The state of pediatric cardiology and infant mortality in the subjects of the Russian Federation in 2022
- Authors: Golukhova E.Z.1, Kim A.I.1, Chernogrivov A.E.1, Semenov V.Y.1, Zavalikhina T.V.1, Nefedova I.E.1, Dontsova V.I.1, Shakhnazaryan E.A.1
-
Affiliations:
- Bakoulev National Medical Research Center for Cardiovascular Surgery, Ministry of Health of the Russian Federation
- Issue: Vol 94, No 5 (2024)
- Pages: 440-448
- Section: НАУКА И ОБЩЕСТВО
- URL: https://journal-vniispk.ru/0869-5873/article/view/262755
- DOI: https://doi.org/10.31857/S0869587324050051
- EDN: https://elibrary.ru/FRXHPG
- ID: 262755
Cite item
Full Text
Abstract
The article analyzes the number of pediatric cardiologists in the subjects of the Russian Federation, the routing procedures for patients with congenital heart defects and the relationship of these factors with the infant mortality rate. In our country, the specialty of a pediatric cardiologist is updated, and the provision of doctors for the child population is quite high compared to other countries. Nevertheless, the uneven distribution of doctors by subjects may provoke an undesirable increase in infant mortality in them. To improve the situation in problem regions, it is necessary to strengthen the appropriate staffing, improve the regulatory framework for routing patients locally, and also check the effectiveness of medical care.
Full Text
Снижение младенческой смертности в большинстве стран мира – одно из выдающихся достижений современной медицины. Начиная с середины прошлого века врачи получили возможность эффективно бороться с ранее неизлечимыми тяжёлыми заболеваниями у новорождённых и младенцев, среди которых лидируют врождённые пороки сердца (ВПС). Именно этот период совпал с началом развития хирургии ВПС, и по мере роста доступности высокоспециализированной помощи по данному направлению постепенно снижалась и младенческая смертность. Положительные результаты лечения сначала отдельных групп нозологий, а затем практически любых врождённых пороков сердца позволили рассматривать эту патологию не только с позиции неблагоприятного прогноза. Напротив, об успехах современной сердечно-сосудистой хирургии свидетельствуют высокая длительная выживаемость после устранения ВПС ещё в периоде новорождённости (первые 28 дней жизни ребёнка) и внедрение различных новых методик [1, 2]. Благодаря развитию медицинских технологий к 1990-м годам свыше 90% детей успешно пережили коррекцию врождённого порока сердца, а с начала XXI в. – уже 97% [3].
В России только за 2022 г. родилось около 14 тыс. детей с ВПС. Потребность в хирургическом вмешательстве уже на первом году жизни крайне высока и варьирует от 60 до 70%, остальные дети нуждаются в операции после достижения ими возраста 12 месяцев [4]. Особое место среди врождённых пороков сердца занимают критические ВПС периода новорождённости (25% всех случаев, около 3.5 тыс. детей в год). Согласно раннее опубликованной информации, кардиохирургическая помощь в неонатальном периоде оказывается 1.7–1.8 тыс. новорождённым [5]. В 2021 г. в России было прооперировано 4847 детей первого года жизни. Более 90% операций, в том числе у 1788 новорождённых, выполнено в 12 из 36 медицинских организаций, объём работы которых составляет свыше 200 хирургических вмешательств в год. При этом количество хирургических коррекций ВПС за последние пять лет имело отрицательную динамику во всех возрастных группах (рис. 1).
Рис. 1. Динамика числа операций по коррекции врождённых пороков сердца в России за 2017–2021 гг.
Врождённые пороки сердца до сих пор считаются наиболее распространённым классом пороков развития (0.8–1% новорождённых) [6]. В 2022 г. в России доля ВПС в структуре младенческой смертности от всех врождённых пороков развития несколько снизилась и составила 42.7% [5]. В некоторых странах (например, в Мексике) эта проблема, напротив, обострилась [7]. Чрезвычайная ответственность детских врачей-кардиологов обусловлена тем, что их взаимодействие с первичным выхаживающим звеном (специалисты по неонатологии, акушерству, педиатрии и др.) определяет возможность оказания необходимой медицинской помощи новорождённым и детям грудного возраста с ВПС на самом высоком уровне [8]. Такой командный подход полностью целесообразен, поскольку ранняя постановка диагноза и своевременный перевод пациентов в специализированные учреждения снижают летальность более чем на 10% [9]. Кроме того, в странах, где детских кардиологов недостаточно, фиксируется более высокая младенческая смертность [10], тем не менее до настоящего времени не проводилось каких-либо исследований зависимости этого показателя от количества доступных в том или ином регионе врачей. Также детально не освещалось влияние на младенческую смертность маршрутизации больных с ВПС (на основании наличия регламентирующих порядков). Очевидно, что эти факторы играют определённую роль, особенно с учётом современных возможностей оказания высокоспециализированной медицинской помощи больным с врождёнными пороками сердца.
В нашей работе мы постарались оценить количество и распределение детских врачей-кардиологов в субъектах РФ, правила маршрутизации пациентов с ВПС и установить связь этих факторов с уровнем младенческой смертности.
Объекты и методы исследования. Группа экспертов Национального медицинского исследовательского центра сердечно-сосудистой хирургии им. А.Н. Бакулева Минздрава России провела анализ численности детских врачей-кардиологов в субъектах РФ с оценкой потенциального влияния этого показателя на младенческую смертность. Дополнительно проверялось наличие нормативно-правовой базы, регламентирующей маршрутизацию больных с врождёнными пороками сердца. В 2023 г. в органы управления здравоохранением 85 субъектов РФ был направлен специальный запрос о предоставлении аналитических данных. Ответ получен от 83 регионов (за исключением Республики Дагестан и Еврейской автономной области). Данные по Республике Крым и Севастополю были объединены. Частичная информация поступила из Самарской области и Республики Алтай. В случае нехватки или непредоставления данных анализ дополнялся сведениями из находящихся в открытом доступе официальных источников, в связи с чем выборка регионов по разным показателям варьировала от 80 до 84.
Субъекты РФ были сгруппированы в зависимости от уровня младенческой смертности, референсное значение которой – средняя величина по стране в 2022 г. Распределение специалистов (детских кардиологов) оценивалось в абсолютных цифрах и на 10 тыс. детского населения конкретного субъекта. При формировании групп сравнения использовались границы 95%-ного доверительного интервала (ДИ). Показатели младенческой смертности (общие и от всех врождённых пороков развития) приведены согласно данным Росстата за 2022 г. [11].
Статистическая обработка проводилась путём перевода полученных данных в программу Microsoft Office Excel 2019 и формирования базы данных. Статистический анализ выполнялся с помощью программы SPSS Statistics 23-й версии (IBM® SPSS® Statistics, Version 23 (23.0.0.0), Statistical Package for the Social Science, США). Количественные параметры представлены как среднее (м) ± стандартное отклонение при правильном распределении. Также оценивалась медиана (Me) с 95%-ным ДИ при негауссовском распределении. Закон правильности распределения данных проверялся тестом Шапиро–Уилка. Значимость различий между параметрами с количественными характеристиками определялась независимым t-критерием Стьюдента. Если данные имели неправильное распределение, применялся метод Манна–Уитни.
Различия между группами по частоте встречаемости оценивали с помощью метода хи-квадрат (χ2). Факторы, предположительно влияющие на вероятность событий, обрабатывались с помощью унивариантного анализа с нахождением отношения шансов в рамках 95%-ного ДИ. Для определения предикторов роста младенческой смертности проводился RОС-AUC-анализ с построением кривых логистической регрессии, после чего находились точки разделения групп. Оптимальное пороговое (оптимальный “cut-off”) значение предиктора рассчитывалось по индексу Юдена (J) [12]. Качество модели оценивалось как “отличное” (интервал AUC 0.9–1), “очень хорошее” (0.8–0.9), “хорошее” (0.7–0.8), “среднее” (0.6–0.7) и “неудовлетворительное” (0.5–0.6).
Результаты. По данным, предоставленным регионами и Росстатом, проведён анализ уровня младенческой смертности, в том числе от врождённых пороков сердца в субъектах РФ за 2022 г.: 4.4 на 1000 родившихся живыми детей, медианное значение – 4.6 (95% ДИ 4.45–5.14). Показатель сильно варьирует от субъекта к субъекту – от 15.8 до 3 на 1000 новорождённых (рис. 2).
Рис. 2. Показатели младенческой смертности в 2022 г. в субъектах РФ, по данным Росстата
В России с её огромными территориями актуальна проблема маршрутизации детей с врождёнными пороками сердца, особенно новорождённых, а также беременных женщин с подозрением на ВПС плода. Несмотря на потребность в регламентирующих документах, разработанных на уровне субъектов РФ, далеко не везде таковые имеются. Существующие федеральные приказы охватывают не все факторы, касающиеся больных с ВПС, и не учитывают особенности отдельных регионов.
Из 84 представленных в нашем исследовании субъектов РФ в 53 (63%) данные о локальных приказах, определяющих порядок оказания медицинской помощи при ВПС у детей, маршрутизации детей с ВПС или беременных женщин с подозрением на ВПС плода, либо отсутствовали, либо практически не содержали актуальной информации и устарели, в том числе: Архангельская, Астраханская, Брянская, Владимирская, Вологодская, Ивановская, Иркутская, Калужская, Кемеровская, Кировская, Курганская, Курская, Магаданская, Новгородская, Новосибирская, Омская, Оренбургская, Орловская, Пензенская, Псковская, Ростовская, Рязанская, Самарская, Сахалинская, Смоленская, Тамбовская, Тверская, Томская, Тульская, Ярославская области, Еврейская автономная область, Алтайский, Забайкальский, Камчатский, Приморский, Хабаровский, Ставропольский края, республики Адыгея, Алтай, Бурятия, Дагестан, Ингушетия, Калмыкия, Карелия, Коми, Крым (включая Севастополь), Марий Эл, Тыва, Чеченская, Кабардино-Балкарская, Чукотский, Ненецкий, Ямало-Ненецкий автономные округа.
В 31 субъекте РФ (36.9%) имеются нормативные акты, которые определяют порядок оказания медицинской помощи детям с ВПС и в той или иной степени регламентируют их маршрутизацию. Это Амурская, Белгородская, Волгоградская, Воронежская, Калининградская, Костромская, Нижегородская, Ленинградская (в том числе Санкт-Петербург), Липецкая, Московская (Москва), Мурманская, Саратовская, Свердловская, Тюменская, Ульяновская, Челябинская области, Краснодарский, Красноярский, Пермский края, республики Башкортостан, Мордовия, Саха (Якутия), Северная Осетия – Алания, Татарстан, Хакасия, Удмуртская, Чувашская, Карачаево-Черкесская, Ханты-Мансийский автономный округ.
Таким образом, только в каждом третьем субъекте уделяется внимание проблеме ВПС путём закрепления соответствующих положений в нормативно-правовых актах. При этом, по данным статистического анализа, вероятность попадания региона в группу с младенческой смертностью выше среднего показателя 4.4 на 1000 новорождённых оказалась в 3.1 раза больше (ДИ 95% 1.6–6.24; р = 0.0001) по сравнению с регионами, где маршрутизация пациентов с ВПС была утверждена определённым порядком.
В нашей стране существуют стандарты обеспечения кадрами для оказания медицинской помощи детям с сердечно-сосудистыми заболеваниями. Так, согласно Приложению № 2 к «Порядку оказания медицинской помощи по профилю “детская кардиология”», утверждённому Приказом Минздрава России № 440н от 25 октября 2012 г., на 20 тыс. прикреплённого к поликлиникам детского населения требуется один детский врач-кардиолог [13]. По информации от субъектов этот показатель в среднем составляет 0.72±0.42 на 20 тыс. Общее число детских кардиологов в стране – 1078, то есть 1 на 27596 детей, в среднем 0.36±0.21 (95% ДИ 0.31–0.41) на 10 тыс. с колебаниями в различных регионах от 0 до 1.09. В анализ были включены 80 субъектов РФ. Не попали в выборку Республика Алтай и Самарская область из-за недостаточности предоставленных сведений, а также Республика Дагестан и Еврейская автономная область по причине отсутствия данных.
В 2022 г. детское население России насчитывало 29 748 988 человек. Исходя из среднего по стране количества детских кардиологов на 10 тыс. детей (0.36), были выделены 27 регионов, где расчётный показатель превышал верхнюю границу доверительного (то есть 0.41 и более): Москва, Санкт-Петербург, Амурская, Архангельская, Астраханская, Волгоградская, Вологодская, Воронежская, Ивановская, Мурманская, Новгородская, Саратовская, Смоленская, Томская, Тюменская, Ульяновская, Челябинская, Калининградская области, Красноярский, Пермский, Хабаровский края, республики Башкортостан, Карелия, Коми, Мордовия, Северная Осетия – Алания, Удмуртская. Общая численность детского населения в перечисленных регионах – 10 148 821 человек, при этом только за 2022 г. родилось 515 415 детей.
В 19 регионах отношение расчётного количества детских кардиологов к детскому населению в пределах 95%-ого ДИ составило 0.31–0.41 на 10 тыс.: Брянская, Кемеровская, Магаданская, Нижегородская, Новосибирская, Оренбургская, Орловская, Сахалинская, Свердловская, Тамбовская, Ярославская области, Камчатский, Ставропольский края, республики Ингушетия, Калмыкия, Татарстан, Тыва, Чувашская, Ханты-Мансийский автономный округ. Общая численность детей на 2022 г. – 6 451 537, родилось за тот же период – 271 834.
В 34 регионах расчётный показатель (0.31) был меньше нижней границы 95%-ого ДИ: Белгородская, Владимирская, Иркутская, Калужская, Кировская, Костромская, Курганская, Курская, Ленинградская, Липецкая, Московская, Омская, Пензенская, Псковская, Ростовская, Рязанская, Тверская, Тульская области, Алтайский, Забайкальский, Краснодарский, Приморский края, республики Адыгея, Бурятия, Крым (включая Севастополь), Марий Эл, Саха (Якутия), Хакасия, Чеченская, Кабардино-Балкарская, Карачаево-Черкесская, Ненецкий, Чукотский и Ямало-Ненецкий автономные округа. В двух последних детских кардиологов нет вовсе. Общее количество детского населения на 2022 г. – 13 148 630, родилось в течение года – 467 435.
С учётом обеспеченности детскими врачами-кардиологами методом кросс-табуляции была рассчитана вероятность попадания региона в группу с показателем младенческой смертности ниже среднего по России. Если доля врачей составляла ≥0.41 на 10 тыс. детей, вероятность того, что младенческая смертность в субъекте окажется ниже среднего была статистически более достоверной (отношение шансов – 2.4, 95% ДИ 1.22–4.69, р = 0.001).
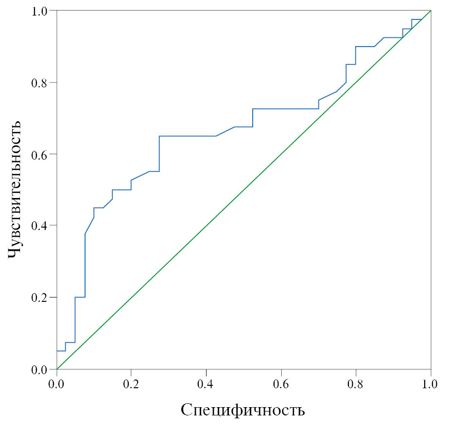
Регрессионный анализ показал, что разделение регионов на группы в зависимости от обеспеченности детского населения кардиологами коррелирует с уровнем младенческой смертности (рис. 3). С помощью предсказательной модели обнаружена статистически достоверная взаимосвязь между долей специалистов на 10 тыс. детей и вероятностью попадания региона в группу с уровнем младенческой смертности выше среднего (р = 0.015). AUC-модель равнялась 0.664 (95% ДИ 0.54–0.78), чувствительность и специфичность – 75 и 57.5% соответственно при пороговом значении 0.28 из расчёта на 10 тыс. детей. Таким образом, большее число врачей рассматривается как статистически достоверный предиктор снижения вероятности попадания региона в группу с летальностью выше среднего по России.
Рис. 3. Логистическая регрессионная модель уровня младенческой смертности в зависимости от обеспеченности регионов РФ детскими кардиологами
График демонстрирует модель AUC = 0.664 (95% ДИ 0.54–0.78), р = 0.015, с хорошим уровнем дискриминации, при оптимальном пороговом значении J = 0.28 (количество детских кардиологов на 10 тыс. детского населения), специфичностью 75% и чувствительностью 57.5%. Получается, что в регионах с долей детских кардиологов более 0.28 на 10 тыс. детей (при рождаемости 467 435 в 2022 г.), предположительно, можно сохранить жизнь 434 детям, то есть 93 на каждые 100 тыс. родов.
Обсуждение. Повышение выживаемости детей с врождёнными пороками сердца на протяжении многих лет – результат комплексных усилий специалистов разного профиля, среди которых ведущая роль отводится детским кардиологам. Эта специальность впервые появилась в 1961 г. в западных странах [8], и с тех пор её значение сильно возросло. Результаты лечения маленьких пациентов продолжали улучшаться, что привело к своеобразному парадоксу: сегодня в развитых странах популяция взрослых с ВПС стала превышать общее число детей с таким пороком [14].
Помимо лечения сердечной недостаточности, нарушений ритма сердца и лёгочной гипертензии, детские врачи-кардиологи консультируют пациентов с шумами в сердце различного генеза, болью в грудной клетке, синкопе (обмороке), приобретённой патологией (миокардиты, болезнь Кавасаки, перикардиты, острая ревматическая лихорадка). Этот список пополнила и новая коронавирусная инфекция COVID-19. Основная задача детских кардиологов заключается в тесном сотрудничестве с детскими реаниматологами и неонатологами, обеспечивающими интенсивное лечение новорождённых и детей грудного возраста. Пациенты с критическими ВПС, включая персистирующую неонатальную лёгочную гипертензию и открытый артериальный проток, часто имеют сопутствующие состояния, вызванные в том числе системным поражением из-за осложнений от порока сердца. При наличии конкурирующих заболеваний и генетических нарушений практически любой ВПС может принимать неблагоприятное течение и иметь совершенно иной прогноз.
Среди всего многообразия врождённых пороков сердца наибольшие опасения касательно наступления летального исхода вызывают критически значимые ВПС (с дуктус-зависимым системным или лёгочным кровотоком, а также смешанного типа) [15]. Тяжёлым прогнозом также сопровождается группа клинически значимых ВПС (со значительным лево-правым или право-левым сбросом крови в сердце), поскольку структурные аномалии развития при этом являются существенными. Экстренные операции в первые дни жизни в таких случаях требуются не всегда, а клинические проявления зачастую не столь выраженные, как в первой группе. Однако это не гарантирует благоприятного естественного течения заболевания. Без своевременного вмешательства смерть нередко может наступить уже во младенчестве [16]. Более того, даже в случае наиболее критических ВПС до 31% детей могут иметь нераспознанную патологию вплоть до выписки из медицинского учреждения, что предопределяет их запоздалое обращение в высокоспециализированные клиники по заведомо осложнённому сценарию [17]. В связи с этим детские врачи-кардиологи вносят неоценимый вклад в повышение выживаемости своих пациентов.
Снижение младенческой смертности – глобальная, комплексная задача, решение которой направлено не только на улучшение демографической ситуации в стране, но и связано с серьёзной экономической составляющей. В совокупности это позволяет эффективно бороться с другими неблагоприятными социальными факторами, вызванными утратой здоровья в раннем детском возрасте. Именно плохое здоровье, маркером которого служит младенческая смертность, ответственно за феномен передачи бедности между поколениями [18]. Дети, рождённые в незащищённой социальной среде, имеют более низкие показатели здоровья и не могут приумножать общественное благополучие. Как результат, во взрослом возрасте эффективность их труда и доходы ниже, и эта модель жизни наследуется их потомками.
Любое государство должно быть заинтересовано в достижении низких показателей детской смертности. Ярким примером тому служит опыт некоторых развивающихся стран Латинской Америки [18]. Так, согласно расчётам, в Боливии только одна из предложенных программ по снижению летальности в итоге окупается в 1.38–2.38 раза. Считается также, что именно за счёт снижения детской смертности (так называемый “демографический дар”) в странах Восточной Азии в 1965–1990 гг. был отмечен ежегодный 6%-ый экономический рост [19].
В литературных источниках уже приводился анализ младенческой смертности от разных врождённых пороков сердца, а также разбор особенностей маршрутизации таких больных. Однако сведения о врождённой сердечной патологии постоянно обновляются, а накопленные знания систематизируются. В связи с расширением возможностей и значительным увеличением количества операций при сердечно-сосудистой патологии за последние годы необходима оптимизация маршрутизации для оказания высокоспециализированной помощи пациентам [20, 21]. Своевременная диагностика занимает здесь центральное место. Совершенствование скрининговых мероприятий на этапе перинатальных клиник и роддомов способно существенно сократить младенческую смертность в масштабах России. Во всех специализированных медицинских учреждениях нужно разработать региональные протоколы проведения скрининга на критические ВПС с включением в них ранее утверждённых стандартных операционных процедур.
Всё вышесказанное подводит нас к следующей важной проблеме: влияние кадрового потенциала на оказание медицинской помощи детям с ВПС или, другими словами, количество и распределение детских врачей-кардиологов в регионах. Несмотря на то, что исследования кадрового обеспечения проводятся на постоянной основе, данный вопрос коснулся детских кардиологов сравнительно недавно. Согласно опросам Европейской ассоциации детских кардиологов (Association for European Paediatric and Congenital Cardiology), отдельная специальность “детская кардиология” до сих пор не утверждена министерствами здравоохранения семи европейских стран (23%): Испания, Италия, Норвегия, Греция, Словения, Дания, Бельгия. Данный пробел компенсируется специальными неформальными программами обучения. Проблему не оставляют без внимания: в частности, Бельгия в настоящее время находится в процессе утверждения этой специальности. В Европе в целом доля детских кардиологов по отношению к общей численности населения составляет в среднем 4.2 на 1 млн (в интервале 0.9–11.8) [22]. В России, по данным ассоциации, – 7.6 на 1 млн человек, что является одним из наиболее высоких показателей после Исландии (11.8) и Германии (8.1). Уровень младенческой смертности в двух последних странах также один из самых низких –1.4 и 3 на 1000 новорождённых соответственно [23]. Стоит отметить, что в России есть все предпосылки для дальнейшего снижения летальности.
В США на 73 602 752 ребёнка приходится 3045 практикующих детских кардиологов [24] (ЮНИСЕФ, data.unicef.org), то есть 4.09 на 100 тыс. (клинический кадровый эквивалент, CWE) [8] или 0.4 на 100 тыс. c 95% ДИ 0.32–0.5. Распределение между административными единицами неравномерное и с бо́льшим разбросом (2.54) по сравнению с Россией (1.81). В штате Вайоминг, к примеру, на момент исследования детские кардиологи отсутствовали, тогда как в округе Колумбия их было 2.54 на 10 тыс. детей. При этом в США только в 15% случаях была превышена верхняя граница 95% ДИ, в то время как в России – в 33.7%. Младенческая смертность в США в 2022 г. возросла на 3% и составила 5.6 на 1000 новорождённых [25, 26]. Доля детских кардиологов в США – 1 на 24 171 ребёнка (9.1 на 1 млн общего населения), в России – 1 на 27 596.
Взаимосвязь между количеством детских кардиологов и уровнем младенческой смертности детально не изучалась, но в настоящее время в России летальность ниже, чем в США. Построенная нами модель ROC-кривой на основе регрессионного анализа статистически достоверна в плане прогнозирования снижения младенческой смертности в зависимости от числа врачей на 10 тыс. детей. Чувствительность модели хорошая, специфичность средняя, при этом модель не учитывает влияния других потенциальных показателей. В связи с этим требуются дальнейшие исследования, в том числе с включением в прогностические модели множественных факторов, что в будущем позволит более комплексно работать над снижением смертности.
Индия служит печальным примером острой нехватки специалистов: в 2022 г. младенческая смертность здесь достигла 27.69 на 1000 новорождённых [10]. За последние 16 лет количество центров детской кардиологии возросло с 14 до 90. При этом в некоторых штатах с ежегодной рождаемостью 450 тыс. локализовано до восьми специализированных клиник (Керала), а в наиболее густонаселённых (Уттар-Прадеш и Бихар с рождаемостью 4.8 и 2.7 млн соответственно) вообще нет возможности оказывать неонатальную помощь при врождённых пороках сердца. На 4.5 млн детей приходится лишь один кардиолог (0.006 на 10 тыс.). Следует отметить, что Общество детских кардиологов Индии занимается решением этой проблемы и регулярно утверждает программы подготовки резидентов по направлению “детская кардиология” и специализациям в области фетальной кардиологии, электрофизиологии, интенсивной детской кардиологии [10].
Возвращаясь к ситуации в России, следует назвать 17 регионов с наиболее высокой младенческой смертностью при одновременной нехватке специалистов: Кемеровская, Курганская, Орловская, Псковская, Рязанская, Тверская области, Алтайский, Забайкальский, Камчатский, Приморский края, республики Ингушетия, Крым, Тыва, Карачаево-Черкесская, Чеченская, Хакасия, Чукотский автономный округ. Республика Дагестан могла бы пополнить этот список по показателю смертности, однако не предоставила данных о практикующих здесь детских кардиологах. Нет точных данных по Самарской области. В Ивановской и Брянской областях, а также в Республике Карелия специалистов достаточно, но статистика младенческой смертности неутешительная, что требует анализа эффективности работы врачей. Астраханская область с учётом плотности населения находится в числе лидеров по количеству детских кардиологов, уступая только Саратовской области и Санкт-Петербургу. Тем не менее по уровню смертности регион нельзя назвать благополучным, несмотря на наличие здесь федеральной кардиохирургической клиники. В связи с этим требуется тщательный анализ эффективности и безопасности кардиологической и кардиохирургической помощи. Не всегда можно судить о качестве оказания помощи детям с врождёнными пороками сердца только на основании обеспеченности населения врачами. Но сам факт наличия детской кардиологической службы способствует более интенсивному обмену данными по сложным пациентам между различными региональными учреждениями и более активной тактике их ведения. С момента утверждения в России специальности “детская кардиология” в начале 2010-х годов стала заметно снижаться детская смертность не только от болезней системы кровообращения, но и в целом.
В настоящее время недостаточно изучена фактическая доступность специалистов: их географическая удалённость от мест проживания детей, требующих лечения. Также сложно оценить степень влияния объёма и содержания программ обучения по специальности “детская кардиология” на уровень подготовки специалистов на местах [8]. Кроме того, существует проблема с их равномерным распределением по территории страны, поскольку после завершения обучения значительная часть молодых врачей традиционно остаётся в регионах, где они получали образование.
***
Как показал проведённый анализ, Россия достаточно хорошо обеспечена детскими врачами-кардиологами по сравнению с большинством стран, включая европейские, но в ряде регионов этот показатель требует пристального внимания и улучшения. Младенческая смертность продолжает активно снижаться, хотя существенные различия между регионами также имеются. Увеличение количества специалистов по детской кардиологии в отдельных субъектах, совершенствование нормативно-правовой базы по маршрутизации больных с врождёнными пороками сердца – это лишь отдельные пункты в комплексной задаче, решение которой будет в значительной степени способствовать снижению младенческой смертности в нашей стране.
About the authors
E. Z. Golukhova
Bakoulev National Medical Research Center for Cardiovascular Surgery, Ministry of Health of the Russian Federation
Author for correspondence.
Email: ezgolukhova@bakulev.ru
академик РАН, директор
Russian Federation, MoscowA. I. Kim
Bakoulev National Medical Research Center for Cardiovascular Surgery, Ministry of Health of the Russian Federation
Email: aikim@bakulev.ru
доктор медицинских наук, заведующий отделом кардиохирургии новорождённых и детей младенческого возраста
Russian Federation, MoscowA. E. Chernogrivov
Bakoulev National Medical Research Center for Cardiovascular Surgery, Ministry of Health of the Russian Federation
Email: aechernogrivov@bakulev.ru
доктор медицинских наук, главный научный сотрудник
Russian Federation, MoscowV. Yu. Semenov
Bakoulev National Medical Research Center for Cardiovascular Surgery, Ministry of Health of the Russian Federation
Email: vysemenov@bakulev.ru
доктор медицинских наук, заместитель директора по организационно-методической работе
Russian Federation, MoscowT. V. Zavalikhina
Bakoulev National Medical Research Center for Cardiovascular Surgery, Ministry of Health of the Russian Federation
Email: tvzavalikhina@bakulev.ru
кандидат медицинских наук, главный врач Института коронарной и сосудистой хирургии
Russian Federation, MoscowI. E. Nefedova
Bakoulev National Medical Research Center for Cardiovascular Surgery, Ministry of Health of the Russian Federation
Email: ienafedova@bakulev.ru
доктор медицинских наук, заведующая отделением экстренной хирургии недоношенных и детей 1 года жизни с ВПС (ЭХН)
Russian Federation, MoscowV. I. Dontsova
Bakoulev National Medical Research Center for Cardiovascular Surgery, Ministry of Health of the Russian Federation
Email: vidontsova@bakulev.ru
кандидат медицинских наук, врач ультразвуковой диагностики
Russian Federation, MoscowE. A. Shakhnazaryan
Bakoulev National Medical Research Center for Cardiovascular Surgery, Ministry of Health of the Russian Federation
Email: eashakhnazaryan@bakulev.ru
младший научный сотрудник
Russian Federation, MoscowReferences
- Spector L.G., Menk J.S., Knight J.H. et al. (2018) Trends in Long-Term Mortality After Congenital Heart Surgery. J. Am. Coll. Cardiol., vol. 71 (21), pp. 2434–2446.
- Ким А.И., Черногривов А.Е., Нефедова И.Е. и др. (2023) Реконструкция дуги аорты по методике “Бакулевский мост” у новорождённых // Грудная и сердечно-сосудистая хирургия. № 1 (65). С. 79–87. Kim A.I., Chernogrivov A.E., Nefedova I.E. et al. (2023) Reconstruction of the aortic arch by the “Bakulev Bridge” technique in newborns. Russian Journal of Thoracic and Cardiovascular Surgery, vol. 65 (1), pp. 88–94. (In Russ.)
- Mandalenakis Z., Giang K.W., Eriksson P. et al. (2020) Survival in Children with Congenital Heart Disease: Have We Reached a Peak at 97%? J. Am. Heart Assoc., vol. 9 (22), e017704.
- Бокерия Л.А., Милиевская Е.Б., Прянишников В.В., Юрлов И.А. (2022) Сердечно-сосудистая хирургия – 2022. Болезни и врождённые аномалии системы кровообращения. М.: НМИЦ ССХ им. А.Н. Бакулева. Bokerija L.A., Milievskaya E.B., Pryanishnikov V.V., Yurlov I.A. (2022) Cardiovascular surgery – 2022. Diseases and congenital anomalies of the circulatory system. Moscow: Bakulev Scientific Center for Cardiovascular Surgery. (In Russ.)
- Бокерия Л.А., Милиевская Е.Б., Прянишников В.В. и др. (2021) Сердечно-сосудистая хирургия – 2021. Болезни и врождённые аномалии системы кровообращения. М.: НМИЦ ССХ им. А.Н. Бакулева. Bokerija L.A., Milievskaya E.B., Pryanishnikov V.V. et al. (2021) Cardiovascular surgery – 2021. Diseases and congenital anomalies of the circulatory system. Moscow: Bakulev Scientific Center for Cardiovascular Surgery. (In Russ.)
- Dolk H., Loane M., Garne E. (2011) European Surveillance of Congenital Anomalies (EUROCAT) Working Group. Congenital heart defects in Europe: prevalence and perinatal mortality, 2000 to 2005. Circulation, vol. 123 (8), pp. 841–849.
- Torres-Cosme J.L., Rolón-Porras C., Aguinaga-Ríos M. et al. (2016) Mortality from Congenital Heart Disease in Mexico: A Problem on the Rise. PLoS One, vol. 11 (3), e0150422.
- Frank L.H., Glickstein J., Brown D.W. et al. (2024) Child Health Needs and the Pediatric Cardiology Workforce: 2020–2040. Pediatrics, vol. 153, sup. 2, e2023063678E.
- Eckersley L., Sadler L., Parry E. et al. (2015) Timing of diagnosis affects mortality in critical congenital heart disease. Archives of disease in childhood, vol. 101 (6), pp. 516–520.
- Ramakrishnan S. (2021) Pediatric cardiology: Is India self-reliant? Ann. Pediatr. Cardiol., vol. 14 (3), pp. 253–259.
- Росстат. https://rosstat.gov.ru
- Ilker U. (2017) Defining an Optimal Cut-Point Value in ROC Analysis: An Alternative Approach. Computational and Mathematical Methods in Medicine, vol. 2017, 3762651.
- Приказ Министерства здравоохранения РФ № 440н «Об утверждении Порядка оказания медицинской помощи по профилю “детская кардиология”» от 25 октября 2012 г. (с изменениями и дополнениями).
- Moons P., Bovijn L., Budts W. et al. (2010) Temporal trends in survival to adulthood among patients born with congenital heart disease from 1970 to 1992 in Belgium. Circulation, vol. 122 (22), pp. 2264–2272.
- Willim H.A., Cristianto, Supit A.I. (2020) Critical Congenital Heart Disease in Newborn: Early Detection, Diagnosis, and Management. Bioscientia Medicina: Journal of Biomedicine & Translational Research, vol. 5 (1), pp. 107–116.
- Taksande A., Jameel P.Z. (2021) Critical Congenital Heart Disease in Neonates: A Review Article. Curr. Pediatr. Rev., vol. 17 (2), pp. 120–126.
- McClain M.R., Hokanson J.S., Grazel R. et al. (2017) Critical congenital heart disease newborn screening implementation: lessons learned. Matern Child Health J., vol. 21 (6), pp. 1240–1249.
- Case A., Fertig A., Paxson C. (2003) From cradle to grave? The lasting impact of childhood health and circumstances. Cambridge: National Bureau of Economic Research.
- Bloom D.E., Williamson J.G. (1998) Demographic transitions and economic miracles in emerging Asia. World Bank Economic Review, vol. 12, pp. 419–455.
- Голухова Е.З., Ким А.И., Завалихина Т.В. и др. (2023) Анализ оказания медицинской помощи детям с врождёнными пороками сердца в Российской Федерации и предпосылки к созданию регистра в современную эру цифровых медицинских информационных систем // Креативная кардиология. № 3. С. 315–321. Goluhova E.Z., Kim A.I., Zavalihina T.V. et al. (2023) Analysis of medical care for children with congenital heart defects in the Russian Federation and prerequisites for the creation of a registry in the modern era of digital medical information systems. Creative Cardiology, no. 3, pp. 315–321. (In Russ.)
- Черногривов А.Е., Нефедова И.Е., Завалихина Т.В. и др. (2023) Первые этапы развития маршрутизации пациентов первого года жизни с критическими врождёнными пороками сердца на основе платформы ВИМИС // Бюллетень НЦССХ им. А.Н. Бакулева РАМН. Сердечно-сосудистые заболевания. Т. 24. № S3. С. 9. Chernogrivov A.E., Nefedova I.E., Zavalihina T.V. et al. (2023) The first stages of the development of routing of patients of the first year of life with critical congenital heart defects based on the WIMIS platform. Bulletin of the A.N. Bakulev National Research Center of the Russian Academy of Medical Sciences. Cardiovascular diseases, vol. 24, no. S3, p. 9. (In Russ.)
- McMahon C.J., Heying R., Budts W. et al. (2022) Paediatric and adult congenital cardiology education and training in Europe. Cardiol. Young, vol. 32 (12), pp. 1966–1983.
- Мировой атлас данных. https://ru.knoema.com/atlas/ Германия/topics/Здравоохранение/Состояние- здоровья/Коэффициент-младенческой-смертности
- American Board of Pediatrics. Pediatricians with multiple ABP certifications. https://www.abp.org/dashboards/pediatriciansmultiple-abp-certifications
- ЮНИСЕФ. https://www.data.unicef.org/how-many/how-many-children-under-18-are-there-in-the-us/
- Центр контроля и предупреждения болезней, США. https://www.cdc.gov/nchs/products/ index.htm
Supplementary files





