Участие активных форм кислорода и оксида азота в защите пшеницы с геном Sr25 от стеблевой ржавчины
- Авторы: Кнауб В.В.1, Плотникова Л.Я.1
-
Учреждения:
- Омский государственный аграрный университет имени П.А. Столыпина
- Выпуск: Том 60, № 6 (2024)
- Страницы: 610-622
- Раздел: Статьи
- URL: https://journal-vniispk.ru/0555-1099/article/view/285189
- DOI: https://doi.org/10.31857/S0555109924060055
- EDN: https://elibrary.ru/QGCDXJ
- ID: 285189
Цитировать
Полный текст
Аннотация
Роль активных форм кислорода (АФК) и оксида азота NO в защите мягкой пшеницы Triticum aestivum L. от ржавчинного гриба Puccinia graminis f. sp. tritici Erikss. and Henn. (Pgt) была изучена на примере взаимодействия с устойчивой линией мягкой пшеницы сорта Thatcher с геном Sr25 от пырея удлиненного Thinopyrum ponticum (ТсSr25) и восприимчивым сортом Саратовская 29 (С29). Проростки были обработаны салициловой кислотой (СК) в качестве индуктора АФК, верапамилом ингибитором Са2+-каналов, донором NO нитропруссидом натрия (НП) и поглотителем NO 2-фенил-4,4,5,5-тетраметилимидазолин-1-оксил-3-оксидом (c-PTIO). Для заражения проростков использовали изоляты с реакцией 0 (иммунитет) и 1 (устойчивость с проявлением реакции сверхчувствительности, СВЧ). NO стимулировал ориентацию ростковых трубок и образование аппрессориев Pgt на поверхности устойчивых растений, а в восприимчивых усиливал рост колоний при обработке растений за 1 сут или одновременно с инокуляцией. Генерация супероксид-аниона была основной причиной гибели аппрессориев Pgt на устьицах устойчивых растений, а NO не влиял на проникновение в ткани. АФК индуцировали реакцию СВЧ и ускоряли разрушение цитоплазмы клеток, а NO способствовал расширению зоны некроза в устойчивых растениях.
Полный текст
Мягкая пшеница Triticum aestivum L. – один из трех основных злаков, обеспечивающих питанием население мира, при этом ее посевы подвергаются постоянному воздействию патогенных микроорганизмов. Среди возбудителей болезней наиболее опасными признаны ржавчинные грибы, что связано с их быстрой эволюцией, высокими потерями урожая во время эпифитотий и способностью к трансграничному/трансконтинентальному переносу спор [1]. Пшеницу поражают три ржавчинных болезни: стеблевая, желтая и бурая, вызываемые биотрофными грибами Puccinia graminis f. sp. tritici Erikss. and Henn. (Pgt), P. striiformis Westend f. sp. tritici Erikss. и P. triticina Erikss. соответственно. Вредоносность стеблевой и желтой ржавчины в мире резко усилилась с 2000 гг., что связано с появлением новых рас и распространением их в странах Африки, Ближнего Востока, Европы и в России [2‒5].
Для защиты пшеницы от быстро эволюционирующих биотрофных патогенов актуально изучение регуляции иммунной системы растений, а также выявление механизмов, контролируемых эффективными генами устойчивости. В 1990 гг. было установлено, что после узнавания метаболитов патогена рецепторами растений развивается комплекс быстрых реакций, включая потоки ионов Са2+ через плазматическую мембрану, образование АФК, активацию MAPK-киназ (митоген-активируемых протеинкиназ) [6]. АФК (супероксид-анион O2•–, пероксид водорода Н2О2 и др.) играют роль мессенджеров в НАДФ∙Н-оксидазной сигнальной системе, реализующейся через СК-зависимый каскад. Кроме того, они могут разрушать клетки патогенов, участвовать в реализации реакции сверхчувствительности (СВЧ) и лигнификации клеточных стенок [7]. В эти же годы было установлено, что оксид азота NO является одним из ключевых молекул-трансмиттеров, регулирующих процессы у разных организмов [8]. В результате различных реакций в растениях образуется набор активных форм азота (АФА): оксид азота NO, нитроксильный анион NO–, пероксинитрит
ONOO–, S-нитрозотиолы и др. [9]. Показано влияние NO на активацию ферментов первичного метаболизма, клеточного цикла и физиологические процессы растений: прорастание семян, развитие корневой системы, рост побегов, водный обмен, фотосинтез и др. [10‒12]. Регуляция метаболизма растений с помощью АФА осуществляется за счет модуляции генетических программ и посттрансляционных модификаций белков [9, 13]. Наибольшее внимание было уделено изучению роли NO в защите от абиотических стрессов: засухи, экстремальных температур, засоления, гипоксии и т.д. [11, 14‒16].
Участие АФА в защите растений от болезней изучено в меньшей степени. При этом отмечено участие NO в защите видов-нехозяев и расоспецифической устойчивости хозяев, контролируемых системами PTI и ETI соответственно [17‒19]. Большая часть сведений об участии NO в защите растений от болезней была получена на примере культур клеток, обработанных элиситорами, а также модельных видов, инфицированных вирусами, бактериями и некротрофными патогенами [11, 20]. Исследованию роли NO во взаимодействиях ржавчинных грибов с видами растений были посвящены единичные исследования. На примере растений нехозяина Arabidopsis thaliana, инфицированных урединиоспорами P. triticina, было установлено повышение уровня NO после остановки развития патогена [18]. Влияние АФК и NO на взаимодействие с устойчивыми сортами было изучено на примере пшеницы , инфицированной P. striiformis f. sp. tritici или P. triticina, а также овса, зараженного P. coronata. При этом были сделаны различные выводы о значении соединений в защите растений: NO – основная причина реакции СВЧ [21]; для отмирания клеток необходимы АФК и NO [18, 22, 23]; NO обеспечивает передачу сигнала о начале СВЧ между клетками [17].
Для понимания механизмов длительной устойчивости пшеницы к Pgt актуально изучение роли АФК и NO в проявлении эффективных в различных регионах мира Sr генов. В связи с этим представляет интерес исследование взаимодействия Pgt с пшеницей, несущей Sr гены от пырея удлиненного Thinopyrum ponticum Podpěra, (1902) Z.-W. Liu & R.-C.Wang, 1993, эффективные против стеблевой ржавчины во многих регионах мира [4, 24].
Целью исследований было изучение роли АФК и NO в защите мягкой пшеницы с геном пырея удлиненного Sr25 от возбудителя стеблевой ржавчины пшеницы.
МЕТОДИКА
Растительный материал. В качестве объектов исследований были использованы 10-суточные проростки почти изогенной линии сорта яровой мягкой пшеницы Thatcher (RL6040), несущей транслокацию 7DS-7DL-7Ae#1L со сцепленными генами устойчивости к бурой и стеблевой ржавчине Lr19/Sr25 (ТсSr25) от пырея удлиненного Thinopyrum ponticum [25], а также восприимчивого сорта Саратовская 29 (С29). Растения выращивали в сосудах с почвой при температуре 20–24°С (ночь/день), при 16-часовом освещении лампами Osram L 36W/77 с интенсивностью 146 Вт/м2.
Подготовка инокулюма и инфицирование растений. Для заражения растений использовали урединиоспоры моноспоровых изолятов P. graminis f. sp. tritici, выделенных из западносибирской популяции (зоны г. Омска). Изоляты были размножены на проростках восприимчивого сорта С29. Инфицирование проводили путем опрыскивания суспензией урединиоспор Pgt, приготовленной в растворе детергента Твина-80 из расчета 10–12 тыс. спор/мл. Инфекционный тип (ИТ) на заражение определяли по модифицированной шкале Stackman [26]: 0 – без симптомов; ; – мелкие некротические пятна; 1 – мелкие пустулы, окруженные некротическими зонами; 2– – мелкие пустулы, окруженные большими некротическими пятнами; 2 – средние пустулы, окруженные хлоротическими зонами; 3+ – крупные пустулы с зонами хлороза; 4 – крупные пустулы. ИТ 0–2 определяли как устойчивый, а 3–4 – восприимчивый. Для экспериментов были использованы два авирулентных к гену Sr25 изолята Pgt: первый – с характерным для популяции ИТ 0, второй – редкий изолят с ИТ 1.
Индукция и подавление генерации АФК и NO. Для изучения влияния АФК и NO на патогенез растения были обработаны фармакологическими препаратами. Генерацию АФК индуцировали с помощью 0.01%-ного (0.63 мМ) водного раствора салициловой кислоты (СК, “Sigma-Aldrich”, США) [27]. Для подавления образования АФК применяли 0.01%-ный (0.36 мМ) водный раствор ингибитора Са2+-каналов верапамила (“Sigma-Aldrich”, США) [28]. Образование NO обеспечивали путем обработки 0.15 мМ раствором донора NO нитропруссида натрия (НП, “MP Biomedicals”, USA) [29]. Для снижения содержания NO применяли 1 мМ раствор поглотителя NO (скавенджера) с-PTIO (2-phenyl-4, 4, 5, 5-tetramethylimidazoline-1-oxyl 3-oxide, “Sigma-Aldrich”, США) [30]. Раствор СК наносили путем опрыскивания (1мл/10 растений), а для введения остальных препаратов концы срезанных листьев помещали в кюветы с растворами на 24 ч. Затем листья инкубировали на фильтровальной бумаге, смоченной 0.005 %-ным раствором бензимидазола (“Sigma-Aldrich”, США) [31]. Для определения влияния АФК и NO на ключевые ранние стадии взаимодействия обработку проростков всеми реактивами проводили в три срока, начиная: 1) за 24 ч до инокуляции; 2) одновременно c инокуляцией; 3) через 24 ч после инокуляции (п/ин). Во втором варианте листья опрыскивали раствором СК за 5 мин до инокуляции, а после подсыхания листьев наносили суспензию урединиоспор. В качестве контроля использовали инфицированные растения, не обработанные препаратами.
Определение содержания АФК и NO. Содержание O2•– определяли акцепторным методом по превращению адреналина в адренохром при λ = 490 нм с помощью спектрофтометра СФ-2000 (ОКБ “Спектр”, Россия) [32]. Пероксид водорода определяли с помощью ксиленолового оранжевого при λ = 560 нм [33].
Содержание NO в тканях измеряли с помощью реакции Грисса при длине волны λ = 527 нм [34]. Концентрацию O2•– , Н2О2 и NO рассчитывали в мкмоль/г сырой массы листьев. Анализы проводили через 12, 24, 48, 72, 120 и 240 ч п/ин, в двух биологических (по 10 отрезков листьев) и трех аналитических повторностях. На графиках приведены средние значения и стандартные ошибки.
Локализация АФК в тканях и цитологические исследования. Присутствие O2•– и Н2О2 в тканях определяли путем витального окрашивания листьев 0.1%-ным нитросиним тетразолием (НСТ, “Acros”, США) или 0.02%-ным 3,3′-диаминобензидин тетрахлоридом (ДАБ, “Sigma-Aldrich”, США), при этом образовывались нерастворимые синий или вишневый формазаны соответственно [35]. Растворы вводили в листья с помощью вакуум-инфильтрации и инкубировали в течение 30 мин. После окрашивания материал фиксировали в лактофеноле (фенол, молочная кислота, глицерин, дистиллированная вода, этиловый спирт в соотношении 1 : 1 : 1 : 1 : 8). Развитие инфекционных структур гриба изучали на фиксированных листьях, предварительно окрашенных с помощью НСТ или ДАБ. Кусочки листьев окрашивали 1%-ным анилиновым синим (“Sigma-Aldrich”, США) в лактофеноле, затем дифференцировали окраску насыщенным водным раствором хлоралгидрата (“Acros”, США) [36]. В результате структуры гриба окрашивались в синий цвет, неповрежденные клетки растений – в светло-голубой, отмершие в результате реакции СВЧ – в темно-синий. Степень разрушения клеток дополнительно контролировали по автофлуоресценции окисленных фенолов в цитоплазме в отраженном свете с волной возбуждения λmax= 355 нм и свечения λmax= 420 нм. При интенсивном разрушении цитоплазмы в результате реакции СВЧ клетки имели яркую зеленую автофлуоресценцию [36]. Цитологические исследования проводили с помощью светового микроскопа ARSTEK Е62 (“ARSTEK”, Китай) с цифровой камерой Sony Alpha A6400 APS-C с разрешением 24.2 МП/дюйм (“Sony”, Япония).
Для цитологических исследований использовали по пять растений С29 и ТсSr25. При всех сроках наблюдений учитывали результаты развития 30–40 инфекционных единиц, при этом определяли доли (%): проросших спор, ростковых трубок с аппрессориями, аппрессориев на устьицах от их общего количества, аппрессориев, образовавших подустьичные везикулы (ПВ), площадь колоний (мкм2). Размеры колоний (мкм) измеряли окуляр-микрометром, их площадь рассчитывали по формуле площади эллипса. Для анализа результатов развития инфекционных структур на поверхности растений был проведен однофакторный дисперсионный анализ и была рассчитана наименьшая существенная разность при р ≤ 0.05 (НСР0.05) [37]. По остальным данным рассчитывали средние значения и стандартные ошибки.
РЕЗУЛЬТАТЫ И ИХ ОБСУЖДЕНИЕ
Результаты визуальной оценки влияния фармакологических препаратов. На контрольных растениях восприимчивого сорта С29 изоляты Pgt развивались успешно, и через 240 ч п/ин формировали крупные пустулы (ИТ 4) (табл. 1). Обработка СК приводила к небольшому уменьшению размеров пустул и появлению вокруг них зон хлороза (ИТ 3+), остальные реактивы не оказали влияния на ИТ. На контрольных растениях ТсSr25, инфицированных изолятом Pgt1, признаков заражения не отмечено (ИТ 0), а при использовании изолята Pgt2 образовывались мелкие пустулы, окруженные зоной некроза (ИТ 1). После обработки СК на устойчивых растениях, зараженных изолятами Pgt1 и Pgt2, проявлялись только мелкие некротические пятна (ИТ ;). Применение НП, одновременно с инокуляцией Pgt1 приводило к появлению на листьях микроскопических некрозов, а в комбинации с Pgt2 – к расширению зоны некроза вокруг пустул (ИТ 2). Обработка растений верапамилом за 24 ч и одновременно с инокуляцией, а также с-PTIO одновременно с инокуляцией, снизило интенсивность отмирания тканей вокруг пустул (ИТ 2). В остальных вариантах опыта ИТ растений ТсSr25 не изменялся. Эти результаты свидетельствуют о физиологическом воздействии АФК и АФА на взаимодействие пшеницы с Pgt.
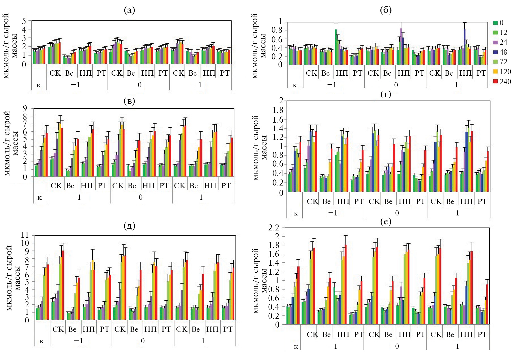
Влияние препаратов на содержание АФК и NO в растениях. Исследование динамики накопления O2•– показало, что в инфицированных растениях колебания происходили в течение первых 48 ч п/ин, а дальше его уровень стабилизировался (приведены данные за период 0–48 ч п/ин). В контрольных инфицированных растениях восприимчивого сорта С29 содержание O2•– колебалось в пределах 1.3–1.6 мкмоль/г сырой массы (рис. 1а). В контрольных устойчивых растениях линии ТcSr25 через 12 ч п/ин отмечено повышение уровня супероксид-аниона в 1.3–1.5 раза по сравнению с контролем, сильнее выраженное в комбинации с Pgt1 (ИТ 0), а через 24 ч п/ин содержание O2•– падало (рис. 1).
Рис. 1. Динамика изменения содержания супероксид-аниона O2•– в инфицированных P. graminis f. sp. tritici растениях восприимчивого сорта пшеницы и устойчивой линии при обработке фармакологическими препаратами: С-29 – Саратовская 29; Тс-1 и Тс-2 – линия ТсSr25, инфицированная изолятами Pgt1 и Pgt2, соответственно; Ве – верапамил; НП – нитропруссид натрия; РТ – с-PTIO; СК – салициловая кислота; –1, 0 и 1 – обработка растений препаратами за 24 ч, одновременно и через 24 ч п/ин. 0, 12, 24, 48 – время после инокуляции (ч).
Применение СК привело к повышению уровня O2•– до инфицирования растений во всех комбинациях в 1.7–1.9 раз. В восприимчивых растениях уровень позже значительно не изменялся. Обработка СК устойчивых растений приводила к значительному повышению содержания O2•– через 12 ч п/ин, а через 48 ч п/ин оно снижалось до уровня контроля. Ингибитор Са2+-каналов верапамил обеспечивал 2–3-кратное снижению содержания супероксид-аниона во всех комбинациях. Донор NO НП и скавенджер с-PTIO не вызывали достоверных изменений содержания O2•– в растениях.
Изучение динамики образования пероксида водорода показало, что в контрольных инфицированных растениях сорта С29 его уровень повышался к моменту спорогенеза через 240 ч п/ин (в 1.2 раза по отношению к исходному уровню) (рис. 2а). Предобработка растений С29 СК за 24 ч до инокуляции стимулировала повышение содержания Н2О2 в 1.3–1.6 раза через 72–240 ч п/ин. При более поздних сроках применения СК эффект проявлялся позже, но максимальные уровни Н2О2 в вариантах достоверно не отличались. Инфильтрация тканей верапамилом приводила к 1.6–2.1-кратному снижению уровня Н2О2 к контролю через 0–72 ч п/ин во всех вариантах опыта. Позже влияние верапамила ослабевало, и к концу эксперимента содержание Н2О2 в восприимчивых растениях было близким к контролю. Обработка восприимчивых растений НП и c-PTIO существенно не влияла на содержание Н2О2.
Рис. 2. Динамика накопления пероксида водорода Н2О2 (а, в, д) и оксида азота NO (б, г, е) в тканях сорта Саратовская 29 (а, б) и линии ТсSr25 при инфицировании изолятами Pgt1 (в, г) и Pgt2 (д, е): СК – салициловая кислота; Ве – верапамил; НП – нитропруссид; РТ – с-PTIO; –1, 0 и 1 – обработка растений препаратами за 24 ч, одновременно и через 24 ч п/ин. 0, 12, 24, 48, 72, 120, 240 – время после инокуляции, ч.
В контрольных устойчивых растениях линии ТсSr25 при инфицировании Pgt1 значительное усиление накопления Н2О2 началось через 48 ч п/ин, и повышалось до конца опыта (в 3.9 раза к исходному уровню) (рис. 2в). В комбинации с изолятом Pgt2 резкое усиление генерации Н2О2 начиналось через 72 ч п/ин и к концу эксперимента было выше исходного в 4.5 раза (рис. 2д). Применение СК на линии ТсSr25 приводило к 1.5-кратному увеличению накопления Н2О2 к контролю через 24 ч после начала обработок во всех вариантах опыта.
В комбинации с изолятом Pgt1 при предобработке СК за 24 ч до инокуляции отмечено усиление накопления Н2О2 уже через 24 ч п/ин и через 120 ч п/ин его содержание выше контрольного в 1.4 раза, а затем снижалось. Сходный уровень и динамика образования Н2О2 наблюдались при более поздних обработках растений. В комбинации с изолятом Pgt2 предобработка CК индуцировала значительное усиление образования Н2О2 через 48 ч, и прогрессирующий рост через 72–240 ч п/ин. При обработке СК одновременно и через 24 ч после инокуляции динамика синтеза пероксида водорода была сходной, но максимальный уровень был ниже. Ранее сходное усиление генерации Н2О2 было отмечено при предобработке СК растений пшеницы, инфицированной P. triticina [27].
Обработка верапамилом приводила к 1.5–1.8-кратному подавлению образования Н2О2 к контролю. Через 120 ч после окончания обработки влияние верапамила частично нивелировалось, и уровень Н2О2 возрастал. После инфильтрации НП устойчивых растений, зараженных изолятами Pgt1 и Pgt2, усиление накопления Н2О2 происходило через 48 ч после прекращения обработки, но максимальный уровень пероксида водорода был ниже, чем в вариантах с СК. Стимулирующее влияние НП на образование Н2О2 было наиболее выражено в комбинации с изолятом Pgt2. Обработка с-PTIO приводила к достоверному умеренному снижению уровня Н2О2 через 48–240 ч п/ин при взаимодействии с двумя изолятами Pgt.
Исследования уровня NO в контрольных инфицированных растениях сорта С29 показало, что его содержание в тканях было стабильным в течение 0–48 ч п/ин, а позже слабо снижался (–10% к исходному уровню) (рис. 2б). Обработка СК приводила к повышению уровня NO в 1.2–1.3 раза, но значительно не влияла на содержание NO. В тоже время, обработка верапамилом слабо снижала уровень NO (в 1.2 раза), за исключением падения NO через 48 ч п/ин. Инфильтрация тканей инфицированных восприимчивых растений растром НП вызывала увеличение содержания NO в 1.5–2.1 раза через 12–24 ч после начала обработки, через 12 ч уменьшалось (в 1.3 раза), а через 24 ч возвращалось к исходному уровню (рис. 2б). Обработка растений скавенджером NO c-PTIO приводила к 1.6–2-кратному снижению уровня NO в течение 72 ч после обработки, а позже уровень вещества увеличивался, но не достигал исходного уровня. Относительно кратковременный эффект НП как донора NO описывался ранее [38].
При взаимодействии линии ТсSr25 с изолятом Pgt1 накопление NO имело двухфазный характер с пиками через 48–72 и 240 ч п/ин (рис. 2г), а с изолятом Pgt2 – однофазный с пиком через 240 ч/ин (рис. 2е). Предобработка с помощью СК привела к усилению образования NO через 24 ч после окончания обработки во всех вариантах (в 1.3–1.5 раза выше контроля). При всех сроках применения СК в комбинации с Pgt1 сохранялась двухфазный, а в комбинации с Pgt2 – однофазный характер накопления NO.
Обработка НП инфицированных устойчивых растений линий ТсSr25 приводила к появлению пика накопления NO через 24 ч после начала инфильтрации препаратом. Динамика образования NO зависела от сроков применения НП. В комбинации с изолятом Pgt1 отмечен пик образования NO через 0–12 ч п/ин и повторное усиление генерации NO через 48–240 ч п/ин. При более позднем применении НП усиление накопления оксида азота происходило через 24–240 ч п/ин, с падением через 120 ч п/ин. Индуцирующее влияние СК и НП на максимальное образование NO было сходным. Обработка растений скавенджером NO с-PTIO приводила к более значительному снижению содержания NO, чем ингибитором Ca2+-каналов верапамилом, но через 120–240 ч п/ин действие препаратов снижалось.
Ранее на примере взаимодействия Triticum aestivum с P. striiformis f. sp. tritici и томатов с возбудителем мучнистой росы Oidium neolycopersici также было выявлено двухфазное накопление NO в устойчивых комбинациях [21, 39]. При этом повышение уровня NO в томатах объясняли развитием системной приобретенной устойчивости (SAR), что было подтверждено анализом экспрессии генов PR-белков [39]. При изучении реакций зараженного P. coronata устойчивого сорта овса установлено взаимное подавление генерации АФК и NO при повышении уровня одного из них [22]. Однако, в наcтоящих экспериментах таких закономерностей не было установлено.
Ранее в ходе изучения регуляторной роли АФК и NO в защите растений были применены различные методы (использование флуоресцентных зондов, биохимические исследования и др.), разнообразные модели, а также наборы фармакологических препаратов (индукторов, ингибиторов и скавенджеров NO и АФК) с широким спектром концентраций. В частности, НП использовали в концентрации от 0.1 мкмМ до 2.5 мМ [11, 12, 20]. Различные методические подходы значительно затрудняют сравнение и интерпретацию исследований. Установлено, что эффекты АФК и АФА зависят от их концентраций в тканях [12]. Максимальное содержание NO в тканях A. thaliana образовывалось после обработки НП в концентрации 20 мкМ, а реакция СВЧ сильнее проявлялась при 0.5 мкМ [40]. При высоких концентрациях NO и АФК в тканях может образовываться токсичный пероксинитрит ONOO–, оказывающий антимикробное действие [41], а при низких возможна индукция SAR через СК-зависимый каскад [42]. После искусственного повышения уровня АФК и NO может изменяться естественное протекание защитных реакций за счет модификации структуры белков, участвующих во взаимодействиях [10, 12].
В последние годы в практике растениеводства стали применять доноры NO для стимуляции физиологических процессов и устойчивости к абиотическим стрессам, при этом используют низкие или умеренные концентрации препаратов (например, НП в концентрации 0.2–0.5 мкМ) [11]. В настоящих экспериментах были использованы растворы СК и НП в концентрациях, способствующих образованию O2•–, Н2О2 и NO в количествах, сравнимых с контролем. Вероятно, такие воздействия создавали близкие к возникающим в естественных патосистемах соотношениям АФК и NO.
Цитологические особенности взаимодействия патогена с растениями при индукции или подавления генерации АФК и NO. После попадания инокулюма Pgt на поверхность растений восприимчивого сорта происходило набухание урединиоспор. Затем образовывались ростковые трубки, большая часть которых (80.3%) направлялись к устьицам и образовывали на них аппрессории через 12 ч п/ин (максимально через 12 ч п/ин), обеспечивающие проникновение в ткани (рис. 3а). На сорте С29 38% ростковых трубок формировали аппрессории, из них 45% обеспечивали проникновение в ткани, и на устьицах оставались пустые клеточные оболочки (рис. 3а). В остальных случаях аппрессории прекращали развитие на устьицах (рис. 3б). Через 48 ч п/ин остановившиеся на устьицах аппрессории погибали, и в их цитоплазме накапливалась Н2О2, а на клеточных стенках контактирующих с ними, появлялись отложения (рис. 3г). После проникновения в устьица гриб образовывал ПВ, а затем инфекционные гифы и гаустории в мезофилльных клетках (рис. 3в, д). Колонии динамично развивались и образовывали урединиопустулы со спорами через 240 ч п/ин. Достоверного влияния фармакологических препаратов на ориентацию ростковых трубок к устьицам, интенсивность образования аппрессориев и проникновение в устьица сорта С29 не выявлено (табл. 1). Значительных цитологических изменений клеток в зоне колоний в контрольных и обработанных фармакологическими препаратами растений не обнаружено.
Рис. 3. Результаты влияния индукторов генерации АФК и NO на развитие Pgt на восприимчивом сорте Саратовская 29 (С29) (а, в, д) и устойчивой линии TcSr25 (б, г, е–т): а – пустой аппрессорий на устьице, б – аппрессорий на устьице с окрашенными митохондриями, в – колония с инфекционными гифами и гаусториями в мезофилльных клетках, г – накопление Н2О2 в цитоплазме отмершего аппрессория и появление отложений на стенках замыкающих клеток устьица, д – накопление O2•– в цитоплазме аппрессория и ПВ на устойчивом растении, е – накопление Н2О2 в аппрессории и ПВ, ж – повреждение цитоплазмы замыкающих клеток устьиц (стрелка), з – накопление Н2О2 в цитоплазме замыкающих клеток устьиц и примыкающих клеток, и – начальный этап гибели клетки растения в результате реакции СВЧ после внедрения гаустории, к – накопление Н2О2 в аппрессории и клетке, отмершей после внедрения гаустории, л – усиление окраски цитоплазмы клетки, погибшей в результате реакции СВЧ после обработки СК, м – автофлуоресценция цитоплазмы клетки, отмершей в результате реакции СВЧ после обработки СК, н – клетки растения с усиленной окраской и погибшие в результате реакции СВЧ, о – интенсивная реакция СВЧ в зоне колонии в устойчивой линии после обработки СК, п – автофлуоресценция отмерших клеток в зоне пустулы, р – образование инфекционных структур после обработки верапамилом, с – некротические клетки, погибшие в результате реакции СВЧ и зона коллапсированных клеток с усиленной окраской цитоплазмы (стрелка) после обработки НП, т – интенсивная автофлуоресценция клетки с разрушенной в ходе СВЧ цитоплазмой (стрелка) и слабая автофлуоресценция коллапсированных клеток рядом. Окраска: а, в, ж, и, л, н. о, р – анилиновый синий; б, д – НСТ; г, к, с – анилиновый синий + ДАБ; е, з – ДАБ; м, п, т – автофлуоресценция. Обозначения: ап – аппрессорий, га – гаустория, иг – инфекционная гифа, нк – некротическая клетка растения, окс – отложения на клеточной стенке, пв – подустьичная везикула, рт – ростковая трубка, с – спора, у – устьице, уп – урединиопустула.
Для изучения комплексной роли АФК и NO в защите мягкой пшеницы от Pgt была использована линия пшеницы с транслокацией от T. ponticum, предотвращающая проникновение в устьица и мезофилльные клетки [24, 36]. Такой эффект считается характерным для видов-нехозяев и был назван “прегаусториальной устойчивостью” для патогенных грибов [43] или “устьичным иммунитетом” для бактерий [44]. Аналогичное действие оказывает ген Sr31 ржи S. cereale, защищавший пшеницу во всем мире в течение нескольких десятилетий [45]. В экспериментах были использованы два изолята, из них один взаимодействовал с линией как с нехозяином, а второй – как с хозяином с проявлением реакции СВЧ. При постановке экспериментов было учтено, что характер взаимодействия между пшеницей и ржавчинными грибами определяется уже в течение первых 2–3 сут п/ин, когда образуется необходимый для взаимодействия с растениями набор инфекционных структур и происходит внедрение питающих патогена гаусторий в клетки хозяина [46]. Обработка фармакологическими препаратами была проведена в три срока, чтобы обеспечить их воздействие на развитие Pgt на поверхности растений, при внедрении в устьица и начале взаимодействия с мезофилльными клетками.
На устойчивой линии ТсSr25 изоляты Pgt1 и Pgt2 образовывали меньше аппрессориев, по сравнению с сортом С29 (26.4 и 30.2% соответственно), и обработка препаратами не влияла на интенсивность их формирования. Однако на растениях, обработанных НП за 24 ч и одновременно с инокуляцией, достоверно увеличивалась доля аппрессориев на устьицах, что свидетельствовало об улучшении ориентации ростковых трубок к ним (табл. 1). Оценка результатов развития Pgt через 240 ч п/ин показала, что обработка восприимчивых растений НП за 24 ч и одновременно с инокуляцией приводила к достоверному увеличению площади колоний, а обработка с-PTIO оказывала противоположное действие на развитие патогена (рис. 4). Площадь колоний патогена в восприимчивых растениях после применения СК и верапамила снижалась на 12–18%.
Таблица 1. Влияние обработки фармакологическими препаратами на реакции пшеницы и развитие инфекционных структур Pgt на поверхности растений
Комбинация | Вариант опыта** | ИТ | Доля аппрессориев, % | ||
от числа проросших спор | на устьицах от их общего числа | отмерших на устьицах | |||
С29-Pgt2 | Контроль | 4 | 3.2 | 80.3 | 55.3 |
CK –24 ч | 3+ | 42.1 | 78.8 | 61.2 | |
CK 0 ч | 3+ | 39.4 | 83.2 | 55.4 | |
Верапамил –24 ч | 4 | 43.5 | 85.1 | 53.6 | |
Верапамил 0 ч | 4 | 40.3 | 80.9 | 54.7 | |
НП –24 ч | 4 | 36.2 | 76.5 | 58.5 | |
НП 0 ч | 4 | 39.4 | 83.4 | 52.2 | |
с-PTIO –24 ч | 4 | 40.1 | 82.6 | 56.1 | |
с-PTIO 0 ч | 4 | 37.1 | 85.1 | 50.9 | |
ТсSr25-Pgt1 | Контроль | 0 | 26.5 | 83.3 | 67.2 |
CK –24 ч | ; | 24.2 | 89.3 | 92.2* | |
CK 0 ч | ; | 27.3 | 83.4 | 87.5* | |
Верапамил –24 ч | 0 | 28.0 | 78.2 | 45.3* | |
Верапамил 0 ч | 0 | 27.2 | 87.3 | 53.4* | |
НП –24 ч | 0 | 28.7 | 95.3* | 73.6 | |
НП 0 ч | ; | 25.1 | 100.0* | 65.5 | |
с-PTIO -24 ч | 0 | 24.2 | 86.2 | 69.0 | |
с-PTIO 0 ч | 0 | 26.4 | 82.5 | 65.2 | |
TcSr25-Pgt2 | Контроль | 1 | 32.8 | 91.3 | 66.3 |
CK –24 ч | ; | 36.1 | 92.5 | 88.6* | |
CK 0 ч | ; | 29.5 | 87.4 | 90.2* | |
Верапамил –24 ч | 2 | 33.6 | 91.2 | 61.4 | |
Верапамил 0 ч | 2 | 29.4 | 89.0 | 58.2* | |
НП –24 ч | 1 | 35.0 | 100.0* | 62.3* | |
НП 0 ч | 2– | 31.7 | 100.0* | 62.5 | |
с-PTIO –24 ч | 1 | 34.5 | 92.5 | 65.6 | |
с-PTIO 0 ч | 2 | 32.9 | 90.4 | 68.2 | |
НСР0.05 | – | 4.5 | 6.5 | 5.6 | |
* Достоверно при р≤ 0.05. ** Время обработки: –24 ч – за 24 ч до инокуляции, 0 ч – одновременно с инокуляцией. ИТ – инфекционный тип, ; – мелкие некротические пятна; С29 – сорт Саратовская 29; ТсSr25 – линия сорта Thatcher с геном Sr25; Pgt1 и Pgt2 – изоляты.
Ранее при изучении роли NO основное внимание было уделено его роли в защите реакций от абиотических и биотических факторов. В настоящих исследованиях впервые было показано, что повышенный уровень NO во время развития гриба на поверхности растений может улучшать взаимодействие авирулентных изолятов с устойчивыми растениями. При развитии Pgt на восприимчивом сорте С29 повышенный уровень NO на первых этапах взаимодействия создавал пролонгированный эффект и обеспечивал формирование колоний большего размера, чем в контроле. Ранее была продемонстрирована регулирующая роль NO в мутуалистических ассоциациях эндофитных грибов с растениями, а также формировании симбиотической микоризы [47, 48]. Эти факты подтверждают универсальную роль NO в регуляции жизнедеятельности организмов.
На линии ТсSr25 в цитоплазме значительной части аппрессориев и подустьичных везикул (ПВ) было установлено накопление O2•– в местах контакта с замыкающими клетками устьиц, более выраженное при взаимодействии с изолятом Pgt1 (рис. 3д). Генерация O2•– замыкающими клетками устьиц объясняет повышение его уровня через 12 ч п/ин, выявленное биохимическим методом (рис. 1). Позже в аппрессориях и ПУВ накапливался Н2О2, их цитоплазма интенсивно окрашивалась, что характерно для разрушенных клеток (рис. 3е). На растениях, обработанных СК за 24 ч и одновременно с инокуляцией, значительно повысилась доля погибших на устьицах аппрессориев (табл. 1), а также ускорилось разрушение их цитоплазмы. Цитоплазма контактирующих с ними замыкающих клеток устьиц окрашивалась, что указывает на ее повреждение (рис. 3ж). Эти явления совпадали с повышением уровня O2•– и Н2О2 в тканях (рис. 1, 2в, д). Через 24–48 ч в цитоплазме поврежденных замыкающих клеток устьиц и клеток в подустьичной полости накапливался Н2О2 (рис. 3з), что объясняет значительное повышение его уровня (рис. 2в). Обработка верапамилом устраняла накопление O2•– и значительно снижала долю погибших на устьицах аппрессориев, а НП и с-PTIO не влияли на проникновение Pgt в устьица (табл. 1).
Изолят Pgt1 после проникновения в устьица линии ТсSr25 преимущественно (75% случаев) прекращал развитие на стадиях ПВ или первой инфекционной гифы. В остальных случаях формировались мелкие колонии с 1–3 гаусториями, внедрение которых приводило к развитию реакции СВЧ через 24–48 ч п/ин (рис. 3и). В растениях с индуцированной СК генерацией АФК изолят Рgt1 прекращал развитие преимущественно на стадиях аппрессория, ПВ или инфекционной гифы. В редких случаях образовывалась гаустория в клетке. В таких клетках уже через 24 ч п/ин накапливался Н2О2, их цитоплазма быстро разрушалась в ходе интенсивной реакции СВЧ (рис. 3к, л). Через 3 сут п/ин цитоплазма клетки проявляла яркую зеленую автофлуоресценцию (рис. 3м). Изолят Pgt2 формировал колонии большего размера, чем Pgt1. Через 48–72 ч п/ин в их зоне проявлялась реакция СВЧ, но гифы выходили за ее зону (рис. 3н). В растениях, обработанных СК, через 48–72 ч усиливалась реакция СВЧ, что совпадало с усилением накопления Н2О2 и NO в тканях (рис. 2д, е). В результате около 60% колоний прекращали развитие через 72 ч п/ин, и гифы не выходили за пределы зоны СВЧ (рис. 3о). После обработки растений верапамилом и с-PTIO реакция СВЧ не проявлялась (рис. 3р). После применения донора NO зона интенсивно разрушенных в ходе реакции СВЧ клеток не увеличивалась, но расширялась зона коллапсированных клеток с усиленной окраской цитоплазмы, что свидетельствовало о первых этапах разрушения (рис. 3с). Клетки с интенсивно разрушенной цитоплазмой с яркой зеленой автофлуоресценцией были в центре колоний, а окружающие клетки флуоресцировали слабо (рис. 3т).
Средние размеры колоний авирулентных изолятов в линии ТсSr25 после обработки СК сокращались в 1.5–1.9 раза по сравнению с контролем, и размеры зон некроза были близки к ним (рис. 4). При инфильтрации НП одновременно и через 24 ч после инокуляции зоны некроза были больше, чем площадь колоний. При обработке верапамилом и с-PTIO площадь колоний слабо увеличивалась, а зоны некроза незначительно снижались при ранних сроках применения препаратов.
Рис. 4. Влияние обработки фармакологическими препаратами на площадь колоний патогена и зоны реакции СВЧ (240 ч п/ин): площадь, мкм2∙103: I – колонии, II – зоны некроза. С29-2 – сорт Саратовская 29 инфицированный изолятом Pgt2, Тс-1 и Тс-2 – линия TcSr25, инфицированная изолятами Pgt1 и Pgt2, соответственно. Варианты опыта: к – контроль; 1, 2, 3 – обработка СК; 4, 5, 6 – обработка верапамилом; 7, 8, 9 – обработка НП; 10, 11, 12 – обработка с-PTIO; сроки применения препаратов: 1, 4, 7, 10 – за 24 ч до инокуляции; 2, 5, 8, 11 – одновременно с инокуляцией; 3, 6, 9, 12 – через 24 ч после инокуляции.
В научной литературе дискутируется вопрос о порядке возникновения сигналов в ответ на действие биотических и абиотических стрессов и значении АФК и NO в защите растений. Предложена модель, согласно которой в ответ на действие стрессора возникают потоки Сa2+ в цитозоль, что приводит к поляризации внешней мембраны и активации Сa2+-зависимой НАДФ∙Н-оксидазы, которая продуцирует первичную форму АФК – супероксид-анион O2•–, превращающийся с помощью супероксиддисмутазы в пероксид водорода Н2О2 [49]. Вслед за этим в растениях активируются ферменты синтеза NO [50]. На примере A. thaliana, инфицированного Verticillium dahlia было показано, что обработка растений ингибитором НАДФ∙Н-оксидазы и поглотителем Н2О2 приводит к блокировке образования NO [52]. Отмирание клеток сои в результате реакции СВЧ индуцировалось не NO, а Н2О2 [40]. Однако, существует мнение, что NO является ключевым активатором защиты растений-нехозяев (PTI-системы) и обеспечивает их базовую защиту [18, 51]. При использовании высоких концентрация НП (2.5 мМ) NO был основной причиной реакции СВЧ [21]. После заражения растений вирусами наблюдалась быстрая генерация NO, на основании чего сделано предположение о том, что газ является индуктором реакции СВЧ [53]. После изучения взаимодействия Puccinia coronatа с овсом предположили, что АФК и NO не являются индукторами реакции СВЧ, но в других экспериментах было показано, что для реализации реакции СВЧ необходимы как NO, так и Н2О2 [8, 22, 54]. При взаимодействии A. thaliana с авирулентными штаммами Pseudomonas syringae характерный для СВЧ коллапс клеток растений проявлялся до генерации NO. В связи с этим авторы предполагали, что NO не является триггером СВЧ, а обеспечивает межклеточную передачу сигнала об СВЧ в соседние клетки [17].
Полученные результаты показали, что Ca2+-зависимая генерация супероксид-аниона замыкающими клетками устьиц при контакте с аппрессориями авирулентных изолятов Pgt является основной причиной устьичного иммунитета, который предотвращает проникновение патогена в ткани. Эксперименты с использованием НП в качестве донора NO и скавенджера с-PTIO показали, что оксид азота не имеет существенного значения в реализации этой реакции. В эксперименте с предобработкой устойчивых растений СК было показано усиление генерации супероксид-аниона, разрушение замыкающих клеток устьиц и накопление в них Н2О2, а через 24 ч п/ин следовал всплеск генерации NO. Ранее аналогичный всплеск синтеза NO был отмечен после прекращения развития неспециализированного гриба P. triticina на стадии аппрессориев на устьицах при заражении нехозяина A. thaliana [18]. Авторы сделали вывод о ключевой роли NO в реализации защиты PTI-типа, но при этом не изучали динамику генерацию супероксид-аниона. Вероятно, вывод о ключевой роли NO в PTI является ошибочным.
Полученные в работе результаты изучения взаимодействия устойчивой линии TcSr25 со вторым изолятом, подтвердили совместное участие АФК и NO в реализации реакции СВЧ. Применение фармакологических препаратов с противоположным действием показало, что АФК генерировались раньше и оказывали большее разрушительное действие на клетки растений, чем NO. При этом повышение уровня NO приводило к увеличению числа коллапсированных клеток и повышению проницаемости их цитоплазмы. Результаты, полученные в настоящей работе, подтверждают мнение о том, что NO является скорее сигналом для распространения реакции СВЧ в тканях устойчивых растений-хозяев.
Таким образом, полученные результаты показали, что повышение уровня оксида азота в результате обработки растений НП до или одновременно с инокуляцией стимулировало развитие поверхностных инфекционных структур Pgt (ростковых трубок и аппрессориев) на поверхности устойчивых растений, а также усиливало рост колоний в восприимчивом сорте. При взаимодействии Pgt с устойчивой линией с геном Sr25 активные формы кислорода имели решающее значение в предотвращении проникновении патогена в устьица (супероксид-анион) и скорости разрушении цитоплазмы инфицированных клеток (пероксид водорода). NO не влиял на взаимодействие Pgt с устьицами растений, но способствовал распространению сигнала о реакции СВЧ на соседние с пораженными клетки.
ФИНАНСИРОВАНИЕ. Работа выполнена при финансовой поддержке Российского научного фонда (проект 22-24-20067), https://rscf.ru/project/22-24-20067.
КОНФЛИКТ ИНТЕРЕСОВ. Авторы заявляют об отсутствии конфликта интересов.
СОБЛЮДЕНИЕ ЭТИЧЕСКИХ СТАНДАРТОВ. Данная статья не содержит исследований с участием животных или людей в качестве объектов исследования.
Об авторах
В. В. Кнауб
Омский государственный аграрный университет имени П.А. Столыпина
Автор, ответственный за переписку.
Email: lya.plotnikova@omgau.org
Россия, Омск, 644008
Л. Я. Плотникова
Омский государственный аграрный университет имени П.А. Столыпина
Email: lya.plotnikova@omgau.org
Россия, Омск, 644008
Список литературы
- FAOSTAT. 2021. https://www.fao.org/faostat (accessed on 12 May 2024).
- Singh R.P., Hodson D.P., Jin Y., Lagudah E.S., Ayliffe M.A., Bhavani S. et al. // Phytopathology. 2015. V. 10. P. 872–884.
- Hovmøller M.S., Walter S., Bayles R., Hubbard A., Flath K., Sommerfeldt N. et al.// Plant Pathol. 2016. V. 65. P. 402–411. https://doi.org/10.1111/ppa.12433
- Baranova O.A., Sibikeev S.N., Konkova E.A. // Proceedings on Applied Botany. Genetics and Breeding. 2023. V. 184. № 1. P. 177–186. https://doi.org/10.30901/ 2227-8834-2023-1-177-186
- Gultyaeva E., Shaydayuk E., Kosman E. // Agriculture. 2022. V. 12. № 1957. https://doi.org/10.3390/agriculture12111957
- Yuan M., Pok B., Ngou M., Ding P., Xin X.-F. // Curr. Opin. Plant Biol. 2021. V. 62. № 102030. https://doi.org/10.1016/j.pbi.2021.102030
- Chen J., Gutjahr C., Bleckmann A., Dresselhaus T. // Mol. Plant. 2015. V. 8. P. 595–611. https://doi.org/10.1016/j.molp.2015.01.023
- Delledonne M., Xia Y., Dixon R.A., Lamb C. // Nature. 1998. V. 394. P. 585–588.
- Аллагулова Ч.Р., Юлдашев Р. А., Авальбаев А.М. // Физиология растений. 2023. Т. 70. № 2. С. 115–132. https://doi.org/10.31857/S0015330322600437
- Мамаева А.С., Фоменков А.А., Носов А.В., Новикова Г.В. // Физиология растений. 2017. Т. 64. № 5. С. 346–354. https://doi.org/10.7868/S0015330317050074
- Sun C., Zhang Y., Liu L., Liu X., Li B., Jin C., Lin X. // Hortic. Res. 2021. V. 8. № 71. https://doi.org/10.1038/s41438-021-00500-7
- Kolbert Z., Barroso J.B., Brouquisse R., Corpas F.J., Gupta K.J., Lindermayr C., et al. // Nitric Oxide. 2019. V. 93. P. 53–70. https://doi.org/10.1016/j.niox.2019.09.006
- Hancock J.T., Neill S.J. // Plants. 2019. V. 8. P. 41. https://doi.org/10.3390/plants8020041
- Maslennikova D.R., Allagulova C.R., Fedorova K.A., Plotnikov A.A., Avalbaev A.M., Shakirova F.M. // Russ. J. Plant Physiol. 2017. V. 64. P. 665–671. https://doi.org/10.1134/S1021443717040094
- Карпец Ю.В., Колупаев Ю.Е., Луговая А.А., Швиденко Н.В., Шкляревский М.А., Ястреб Т.О. // Физиология растений. 2020. Т. 67. № 4. С. 408–416. https://doi.org/10.31857/S0015330320030148
- Bezrukova M.V., Lubyanova A.R., Maslennikova D.R., Shakirova F.M., Kudoyarova G.R. // Russ. J. Plant Physiol. 2021. Т. 68. № 2. С. 307–314. https://doi.org/ 10.1134/S1021443721010040
- Zhang C., Czymmek K.J., Shapiro A. D. // Mol. Plant Microbe Interact. 2003. V. 16. P. 962–972.
- Shafiei R., Hang C., Kang J.G., Loake G.J. // Mol. Plant Pathol. 2007. V. 8. P. 773–784.
- Khan M., Ali S., Al Azzawi T.N.I., Yun B.-W. // Int. J. Mol. Sci. 2023. V. 24. № 4782. https://doi.org/10.3390/ijms24054782
- Martínez-Medina A., Pescador L., Terrón-Camero L.C., Pozo M.J., Romero-Puertas M.C. // J. Exp. Bot. 2019. V. 70. № 17. P. 4489–4503. https://doi.org/10.1093/jxb/erz289
- Guo P., Cao Y., Li Z., Zhao B. // Plant, Cell & Environment. 2004. V. 27. P. 473–477.
- Tada Y., Mori T., Shinogi T., Yao N., Takahashi S., Betsuyaku S., et al. // Mol. Pl.-Micr. Int. 2004. V. 17. P. 245–253.
- Qiao M., Sun J., Liu N., Sun T., Liu G., Han S. et al. // PLoS ONE. 2015. V. 10. № 7. e0132265. https://doi.org/10.1371/journal. pone.0132265
- Plotnikova L., Knaub V., Pozherukova V. // Int. J. Plant Biol. 2023. V. 14. P. 435–457. https://doi.org/10.3390/ijpb14020034
- McIntosh R.A., Wellings C.R., Park R.F. (Eds.). Wheat Rusts. An Atlas of Resistance Genes. Dordrecht: Springer, 1995. 200 p. https://doi.org/10.1071/9780643101463
- Roelfs A.P., Martens J.W. // Phytopathology. 1988. V. 78. P. 526–533.
- Тютерев С.Л. Научные основы индуцированной болезнеустойчивости растений.СПб.: ООО “Инновационный центр защиты растений”. ВИЗР, 2002. 328 с.
- Xu H., Heath M.C. // Plant Cell. 1998. V. 10. P. 585–597. https://doi.org/10.1105/tpc.10.4.585
- Garcia-Mata C., Lamattina L. // Plant Physiology. 2001. V. 126(3). P. 1196–1204. https://doi.org/10.1104/pp.126.3.1196
- Wang J., Higgins V.J. // Physiol. Mol. Plant Pathol. 2006. V. 67. P. 131–137. https://doi.org/10.1016/j.pmpp.2005.11.002
- Михайлова Л.А., Квитко К.В. // Микология и фитопатология. 1970. Т. 4. № 4. С. 269–273.
- Фатхутдинова Д.Р., Сахабутдинова А.Р., Максимов И.В., Яруллина Л.Г., Шакирова Ф.М. // Агрохимия. 2004. № 8. С. 27–31.
- Bindschedler L.V., Minibayeva F., Gardner S.L., Gerrish C., Davies D.R., Bolwell G.P. // New Phytologist. 2001. V. 151. № 2. P. 185–194
- Карпец Ю.В., Колупаев Ю.Е., Вайнер А.А. // Физиология растений. 2015. Т. 62. № 1. С. 72–78. https://doi.org/10.7868/S0015330314060098
- Барыкина Р.П., Веселова Т.Д., Девятов А.Г., Джалилова Х.Х., Ильина Г.М., Чубатова Н.В. // Справочник по ботанической микротехнике. Основы и методы. М.: Издательство МГУ, 2004. 312 с.
- Plotnikova L.Y., Meshkova L.V. // Mikol. Fitopatol. 2009. V. 43. P. 343–357.
- Доспехов Б.А. // Методика полевого опыта. М.: Агропромиздат, 1985. 5 изд. 351 с.
- Мамаева А.С., Фоменков А.А., Носов А.В., Мошков И.Е., Мур Л.А.Д., Холл М.А. и др. // Физиология растений. 2015. Т. 62. С. 459–473. https://doi.org/10.7868/S0015330315040132
- Piterková J., Hofman J., Mieslerová B., Sedlářová M., Luhová L., Lebeda A., Petřivalský M. // Environ.Exp. Bot. 2011. V. 74. P. 37–44.
- Delledonne M., Zeier J., Marocco A., Lamb C. // Proc. Natl. Acad. Sci. Unit. States Am. 2001. V. 98. P. 13454–13459.
- Fang F.C. // J. Clin. Invest. 1997. V. 99. P. 2818–2825.
- Hunt M.D., Ryals J.A. // Crit. Rev. Plant. Sci. 1996. V. 15. P. 583–606.
- Heath M.C. // Plant Mol. Biol. 2000. V. 44. Р. 321–334.
- Melotto M., Zhang L., Oblessuc P.R., He S.Y. // Plant Physiol. 2017. V. 174. P. 561–571.
- Plotnikova L., Pozherukova V., Knaub V., Kashuba Y. // Agriculture. 2022. V. 12. № 2116. https://doi.org/10.3390/ agriculture12122116
- Плотникова Л.Я., Пожерукова В.Е., Митрофанова О.П., Дегтярев А.И. // Прикл. биохимия и микробиология. 2016. Т. 52. № 1. С. 74–84.
- Calcagno C., Novero M., Genre A., Bonfante P., Lanfranco L. // Mycorrhiza. 2012. V. 22. P. 259–269.
- Cui J.L., Wang Y.N., Jiao J., Gong Y., Wang J.H., Wang M.L. // Scientific Reports. 2017. V. 7. № 12540. https://doi.org/10.1038/s41598-017-12895-2
- Максимов И.В., Черепанова Е.А. // Успехи современной биологии. 2006. Т. 126. С. 250–261.
- Kolupaev Yu.E., Karpets Yu.V., Dmitriev A.P. // Cytol. Genet. 2015. V. 49. № 5. P. 338–348. https://doi.org/10.3103/S0095452715050047
- Rockel P., Strube F., Rockel A., Wildt J., Kaiser W.M. // J. Exp. Bot. 2002. V. 53. P. 103–110.
- Romero-Puertas M.C., Campostrini N., Mattè A., Righetti P.G., Perazzolli M., Zolla L., et al.// Proteomics. 2008. V. 8. P. 1459–1469.
- Foissner I., Wendehenne D., Langebartels C., Durner J. // Plant J. 2000. V. 23. P. 817–824.
- Romero-Puertas M.C., Delledonne M. // IUBMB Life.2003. V. 55 № 10–11. P. 579–583. https://doi.org/10.1080/15216540310001639274
Дополнительные файлы







