Remote assessment of the characteristics of unexplored lakes of the northern territories
- Authors: Zverev I.S.1, Rasulova A.M.1, Golosov S.D.1, Kondratiev S.A.1
- 
							Affiliations: 
							- Institute of Limnology, Division of the St. Petersburg Federal Research Center, Russian Academy of Sciences
 
- Issue: Vol 93, No 5 (2023)
- Pages: 456-461
- Section: ИЗ РАБОЧЕЙ ТЕТРАДИ ИССЛЕДОВАТЕЛЯ
- URL: https://journal-vniispk.ru/0869-5873/article/view/140550
- DOI: https://doi.org/10.31857/S0869587323050110
- EDN: https://elibrary.ru/VXEOCE
- ID: 140550
Cite item
Full Text
Abstract
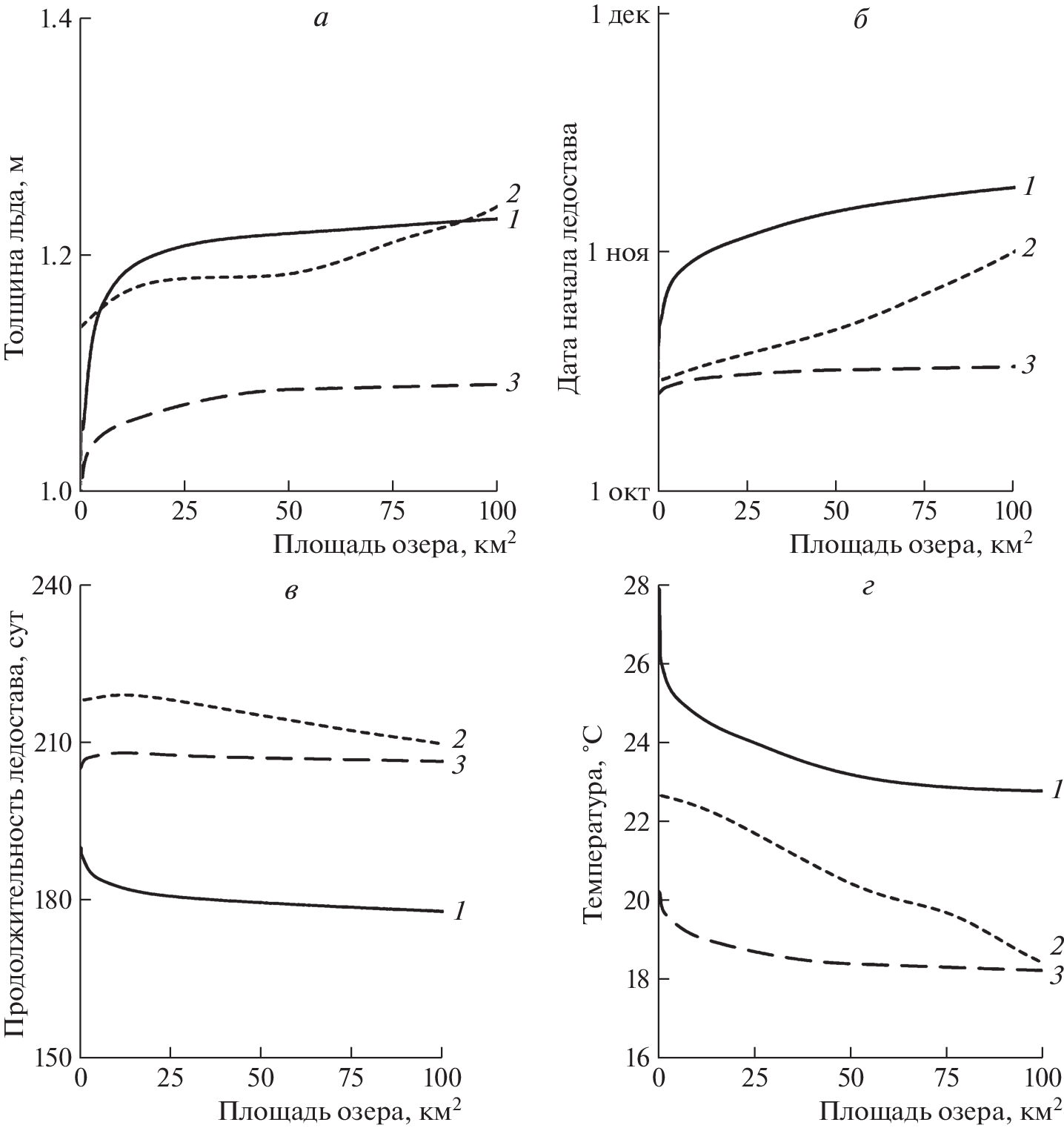
This article proposes a methodology for assessing the hydrophysical and chemical-biological characteristics of unstudied small and medium-sized lakes (with an area of up to 100 km2) in the northern territories of Russia (on the example of Eastern Fennoscandia) using remote sensing methods and mathematical modeling. The methodology is based on the use of a one-dimensional model of hydrothermodynamic processes in reservoirs, FLake. Based on satellite imagery of the underlying surface, the area of the lake is determined, related by private empirical relationships to the average depth, which is the input parameter for applying the model. In addition, a series of meteorological elements of standard measurements are used, obtained from the geographic coordinates of the selected object from the meteorological reanalysis of the ERA5 family. This makes it possible to evaluate the thermal characteristics of a reservoir, as well as calculate the content of dissolved oxygen in various layers of the water mass and the likelihood of anoxic conditions occurring. In this case, contact measurements are not required, which is extremely important when studying the hard-to-reach and little-studied northern territories of our country.
About the authors
I. S. Zverev
Institute of Limnology, Division of the St. Petersburg Federal Research Center, Russian Academy of Sciences
														Email: vestnik.ran@yandex.ru
				                					                																			                												                								St. Petersburg, Russia						
A. M. Rasulova
Institute of Limnology, Division of the St. Petersburg Federal Research Center, Russian Academy of Sciences
														Email: vestnik.ran@yandex.ru
				                					                																			                												                								St. Petersburg, Russia						
S. D. Golosov
Institute of Limnology, Division of the St. Petersburg Federal Research Center, Russian Academy of Sciences
														Email: vestnik.ran@yandex.ru
				                					                																			                												                								St. Petersburg, Russia						
S. A. Kondratiev
Institute of Limnology, Division of the St. Petersburg Federal Research Center, Russian Academy of Sciences
							Author for correspondence.
							Email: vestnik.ran@yandex.ru
				                					                																			                												                								St. Petersburg, Russia						
References
- Стратегия развития Арктической зоны Российской Федерации и обеспечения национальной безопасности на период до 2035 года. http://kremlin.ru/acts/news/64274 (дата обращения 01.02.2023).
- Измайлова А.В. Озёрный фонд Арктической зоны Российской Федерации // MGO 2020 им. Л.Н. Карлина. Труды IV Всероссийской конференции “Гидрометеорология и экология: достижения и перспективы развития”. 16–17 декабря. СПб.: Химиздат, 2020. С. 181–184.
- Мякишева Н.В. Многокритериальная классификация озёр. СПб.: РГГМУ, 2009.
- Исаченко А.Г., Шляпников А.А. Ландшафты. М.: Мысль, 1989.
- Физико-географическое районирование (М 1 : : 15 000 000) // Национальный атлас России. Т. 2. Природа и экология. М.: ПКО “Картография”, 2007. С. 350–351.
- Шульга М. Представление озёр в моделях погоды и климата: внешние параметры, объективный анализ температуры поверхности воды и верификация. Дисс. … канд. физ.-мат. наук. СПб.: РГГМУ, 2015.
- Рянжин С.В., Ульянова Т.Ю. Геоинформационная система “озёра мира” – GIS WORLDLAKE // Доклады Академии наук. 2000. № 4. С. 542–545.
- Кочков Н.В., Рянжин С.В. Озёра мира WORLDLAKE / Свидетельство о государственной регистрации базы данных № 2015621549. Заявка № 2015620713. ИНОЗ РАН, 2015.
- Lehner B., Grill G. Global River hydrography and network routing: Baseline data and new approaches to study the world’s large river systems // Hydrological Processes. 2013. № 15. P. 2171–2186.
- Mironov D.V. Parameterization of Lakes in Numerical Weather Prediction. Description of a Lake Model // COSMO Technical Report № 11. Offenbach am Main: German Weather Service, 2008.
- Mironov D., Heise E., Kourzeneva E. et al. Implementation of the lake parameterization scheme Flake into the numerical weather prediction model COSMO // Boreal environ. Res. 2010. V. 15. P. 218–230.
- Golosov S., Kirillin G. A parameterized model of heat storage by lake sediments // Environmental Modelling & Software. 2010. V. 25 (6). P. 793–801.
- Choulga M., Kourzeneva E., Zakharova E. et al. Estimation of the mean depth of boreal lakes for use in nume-rical weather prediction and climate modelling // Tellus A: Dynamic Meteorology and Oceanography. 2014. V. 66 (1). P. 21295.
- Golosov S., Maher O.A., Schipunova E. et al. Physical Background of Oxygen Depletion Development in Ice-Covered Lakes // Oecologia. 2007. V. 151. P. 331–340.
- Mironov D.V., Golosov S.D., Zilitinkevich S.S. et al. Seasonal changes of temperature and mixing conditions in a lake. Modelling Air-Lake Interaction. Physical Background / Ed. S.S. Zilitinkevich. Berlin: Springer-Verlag, 1991. P. 74–90.
- Тержевик А.Ю., Пальшин Н.И., Голосов С.Д. и др. Гидрофизические аспекты формирования кислородного режима мелководного озера, покрытого льдом // Водные ресурсы. 2010. № 5. С. 568–580.
- Copernicus Climate Data Store. https://cds.climate.copernicus.eu/cdsapp#!/dataset/ reanalysis-era5 (дата обращения 02.02.2023).
- Pekel J.F., Cottam A., Gorelick N. et al. High-resolution mapping of global surface water and its long-term changes // Nature. 2016. V. 540. P. 418–422.
- Global Surface Water Explorer. https://global-surface-water.appspot.com/ (дата обращения 01.02.2023).
- Copernicus: Europe’s eyes on Earth. https://www.copernicus.eu/en
- Кочков Н.В., Рянжин С.В. Методика оценки морфометрических характеристик озёр с использованием спутниковой информации // Водные ресурсы. 2016. № 1. С. 18–23.
- СТО ГГИ 52.08.40-2017. Определение морфометрических характеристик водных объектов суши и их водосборов с использованием технологии географических информационных систем по цифровым картам РФ и спутниковым снимкам // Федеральная служба по гидрометеорологии и мониторингу окружающей среды (Росгидромет). СПб.: ООО “РПЦ Офорт”, 2017.
- Messager M., Lehner B., Grill G. et al. Estimating the volume and age of water stored in global lakes using a geo-statistical approach // Nat. Commun. 2016. V. 7 (1). 13603.
- Озёра различных ландшафтов Кольского полуострова. Ч. 2. Гидрохимия и гидробиология / Отв. ред. В.Г. Драбкова и Т.Д. Слепухина. Л.: Наука, 1974.
- Даувальтер В.А., Кашулин Н.А. Геоэкология озёр Мурманской области. В 3 ч. Ч. 2. Гидрохимия водоёмов. Мурманск: Изд-во МГТУ, 2014.
Supplementary files
 
				
			 
					 
						 
						 
						 
						 
				
 
  
  
  Email this article
			Email this article 





