Биодоступная нанокомпозиция хитозан-наночастицы меди как альтернатива антибиотикам в кормах бройлеров
- Авторы: Апрятина К.В.1, Егоров И.А.2, Зайцев С.Д.1, Лаптев Г.Ю.3, Саломатина Е.В.1, Смирнова Л.А.1, Самоделкин А.Г.4, Фролов В.Г.5
-
Учреждения:
- Нижегородский государственный университет им. Н.И. Лобачевского
- Всероссийский научно-исследовательский и технологический институт птицеводства
- ООО “БИОТРОФ”
- Научно-образовательный центр “Нижегородский НОЦ”
- ООО “АГРОХИТИН”
- Выпуск: Том 61, № 1 (2025)
- Страницы: 44-57
- Раздел: Статьи
- URL: https://journal-vniispk.ru/0555-1099/article/view/294541
- DOI: https://doi.org/10.31857/S0555109925010051
- EDN: https://elibrary.ru/CZPSHT
- ID: 294541
Цитировать
Аннотация
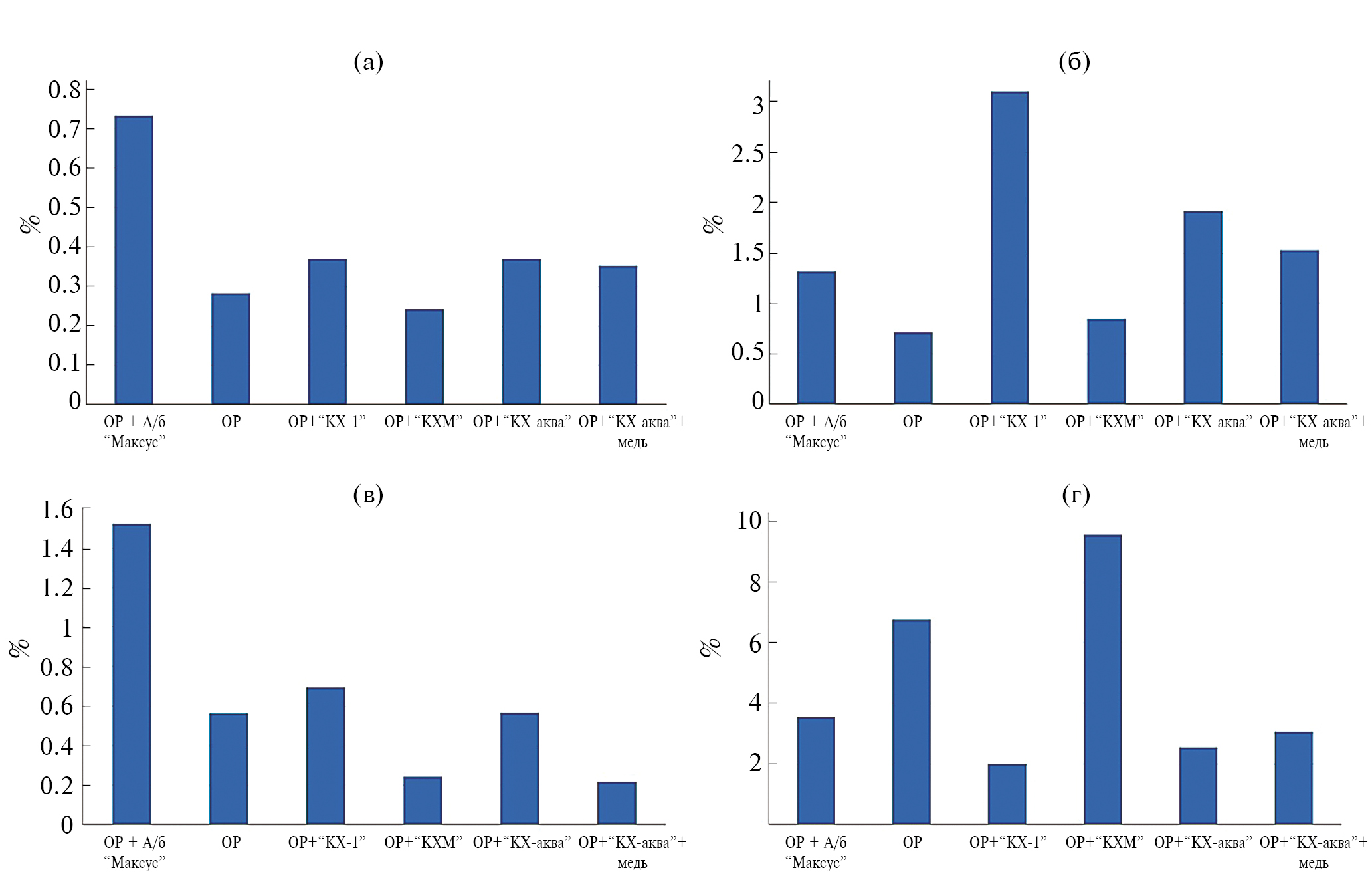
Разработана агрегативно устойчивая нанокомпозиция хитозан-наночастицы меди со средним размером последних 25–30 нм. Бактерицидный эффект нанокомпозиции показан in vitro на патогенных бактериях Enterococcus faecalis и исследован in vivo в составе выпойки и в кормах цыплят-бройлеров в сопоставлении с антибиотиком “Максус”, использующимся в их рационе. Показано, что количество бактерий в организме бройлеров составило 1.88% при введении нанокомпозиции, что более чем в два раза меньше по сравнению с группой, где применялся антибиотик.
Ключевые слова
Полный текст
Об авторах
К. В. Апрятина
Нижегородский государственный университет им. Н.И. Лобачевского
Автор, ответственный за переписку.
Email: apryatina_kv@mail.ru
Россия, Нижний Новгород, 603022
И. А. Егоров
Всероссийский научно-исследовательский и технологический институт птицеводства
Email: apryatina_kv@mail.ru
Россия, Сергиев Посад, 141311
С. Д. Зайцев
Нижегородский государственный университет им. Н.И. Лобачевского
Email: apryatina_kv@mail.ru
Россия, Нижний Новгород, 603022
Г. Ю. Лаптев
ООО “БИОТРОФ”
Email: apryatina_kv@mail.ru
Россия, Санкт-Петербург, 196602
Е. В. Саломатина
Нижегородский государственный университет им. Н.И. Лобачевского
Email: apryatina_kv@mail.ru
Россия, Нижний Новгород, 603022
Л. А. Смирнова
Нижегородский государственный университет им. Н.И. Лобачевского
Email: apryatina_kv@mail.ru
Россия, Нижний Новгород, 603022
А. Г. Самоделкин
Научно-образовательный центр “Нижегородский НОЦ”
Email: apryatina_kv@mail.ru
Россия, Нижний Новгород, 603000
В. Г. Фролов
ООО “АГРОХИТИН”
Email: apryatina_kv@mail.ru
Россия, Нижний Новгород, 603155
Список литературы
- Rahman M.M., Alam Tumpa M.A., Zehravi M., Sarker M.T., Yamin M.D., Islam M.R. et al. // Antibiotics. 2022. V. 11. №. 5. P. 667. https://doi.org/10.3390/antibiotics11050667
- Burow E., Grobbel M., Tenhagen B.A., Simoneit C., Szabó I., Wendt D. et al. // Microb. Drug. Resist. 2020. V. 26. №. 9. P. 1098–1107. https://doi.org/10.1089/mdr.2019.0442
- Hedman H.D., Vasco K.A., Zhang L. // Animals. 2020. V. 10. №. 8. 1264. https://doi.org/10.3390/ani10081264
- Shang K., Wei B., Cha S.Y., Zhang J.F., Park J.Y., Lee Y.J. et al. //Animals. 2021. V. 11. №. 1. P. 154. https://doi.org/10.3390/ani11010154
- Massé D.I., Cata Saady N.M., Gilbert Y. // Animals. 2014. V. 4. №. 2. P. 146–163. https://doi.org/10.3390/ani4020146
- Chatellier V. Chatellier V. // Animal. 2021. V. 15. 100289. https://doi.org/10.1016/j.animal.2021.100289
- Jomova K., Makova M., Alomar S. Y., Alwasel S. H., Nepovimova E., Kuca K. et al. // Chem. Biol. Interact. 2022. V. 367. 110173. https://doi.org/10.1016/j.cbi.2022.110173
- Ruiz L.M., Libedinsky A., Elorza A.A. // Front. Mol. Biosci. 2021. V. 8. 711227. https://doi.org/10.3389/fmolb.2021.711227
- Ognik K., Sembratowicz I., Cholewińska E., Jankows-ki J., Kozłowski K., Juśkiewicz J. et al. // Anim. Sci. J. 2018. Т. 89. №. 3. P. 579–588. https://doi.org/10.1111/asj.12956
- Sharma M.C., Joshi C., Pathak N.N., Kaur H. // Res. Vet. Sci. 2005. Т. 79. №. 2. P. 113–123. https://doi.org/10.1016/j.rvsc.2004.11.015
- Парахонский А.П. // Естественно-гуманитарные исследования. 2015. № 4 (10). С. 73–84.
- Borkow G. // Curr. Chem. Biol. 2014. V. 8. №. 2. P. 89–102. https://doi.org/10.2174/2212796809666150227223857
- Scott A., Vadalasetty K.P., Łukasiewicz M., Jaworski S., Wierzbicki M., Chwalibog A. et al. // J. Anim. Physiol. Anim. Nutr. (Berl.) 2018. Т. 102. №. 1. P. e364–e373. https://doi.org/10.1111/jpn.12754
- Sharif M., Rahman M.A.U., Ahmed B., Abbas R.Z., Hassan F.U. // Biol. Trace Elem. Res. 2021. V. 199. №. 10. P. 3825–3836. https://doi.org/10.1007/s12011-020-02485-1
- Leeson S. // J. World’s Poult. Sci. 2009. V. 65. №. 3. P. 353–366. https://doi.org/10.1017/S0043933909000269
- Boyles M. S. P., Ranninger C., Reischl R., Rurik M., Tessadri R., Kohlbacher O. et al. // Part. Fibre. Toxicol. 2015. V. 13. P. 1–20. https://doi.org/10.1186/s12989-016-0160-6
- Ремпель А. А. // Успехи химии. 2007. Т. 76. №. 5. С. 474–500.
- Mitchell M.J., Billingsley M.M., Haley R.M., Wechsler M.E., Peppas N.A., Langer R. // Nat. Rev. Drug Discov. 2021. V. 20. №. 2. P. 101–124. https://doi.org/10.1038/s41573-020-0090-8
- Bezbaruah R., Chavda V.P., Nongrang L., Alom S., Deka K., Kalita T. et al. // Vaccines. 2022. V. 10. №. 11. 1946. https://doi.org/10.3390/vaccines10111946
- Yusuf A., Almotairy A.R.Z., Henidi H., Alshehri O.Y., Aldughaim M.S. // Polymers. 2023. V. 15. № 7. 1596. https://doi.org/10.3390/polym15071596
- Zafar A., Arshad R., Ur. Rehman A., Ahmed N., Akhtar H. // Vaccines. 2023. V. 11. №. 2. 490. https://doi.org/10.3390/vaccines11020490
- El-Kassas S., El-Naggar K., Abdo S.E., Abdo W., Kirrella A.A., El-Mehaseeb I. et al. // Anim. Prod. Sci. 2019. V. 60. №. 2. P. 254–268. https://doi.org/10.1071/AN18270
- Sizova E., Miroshnikov S., Lebedev S., Usha B., Shabunin S. // Anim. Nutr. 2020. V. 6. №. 2. P. 185–191. https://doi.org/10.1016/j.aninu.2019.11.007
- El-Kazaz S.E., Hafez M.H. // J. Adv. Vet. Anim. Res. 2020. V. 7. №. 1. 16. https://doi.org/10.5455/javar.2020.g388
- Anwar M.I., Awais M.M., AkhtarM., Navid M.T., Muhammad F. // Worlds Poult. Sci. J. 2019. V. 75. №. 2. P. 261–272. https://doi.org/10.1017/S0043933919000199
- Kalińska A., Jaworski S., Wierzbicki M., Gołębiews-ki M. // Int. J. Mol. Sci. 2019. V. 20. №. 7. 1672. https://doi.org/10.3390/ijms20071672
- Scott A., Vadalasetty K.P., Chwalibog A., Sawosz E. // Nanotechnol. Rev. 2018. V. 7. №. 1. P. 69–93. https://doi.org/10.1515/ntrev-2017-0159
- Chen R.R., Li Y.J., Chen J.J., Lu C.L. // Carbohydr. Polym. 2020. V. 247. 116740. https://doi.org/10.1016/j.carbpol.2020.116740
- Wang W., Xue C., Mao X. // Int. J. Biol. Macromol. 2020. V. 164. P. 4532–4546. https://doi.org/10.1016/j.ijbiomac.2020.09.042
- Xu Y., Shi B., Yan S., Li J., Li T., Guo Y. et al. // Czech J. Anim. Sci. 2014. V. 59. P. 156–163. https://doi.org/10.17221/7339-CJAS
- Sangnim T., Dheer D., Jangra N., Huanbutta K., Puri V., Sharma A. // Pharmaceutics. 2023. V. 15. № 9. 2361. https://doi.org/10.3390/pharmaceutics15092361
- Apryatina K.V., Glazova I.A., Koryagin A.S., Zaitsev S.D., Smirnova L.A. // J. Polym. Res. 2022. V. 29. №. 9. 378. https://doi.org/10.1007/s10965-022-03225-w
- Apryatina K.V., Murach E.I., Amarantov S.V., Erlykina E.I., Veselov V.S., Smirnova L.A. // Appl. Biochem. Microbiol. 2022. V. 58. №. 2. P. 126–131. https://doi.org/10.1134/S0003683822020028
- Lang X., Wang T., Sun M., Chen X., Liu Y. // Int. J. Biol. Macromol. 2020. V. 154. P. 433–445. https://doi.org/10.1016/j.ijbiomac.2020.03.148
- Hassan F.A., Abd El-Maged M., El-Halim H., Ramadan G. // J. Anim. Health Prod. 2021. V. 9. № 2. P. 119–131. https://doi.org/10.17582/journal.jahp/2021/9.2.119.131
- Tufan T., Arslan C. // S. Afr. J. Anim. Sci. 2020. V. 50. №. 5. https://doi.org/10.4314/sajas.v50i5.3
- Yue X., Hu L., Fu X., Lv M., Han X. // Czech J. Anim. Sci. 2017. V. 62. №. 1. P. 15–21. https://doi.org/10.17221/86/2015-CJAS
- Menconi A., Pumford N.R., Morgan M.J., Bielke L.R., Kallapura G., Latorre J.D. et al. // Food. Pathog. Dis. 2014. V. 11. №. 2. P. 165–169. https://doi.org/10.1089/fpd.2013.1628
- Nuengjamnong C., Angkanaporn K. // Ital. J. Anim. Sci. 2018. V. 17. №. 2. P. 428–435. https://doi.org/10.1080/1828051X.2017.1373609
- Shagdarova B., Konovalova M., Varlamov V., Svirshchevskaya E. // Polymers. 2023. V. 15. №. 19. 3967. https://doi.org/10.3390/polym15193967
- Akintelu S.A., Oyebamiji A.K., Olugbeko S.C., Latona D.F. // CRGSC. 2021. V. 4. 100176. https://doi.org/10.1016/j.crgsc.2021.100176
- Liu P., Wang H., Li X., Rui M., Zeng H. // RSC Adv. 2015. V. 5. №. 97. P. 79738–79745. https://doi.org/10.1039/C5RA14933A
- Ismail M. I. M. // Mater. Chem. Phys. 2020. V. 240. 122283. https://doi.org/10.1016/j.matchemphys.2019.122283
- Лисичкин Г.В., Оленин А.Ю., Кулакова И.И. Химия поверхности неорганических наночастиц. М.: Техносфера, 2020. 380 с.
- Хабриев Р.У. Руководство по экспериментальному (доклиническому) изучению новых фармакологических веществ. М.: Медицина, 2005. 827 с.
- Апрятина К.В., Зайцев С.Д., Смирнова Л.А., Фролов В.Г. Патент RU 2776050C1. 2022.
- Воюцкий С.С. Курс коллоидной химии. М.: “Химия”, 1975. 512 с.
- Литманович О.Е. // Высокомолекулярные соединения. Серия C. 2008. Т. 50. № 7. С. 1370–1396.
Дополнительные файлы











