G., Zhang J.X., Goodwin P.H., Hu Q.X. // European journal of plant pathology. 2015. V. 143. P. 823–831. https://doi.org/10.1007/s10658-015-0734-4
- Xu D., Wang Y., Keerio A.A., Ma A. // Microbiological Research. 2021. V. 247. № 126723. P. 1–14. https://doi.org/10.1016/j.micres.2021.126723
- Kulkarni S.S., Nene S.N., Joshi K.S. // Protein Expression and Purification. 2022. V. 195–196. № 106095. https://doi.org/10.1016/j.pep.2022.106095
- Van Wetter M.A., Wösten H.A., Wessels J.G. // Molecular microbiology. 2000. V. 36. № 1. P. 201–210. https://doi.org/10.1046/j.1365-2958.2000.01848.x
- Askolin S., Linder M., Scholtmeijer K., Tenkanen M., Penttila M., de Vocht M.L., Wosten H.A.B. // Biomacromolecules. 2006. V. 7. № 4. P. 1295–1301. https://doi.org/10.1021/bm050676s
- Kuvarina A.E., Rogozhin E.A., Sykonnikov M.A., Timofeeva A.V., Serebryakova M.V., Fedorova N.V., Kokaeva L.Y., Efimenko T.A., Georgieva M.L., Sadykova V.S. // Journal of Fungi. 2022. V. 8. № 7. P. 1–11. https://doi.org/10.3390/jof8070659
- Huang Y., Mijiti G., Wang Z., Yu W., Fan H., Zhang R., Liu Z. // Microbiological Research. 2015. V. 171. P. 8–20. https://doi.org/10.1016/j.micres.2014.12.004
- Seidl-Seiboth V., Gruber S., Sezerman U., Schwecke T., Albayrak A., Neuhof T., von Dohren H., Baker S.E., Kubicek C.P. // Journal of molecular evolution. 2011. V. 72. P. 339–351. https://doi.org/10.1007/s00239-011-9438-3
- Puglisi I., Faedda R., Sanzaro V., Lo Piero A.R., Petrone G., Cacciola S.O. // Gene. 2012. V. 506. № 2. P. 325–330. https://doi.org/10.1016/j.gene.2012.06.091
- He R., Li C., Feng J., Zhang D. // FEMS microbiology letters. 2017. V. 364. № 8. P. 1–21. https://doi.org/10.1093/femsle/fnw297
- Alamprese C., Rollini M., Musatti A., Ferranti P., Barbiroli A. // LWT. 2022. V. 157. № 113060. P. 1–7. https://doi.org/10.1016/j.lwt.2021.113060
- Mankel A., Krause K., Kothe E. //Applied and Environmental Microbiology. 2002. V. 68. № 3. P. 1408–1413. https://doi.org/10.1128/AEM.68.3.1408-1413.2002
- Sammer D., Krause K., Gube M., Wagner K., Kothe E. // PLoS One. 2016. V. 11. № e0167773. P. 1–20. https://doi.org/10.1371/journal.pone.0167773
- Scherrer S., de Vries O.M.H., Dudler R., Wessels J.G.H., Honegger R. // Fungal Genetics and Biology. 2000. V. 30. № 1. P. 81–93. https://doi.org/10.1006/fgbi.2000.1205
- Kershaw M.J., Talbot N.J. // Fungal Genetics and Biology. 1998. V. 23. № 1. P. 18–33. https://doi.org/10.1006/fgbi.1997.1022.
- Mgbeahuruike A.C., Kovalchuk A., Asiegbu F.O. // Mycologia. 2013. V. 105. № 6. P. 1471–1478. https://doi.org/10.3852/13-077.
- Bouqellah N.A., Farag P.F. // Microorganisms. 2023. V. 11. № 2632. P. 1-19. https://doi.org/10.3390/microorganisms11112632.
- Ruocco M., Lanzuise S., Lombardi N., Woo S.L., Vinale F., Marra R., Varlese R., Manganiello G., Pascale A., Scala V., Turrà D., Scala F., Lorito M. // Mol. Plant. Microbe Interact. 2015. V. 28. № 2. P. 167–179. https://doi.org/10.1094/MPMI-07-14-0194-R.
- Kazmierczak P., Kim D.H., Turina M., Van Alfen N.K. // Eukaryot. Cell. 2005. V. 4. № 5. P. 931–936. https://doi.org/10.1128/EC.4.5.931-936.2005.
- Gallo M., Luti S., Baroni F., Baccelli I., Cilli E.M., Cicchi C., Leri M., Spisni A., Pertinhez T.A., Pazzagli L. // Int. J. Mol. Sci. 2023. V. 24. № 2251. P. 1–18. https://doi.org/10.3390/ijms24032251
- Buchanan J.A., Varghese N.R., Johnston C.L., Sunde M. // Journal of Molecular Biology. 2023. V. 435. № 167919. P. 1–22. https://doi.org/10.1016/j.jmb.2022.167919.
- Kashyap V.K., Mishra A., Bordoloi S., Varma A., Joshi N.C. // Mycoses. 2023. V. 66. № 9. P. 737–754. https://doi.org/10.1111/myc.13619.
- Latgé J.-P. // Fungal Biology. 2023. V. 127. № 7–8. P. 1259–1266. https://doi.org/10.1016/j.funbio.2023.05.001.
- Cai F., Gao R., Zhao Z., Ding M., Jiang S., Yagtu C., Zhu H., Zhang J., Ebner T., Mayrhofer-Reinhartshuber M., Kainz P., Chenthamara K., Akcapinar G.B., Shen Q., Druzhinina I.S. // ISME J. 2020. V. 14. № 10. P. 2610–2624. https://doi.org/10.1038/s41396-020-0709-0
- Luciano-Rosario D., Eagan J.L., Aryal N., Dominguez E.G., Hull C.M., Keller N.P. // mBio. 2022. V. 13. № e0275422. P. 1–12. https://doi.org/10.1128/mbio.02754-22.
- Kulkarni S., Nene S., Joshi K. // Process Biochemistry. 2017. V. 61. P. 1–11. https://doi.org/10.1016/j.procbio.2017.06.012
- Stanzione I., Pitocchi R., Pennacchio A., Cicatiello P., Piscitelli A., Giardina P. // Frontiers in Molecular Biosciences. 2022. V. 9. № 959166. P. 1–9. https://doi.org/10.3389/fmolb.2022.959166
- Kirkland B.H., Keyhani N.O. // J. Ind. Microbiol. Biotechnol. 2011. V. 38. № 2. P. 327–335. https://doi.org/10.1007/s10295-010-0777-7
- Rieder A., Ladnorg T., Wöll C., Obst U., Fischer R., Schwartz T. // Biofouling. 2011. V. 27. № 10. P. 1073–1085. https://doi.org/10.1080/08927014.2011.631168
- Janssen M.I., Leeuwen M.B.M., van Kooten T.G., Vries J., Dijkhuizen L., Wösten H.A.B. // Biomaterials. 2004. V. 25. № 14. P. 2731–2739. https://doi.org/10.1016/j.biomaterials.2003.09.060
- Bimbo L.M., Mäkilä E., Raula J., Laaksonen T., Laaksonen P., Strommer K., Kauppinen E.I., Salonen J., Linder M.B., Hirvonen J., Santos H.A. // Biomaterials. 2011. V. 32. № 34. P. 9089–9099. https://doi.org/10.1016/j.biomaterials.2011.08.011
- Linder M.B., Szilvay G.R., Nakari-Setälä T., Penttilä M.E. // FEMS Microbiol. Rev. 2005. V. 29. № 5. P. 877–896. https://doi.org/10.1016/j.femsre.2005.01.004
- Khalesi M., Gebruers K., Derdelinckx G. // Protein J. 2015. V. 34. № 4. P. 243–255. https://doi.org/10.1007/s10930-015-9621-2
- Chakarova S.D., Carlsson A.E. // Phys. Rev. E. 2004. V. 69. № 021907. P. 1–9. https://doi.org/10.1103/PhysRevE.69.021907
- Scognamiglio V., Arduini F., Palleschi G., Rea G. // Trac. Trends Anal. Chem. 2014. V. 62. P. 1–10. https://doi.org/10.1016/j.trac.2014.07.007
- Tao J., Chang Y., Liang J., Duan X., Pang W., Wang Y., Wang Z. // Appl. Phys. Lett. 2019. V. 115. № 163502. P. 1–5. https://doi.org/10.1063/1.5124525
- Fitzgerald J.E., Bui E.T.H., Simon N.M., Fenniri H. // Trends Biotechnol. 2017. V. 35. P. 33–42. https://doi.org/10.1016/j.tibtech.2016.08.005
- Piscitelli A., Pennacchio A., Longobardi S., Velotta R., Giardina P. // Biotechnol. Bioeng. 2017. V. 114. P. 46–52. https://doi.org/10.1002/bit.26049
- Barani M., Mirzaei M., Torkzadeh-Mahani M., Lohrasbi-Nejad A., Nematollahi M.H. // Materials Science & engineering. C, Materials for Biological Applications. 2020. V. 113. № 110975. P. 1–8. https://doi.org/10.1016/j.msec.2020.110975
- Reuter L.J., Shahbazi M.-A., Mäkilä E.M., Salonen J.J., Saberianfar R., Menassa R., Santos H.A., Joensuu J.J., Ritala A. // Bioconjug. Chem. 2017. V. 28. P. 1639–1648. https://doi.org/10.1021/acs.bioconjchem.7b00075
- Wang B., Han Z., Song B., Yu L., Ma Z., Xu H., Qiao M. // Colloids and Surfaces A: Physicochemical and Engineering Aspects. 2021. V. 628. № 127351. P. 1–9. https://doi.org/10.1016/j.colsurfa.2021.127351
- VanEpps J.S., Younger J.G. // Shock. 2016. V. 46. P. 597–608. https://doi.org/10.1097/SHK.0000000000000692
- Maan A.M.C., Hofman A.H., de Vos W.M., Kamperman M. // Advanced Functional Materials. 2020. V. 30. № 2000936. P. 1–30. https://doi.org/10.1002/adfm.202000936
- Artini M., Cicatiello P., Ricciardelli A., Papa R., Selan L., Dardano P., Tilotta M., Vrenna G., Tutino M.L., Giardina P., Parrilli E. // Biofouling. 2017. V. 33. P. 601–611. https://doi.org/10.1080/08927014.2017.1338690
- Devine R., Singha P., Handa H. // Biomater. Sci. 2019. V. 7. P. 3438–3449. https://doi.org/10.1039/c9bm00469f
- Boeuf S., Throm T., Gutt B., Strunk T., Hoffmann M., Seebach E., Muhlberg L., Brocher J., Gotterbarm T., Wenzel W., Fischer R., Richter W. // Acta Biomater. 2012. V. 8. P. 1037–1047. https://doi.org/10.1016/j.actbio.2011.11.022
- Patent CN107308501A. Method for loading bioactive protein onhydrophobic stent material. Shufang, W., Li, J., Tang, D. 2017.
- Kuvarina A.E., Georgieva M.L., Rogozhin E.A., Kulko A.B., Gavryushina I.A., Sadykova V.S. // Applied Biochemistry and Microbiology. 2021. V. 57. № 1. P. 86–93. https://doi.org/10.1134/S0003683821010142
Дополнительные файлы



