СЕЛЕКТИВНОЕ ИЗВЛЕЧЕНИЕ ЛИТИЯ ИЗ МИНЕРАЛЬНОГО, ГИДРОМИНЕРАЛЬНОГО И ВТОРИЧНОГО СЫРЬЯ
- Авторы: Цивадзе А.Ю.1, Баулин В.Е.1,2, Костикова Г.В.1, Бездомников А.А.1
-
Учреждения:
- Институт физической химии и электрохимии им. А.Н. Фрумкина РАН
- Институт физиологически активных веществ Федерального исследовательского центра проблем химической физики и медицинской химии
- Выпуск: Том 93, № 7 (2023)
- Страницы: 623-630
- Раздел: С КАФЕДРЫ ПРЕЗИДИУМА РАН
- URL: https://journal-vniispk.ru/0869-5873/article/view/140570
- DOI: https://doi.org/10.31857/S0869587323070101
- EDN: https://elibrary.ru/RPXOOQ
- ID: 140570
Цитировать
Полный текст
Аннотация
Россия обладает большими запасами лития, позволяющими полностью обеспечить внутренние потребности рынка нашей страны с перспективой развития отечественных производств литий-ионных аккумуляторов, электротранспорта, беспилотных устройств и портативной электроники. Добыча лития – сложный процесс, который определяется климатом, составом рассола и эффективностью доступных технологий. Сегодня российские технологии извлечения лития развиваются в двух направлениях: сорбционное и экстракционное. В статье, подготовленной по материалам доклада, заслушанного на заседании президиума РАН 11 апреля 2023 г., рассматриваются общие тенденции и перспективы совершенствования методов извлечения лития, включая жидкостную экстракцию и сорбцию.
Ключевые слова
Об авторах
А. Ю. Цивадзе
Институт физической химии и электрохимии им. А.Н. Фрумкина РАН
Email: vestnik.ran@yandex.ru
Россия, Москва
В. Е. Баулин
Институт физической химии и электрохимии им. А.Н. Фрумкина РАН; Институт физиологически активных веществ Федерального исследовательского центра проблем химической физики и медицинской химии
Email: vestnik.ran@yandex.ru
Россия, Москва; Россия, Черноголовка
Г. В. Костикова
Институт физической химии и электрохимии им. А.Н. Фрумкина РАН
Email: vestnik.ran@yandex.ru
Россия, Москва
А. А. Бездомников
Институт физической химии и электрохимии им. А.Н. Фрумкина РАН
Автор, ответственный за переписку.
Email: vestnik.ran@yandex.ru
Россия, Москва
Список литературы
- Wei Q. et al. Spent lithium ion battery (LIB) recycle from electric vehicles: A mini-review // Sci. Total Environ. Elsevier B.V. 2023. V. 866. August 2022. Article number 161380.
- Рябцев А.Д. Переработка литиеносного поликомпонентного гидроминерального сырья на основе его обогащения по литию. Дис. докт. тех. наук: 05.17.02. Новосибирск, 2011.
- Hamzaoui A.H. et al. Contribution to the lithium recovery from brine // Desalination. 2003. V. 158. № 1–3. P. 221–224.
- Swain B. Recovery and recycling of lithium: A review // Sep. Purif. Technol. Elsevier B.V. 2017. V. 172. P. 388–403.
- A race for lithium is sparking fears of water shortages in northern Argentina. https://climatechangenews.com/ 2022/01/07/race-lithium-sparking-fears-water-shortages-northern-argentina/ (дата обращения: 01.06.2023).
- Ooi K. et al. Lithium-ion Insertion/Extraction Reaction with λ-MnO2 in the Aqueous Phase // Chem. Lett. The Chemical Society of Japan. 1988. V. 17 № 6. P. 989–992.
- Shi X. et al. Synthesis and properties of Li1.6Mn1.6O4 and its adsorption application // Hydrometallurgy. Elsevier. 2011. V. 110. № 1–4. P. 99–106.
- Fourquet J.L., Gillet P.A., Le Bail A. Li+ H+ topotactic exchange on LiSbO3: The series Li1–x Hx SbO3 (0 ≤ ≤ x ≤ 1) // Mater. Res. Bull. 1989. V. 24. № 10. P. 1207–1214.
- Yu C.L. et al. Peculiar shuttle-like nano-sized TiO(OH)2/C lithium ion sieve with improved adsorption rate and cycling reliability: Preparation and kinetics // Hydrometallurgy. Elsevier B.V. 2021. V. 203. Article number 105627.
- Lawagon C.P. et al. Adsorptive Li+ mining from liquid resources by H2TiO3: Equilibrium, kinetics, thermodynamics, and mechanisms // J. Ind. Eng. Chem. Korean Society of Industrial Engineering Chemistry. 2016. V. 35. P. 347–356.
- Рябцев А.Д. и др. Научные основы производства селективного к литию сорбента и промышленной технологии извлечения хлорида лития из гидроминерального поликомпонентного сырья // Технология неорганических веществ и материалов. 2020. № 8. С. 338–352.
- Lee J. et al. Highly selective lithium recovery from brine using a λ-MnO2–Ag battery // Phys. Chem. Chem. Phys. The Royal Society of Chemistry. 2013. V. 15. № 20. P. 7690.
- Trócoli R., Battistel A., La F. Selectivity of a Lithium-Recovery Process Based on LiFePO4 // Chem. Eur. J. Wiley-VCH Verlag. 2014. P. 9888–9891.
- Lawagon C.P. et al. Li1–xNi0.33Co1/3Mn1/3O2/Ag for electrochemical lithium recovery from brine // Chem. Eng. J. Elsevier B.V. 2018. V. 348. P. 1000–1011.
- Kalmykov D. et al. Operation of three-stage process of lithium recovery from geothermal brine: Simulation // Membranes (Basel). 2021. V. 11. № 3. P. 1–21.
- Caley E.R., Axilrod H.D. Separation of Lithium from Potassium and Sodium by Treatment of Chlorides with Higher Aliphatic Alcohols // Ind. Eng. Chem. Anal. Ed. American Chemical Society 1942. V. 14. № 3. P. 242–244.
- Gabra G.G., Torma A.E. Lithium chloride extraction by n-butanol // Hydrometallurgy. Elsevier. 1978. V. 3. № 1. P. 23–33.
- Bukowsky H., Uhlemann E. Selective Extraction of Lithium Chloride from Brines // Sep. Sci. Technol. 1993. V. 28. № 6. P. 1357–1360.
- Kahlenberg L., Krauskopf F.C. A new method of separating lithium chloride from the chlorides of the other alkalis, and from the chloride of barium // J. Am. Chem. Soc. American Chemical Society. 1908. V. 30. № 7. P. 1104–1115.
- Chagnes A., Swiatowska J. Lithium process chemistry: Resources, extraction, batteries, and recycling // Lithium Process Chemistry: Resources, Extraction, Batteries, and Recycling. 1st ed. Elsevier Ltd, 2015.
- Shi C. et al. Liquid-liquid extraction of lithium using novel phosphonium ionic liquid as an extractant // Hydrometallurgy. Elsevier B.V. 2017. V. 169. P. 314–320.
- Zhou Z. et al. A study on stoichiometry of complexes of tributyl phosphate and methyl isobutyl ketone with lithium in the presence of FeCl3 // Chinese J. Chem. Eng. Elsevier. 2012. V. 20. № 1. P. 36–39.
- Zhou Z. et al. Elucidation of the structures of tributyl phosphate/Li complexes in the presence of FeCl3 via UV-visible, Raman and IR spectroscopy and the method of continuous variation // Chem. Eng. Sci. Pergamon. 2013. V. 101. P. 577–585.
- Song J. et al. Recovery of lithium from salt lake brine of high Mg/Li ratio using Na[FeCl4*2TBP] as extractant: Thermodynamics, kinetics and processes // Hydrometallurgy. Elsevier B.V. 2017. V. 173. P. 63–70.
- Zhou Z. et al. Extraction equilibria of lithium with tributyl phosphate in kerosene and FeCl3 // J. Chem. Eng. Data. American Chemical Society. 2012. V. 57. № 1. P. 82–86.
- Torrejos R.E.C. et al. Design of lithium selective crown ethers: Synthesis, extraction and theoretical binding studies // Chem. Eng. J. Elsevier B.V. 2017. V. 326. P. 921–933.
- Kobiro K. New class of lithium ion selective crown ethers with bulky decalin subunits // Coord. Chem. Rev. Elsevier. 1996. V. 148. P. 135–149.
- Walkowiak W., Charewicz W.A., Jeon E.G. Selective transport of alkali metal cations in solvent extraction by proton-ionizable dibenzocrown ethers // J. Coord. Chem. Taylor & Francis Grou. 1992. V. 27. № 1–3. P. 75–85.
- Bartsch R.A. et al. Influence of ring substituents and matrix on lithium / sodium selectivity of 14-crown-4 and benzo-13-crown-4-compounds // Anal. Chim. Acta. 1993. V. 272. № 2. P. 285–292.
- Gohil H. et al. An Ionophore for High Lithium Loading and Selective Capture from Brine // Inorg. Chem. American Chemical Society. 2019. V. 58. № 11. P. 7209–7219.
- Swain B. Separation and purification of lithium by solvent extraction and supported liquid membrane, analysis of their mechanism: a review // J. Chem. Technol. Biotechnol. John Wiley & Sons. 2016. V. 91. № 10. P. 2549–2562.
- Izatt R.M. et al. Thermodynamic and Kinetic Data for Macrocycle Interaction with Cations and Anions // Chem. Rev. American Chemical Society. 1991. V. 91. № 8. P. 1721–2085.
- Bencini A. et al. Synthesis and Characterization of the New Macrocyclic Cage 5,12,17-Trimethyl-1,5,9,12,17-pentaazabicyclo[7.5.5]nonadecane (L), Which Can Selectively Encapsulate Lithium Ion Thermodynamic Studies on Protonation and Complex Formation. Crystal Structures of // Inorg. Chem. American Chemical Society. 1989. V. 28. № 23. P. 4279–4284.
- Brachvogel R.C., Maid H., von Delius M. NMR Studies on Li+, Na+ and K+ complexes of orthoester cryptand 0-Me2-1.1.1 // Int. J. Mol. Sci. Multidisciplinary Digital Publishing Institute. 2015. V. 16. № 9. P. 20641–20656.
- Formica M. et al. Cryptand ligands for selective lithium coordination // Coord. Chem. Rev. Elsevier. 1999. V. 184. № 1. P. 347–363.
- Sliwa W., Girek T. Calixarene complexes with metal ions // J. Incl. Phenom. Macrocycl. Chem. Springer. 2010. V. 66. № 1. P. 15–41.
- He Q. et al. Selective Solid–Liquid and Liquid–Liquid Extraction of Lithium Chloride Using Strapped Calix[4]pyrroles // Angew. Chemie – Int. Ed. Wiley-VCH Verlag, 2018. V. 57. № 37. P. 11924–11928.
- Sun H., Tabata M. Separation and transport of lithium of 10-5 m in the presence of sodium chloride higher than 0.1 M by 2,3,7,8,12,13,17,18-octabromo- 5,10,15,20-tetrakis(4-sulfonatophenyl)porphyrin // Talanta. Elsevier. 1999. V. 49. № 3. P. 603–610.
- Cram D.J. Preorganization–From Solvents to Spherands // Angew. Chemie Int. Ed. English. John Wiley & Sons, Ltd, 1986. V. 25. № 12. P. 1039–1057.
- Katsuta S. et al. Selective extraction of lithium with a macrocyclic trinuclear complex of (1,3,5-trimethylbenzene)ruthenium(II) bridged by 2,3-dioxopyridine // Anal. Sci. The Japan Society for Analytical Chemistry. 2008. V. 24. № 10. P. 1215–1217.
- Ivanova I.S., Tsivadze A.Y. et al. 2,4,6-Tris[2-(diphe-nylphosphoryl)-4-ethylphenoxy]-1,3,5-triazine: A new ligand for lithium binding // Inorganica Chim. Acta. Elsevier. 2019. V. 497. Article number 119095.
- Solov’ev V., Baulin D., Tsivadze A. Design of phosphoryl containing podands with Li+/Na+ selectivity using machine learning // SAR QSAR Environ. Res. Taylor and Francis Ltd. 2021. V. 32. № 7. P. 521–539.
- Kireeva N., Baulin V.E., Tsivadze A.Y. A Machine Learning-Based Study of Li+ and Na+ Metal Complexation with Phosphoryl-Containing Ligands for the Selective Extraction of Li+ from Brine // ChemEngineering. 2023. V. 7. № 3. Article number 41.
- Цивадзе А.Ю., Варнек А.А., Хуторский В.Е. Координационные соединения металлов с краун-лигандами. М.: Наука, 1991.
- Pranolo Y., Zhu Z., Cheng C.Y. Separation of lithium from sodium in chloride solutions using SSX systems with LIX 54 and Cyanex 923 // Hydrometallurgy. Elsevier. 2015. V. 154. P. 33–39.
- Harvianto G.R., Kim S.H., Ju C.S. Solvent extraction and stripping of lithium ion from aqueous solution and its application to seawater // Rare Met. Springer. 2016. V. 35. № 12. P. 948–953.
- Zhang L. et al. Lithium recovery from effluent of spent lithium battery recycling process using solvent extraction // J. Hazard. Mater. Elsevier. 2020. V. 398. Article number 122840.
- Zhang L. Method for extracting and separating lithium and alkaline earth metal from salt lake brine with high sodium-lithium ratio: pat. CN113981243A USA. China, 2021.
- Li Z., Binnemans K. Selective removal of magnesium from lithium-rich brine for lithium purification by synergic solvent extraction using β-diketones and Cyanex 923 // AIChE J. John Wiley and Sons Inc. 2020. V. 66. № 7. Article number 16246.
- Çelebi E.E. A novel lithium phosphate production method by stripping of lithium from the lithium enolate in kerosene using orthophosphoric acid // Hydrometallurgy. 2022. V. 210. Article number 105860.
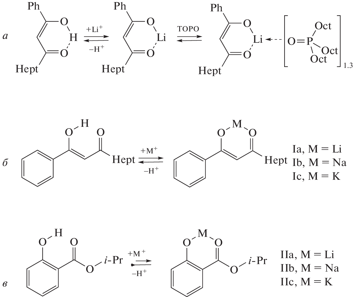
- Tsivadze A.Y. et al. A New Extraction System Based on Isopropyl Salicylate and Trioctylphosphine Oxide for Separating Alkali Metals // Molecules. 2022. V. 27. № 10. P. 3051.
- Bezdomnikov A.A., Tsivadze A.Y. et al. Liquid extraction of lithium using a mixture of alkyl salicylate and tri-n-octylphosphine oxide // Sep. Purif. Technol. 2023. V. 320. Article number 124137.
- Pearson R.G., Songstad J. Application of the Principle of Hard and Soft Acids and Bases to Organic Chemistry // J. Am. Chem. Soc. American Chemical Society. 1967. V. 89. № 8. P. 1827–1836.
- Пат. 2784157 Российская Федерация, МПК C22B 26/12 (2006.01). Способ селективного экстракционного извлечения лития из водного щелочного раствора, содержащего хлориды лития, натрия, калия и гидроксид натрия / А.А. Бездомников; заявитель и патентообладатель ИФХЭ РАН. № 2022115330; заявл. 07.06.2022; опубл. 23.11.2022 Бюл. № 33.






