Вариации состава закалочных стекол MORB Срединно-Атлантического хребта, 12°–31° с.ш.: отражение эволюции состава родительских расплавов и влияния гидротермального компонента
- Авторы: Силантьев С.А.1, Буйкин А.И.1, Цховребова А.Р.1, Шабыкова В.В.1, Бельтенев В.Е.2
-
Учреждения:
- Институт геохимии и аналитической химии им. В.И. Вернадского РАН
- ФГБУ “ВНИИОкеангеология”
- Выпуск: Том 31, № 5 (2023)
- Страницы: 463-481
- Раздел: Статьи
- URL: https://journal-vniispk.ru/0869-5903/article/view/141014
- DOI: https://doi.org/10.31857/S0869590323050059
- EDN: https://elibrary.ru/BXMUBN
- ID: 141014
Цитировать
Полный текст
Аннотация
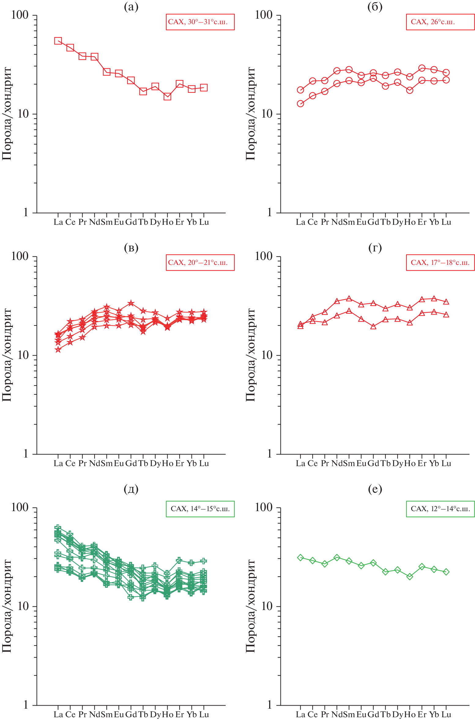
В ходе проведенного исследования были изучены геохимические особенности образцов закалочных стекол, отобранных в шести районах осевой зоны Срединно-Атлантического хребта (САХ), расположенных между 12°–31° с.ш. Полученные результаты предоставили информацию о составе родительских для этих закалочных стекол расплавов и позволили оценить возможные геохимические эффекты, отражающие взаимодействие расплавов с гидротермальными системами осевой зоны САХ или с измененным субстратом океанической коры. Показано, что, с одной стороны, базальты семейства E-MORB, к которому относится бóльшая часть образцов изученных закалочных стекол, локализованы преимущественно в “холодных” сегментах САХ, в строении корового разреза которых преобладают серпентиниты. С другой стороны, образцы деплетированных закалочных стекол (N-MORB), относятся к сегментам осевой зоны САХ, в которых обнажения серпентинитов или отсутствуют, или играют подчиненную роль. В закалочных стеклах E-MORB из “холодных” сегментов САХ установлены признаки контаминации базальтовых расплавов компонентами, заимствованными или из вмещающих серпентинитов, или из водно-солевых флюидов, циркулирующих в гидротермальных системах, расположенных в серпентинитах (“serpentinite hosted”). Судя по полученным данным о характере вариаций содержаний Cl, U и Sr в изученных закалочных стеклах, относящихся к семейству N-MORB, признаки внутрикоровой контаминации в них отсутствуют. Предположено, что в образовании родительских расплавов E-MORB в некоторых сегментах САХ принимали участие реликты древней континентальной литосферы, сохранившиеся под осевой зоной хребта и вовлекавшиеся в процесс частичного плавления малоглубинной мантии.
Об авторах
С. А. Силантьев
Институт геохимии и аналитической химии им. В.И. Вернадского РАН
Автор, ответственный за переписку.
Email: silantyev@geokhi.ru
Россия, Москва
А. И. Буйкин
Институт геохимии и аналитической химии им. В.И. Вернадского РАН
Email: silantyev@geokhi.ru
Россия, Москва
А. Р. Цховребова
Институт геохимии и аналитической химии им. В.И. Вернадского РАН
Email: silantyev@geokhi.ru
Россия, Москва
В. В. Шабыкова
Институт геохимии и аналитической химии им. В.И. Вернадского РАН
Email: silantyev@geokhi.ru
Россия, Москва
В. Е. Бельтенев
ФГБУ “ВНИИОкеангеология”
Email: silantyev@geokhi.ru
Россия, Санкт-Петербург
Список литературы
- Бортников Н.С., Силантьев С.А., Беа Ф. и др. Разновозрастные цирконы и их изотопный состав (Hf, O) в породах осевой зоны Срединно-Атлантического хребта: свидетельства неоднократного плавления гетерогенной мантии и эпизодической аккреции океанической коры в зоне спрединга // Петрология. 2022. Т. 30. № 1. С. 3–30.
- Бельтенев В.Е., Рождественская И.И., Самсонов И.К. и др. Поисковые работы на площади Российского разведочного района в Атлантическом океане с оценкой прогнозных ресурсов ГПС категории Р2 и Р3 в блоках 31–45. Ломоносов: Фонды ФГУНПП “ПМГРЭ”, 2016.
- Бельтенев В.Е., Лазарева Л.И., Черкашёв Г.А. и др. Новые гидротермальные рудные поля на Срединно-Атлантическом хребте: Юбилейное (20°09ʹ с.ш.) и Сюрприз (20°45ʹ с.ш.) // Докл. АН. 2017. Т. 476. № 3. С. 305–310.
- Богданов Ю.А., Лисицын А.П., Сагалевич А.М., Гуревич Е.Г. Гидротермальный рудогенез океанского дна. М.: Наука, 2006. 527 с.
- Дмитриев Л.В. Вариации состава базальтов срединно-океанических хребтов как функция геодинамической обстановки их формирования // Петрология. 1998. Т. 6. № 4. С. 340–362.
- Дмитриев Л.В., Соколов С.Ю. Геодинамика трех контрастных типов магматизма океана и их отражение в данных сейсмотомографии // Петрология. 2003. Т. 11. № 6. С. 655–672.
- Дмитриев Л.В., Соколов С.Ю., Плечова А.А. Статистическая оценка вариаций состава и P-T условий эволюции базальтов срединно-океанических хребтов и их региональное распределение // Петрология. 2006. Т. 14. № 2. С. 1–22.
- Костицын Ю.А., Силантьев С.А., Аносова М.О. и др. Возраст плутонических пород разлома Вима (Центральная Атлантика) и природа их мантийных источников // Геохимия. 2018. № 2. С. 1–23.
- Cилантьев С.А. Условия формирования плутонического комплекса Срединно-Атлантического хребта, 13°–17° с.ш. // Петрология. 1998. Т. 6. № 4. С. 381–421.
- Силантьев С.А. Вариации геохимических и изотопных характеристик реститовых перидотитов вдоль простирания Срединно-Атлантического хребта как отражение природы мантийных источников магматизма // Петрология. 2003. Т. 11. № 4. С. 339–362.
- Силантьев С.А., Данюшевский Л.В., Плечова А.А. и др. Геохимические и изотопные черты продуктов магматизма рифтовой долины САХ в районах 12°49ʹ–17°23ʹс.ш. и 29°59ʹ–33°41ʹс.ш.: свидетельство двух контрастных источников родительских расплавов // Петрология. 2008. Т. 16. № 1. С. 38–65.
- Силантьев С.А., Мироненко М.В., Новоселов А.А. Гидротермальные системы в перидотитовом субстрате медленно-спрединговых хребтов. Моделирование фазовых превращений и баланса вещества: Нисходящая ветвь // Петрология. 2009. Т. 17. № 2. С. 154–174.
- Силантьев С.А., Краснова Е.А., Каннат М. и др. Перидотит-габбро-трондьемитовая ассоциация пород Срединно-Атлантического хребта в районе 12°58ʹ–14°45ʹ с.ш.: гидротермальные поля Ашадзе и Логачев // Геохимия. 2011. № 4. С. 1–34.
- Силантьев С.А., Бортников Н.С., Шатагин К.Н. и др. Перидотит-базальтовая ассоциация САХ на 19°42´–19°59´с.ш.: оценка условий петрогенезиса и баланса вещества при гидротермальном преобразовании океанической коры // Петрология. 2015. Т. 23. № 1. С. 1–23.
- Суханова А.А. Минералого-геохимические особенности глубоководных сульфидных руд поля Юбилейное (Российский разведочный район Срединно-Атлантического хребта). Дис. … канд. геол.-мин. наук. СПб.: Государственный горный ун-т, 2018. 137 с.
- Andreani M., Escartin J., Delacour A. et al. Tectonic structure, lithology, and hydrothermal signature of the Rainbow massif (Mid-Atlantic Ridge 36°14' N) // Geochem. Geophys. Geosyst. 2014. V. 15. P. 3543–3571.
- Arevalo R.Jr., McDonough W.F. Chemical variations and regional diversity observed in MORB // Chemical Geol. 2010. V. 271. P. 70–85.
- Becker T.W., Boschi L. A comparison of tomographic and geodynamic mantle models // Geochem. Geophys. Geosyst. 2002. V. 3. P. 1–48.
- Bel’tenev V., Shagin A., Markov V. et al. A new hydrothermal field at 16° 38.4ʹ N, 46° 28.5ʹ W on the Mid-Atlantic Ridge // InterRidge News. 2004. № 13. P. 5–6.
- Bonatti E., Peyve A., Kepezhinskas P. et al. Upper mantle heterogeneity below Mid-Atlantic Ridge 0°–15° N // J. Geophys. Res. 1992. V. 97. B4. P. 4461–4476.
- Bottazzi P., Ottolini L., Vannucci R., Zanetti A. An accurate procedure for the quantification of rare earth elements in silicates // SIMS IX Proceedings. Eds. A. Benninghoven, Y. Nihei, R. Shimizu and H.W. Werner. Chichester: Wileys, 1994. P. 927–930.
- Bougault H., Dmitriev L., Schilling J.-G. et al. Mantle hete-rogeneity from trace elements: MAR triple junction near 14° N // Earth Planet. Sci. Lett. 1988. V. 88. P. 27–36.
- Broadley M.W., Burgess R., Kumagai H. et al. Halogen variations through the quenched margin of a MORB lava: evidence for direct assimilation of seawater during eruption // Geochem. Geophys. Geosyst. 2017. V. 18. P. 2413–2428.
- Buikin A.I., Silantyev S.A., Verchovsky A.B. N-Ar-He-CO2 systematics combined with H2O, Cl, K abundances in MORB glasses demonstrate interaction of magmatic and hydrothermal systems: a case for MAR at 16°07ʹ–17°11ʹ N // Geochem Int. 2022. V. 60. № 11. P. 1068–1086.
- Cannat M., Casey J.F. An Ultramafic lift at the Mid-Atlantic Ridge: successive stages of magmatism in serpentinized peridotites from the 15° N Region // Mantle and Lower Crust Exposed in Oceanic Ridges and in Ophiolites. Eds. R.L.M. Vissers and A. Nicolas. Kluwer Academic Publ., 1995. P. 5–34.
- Casey J.F. Comparison of major and trace-element geochemistry of abyssal peridotites and mafic plutonic rocks with basalts from the MARK Region of the Mid-Atlantic Ridge // Eds. J.A. Karson, M. Cannat, D.J. Miller, and D. Elthon. Proceedings of the Ocean Drilling Program, Sci. Res. 1997. V. 153. P. 181–241.
- Cherkashov G., Poroshina I., Stepanova T. et al. Seafloor massive sulfides from the northern equatorial Mid-Atlantic Ridge: new discoveries and perspectives // Marine Georesources and Geotechnology. 2010. V. 28. № 3. P. 222– 239.
- Clog M., Aubaud C., Cartigny P., Dosso L. The hydrogen isotopic composition and water content of southern Pacific MORB: a reassessment of the D/H ratio of the depleted mantle reservoir // Earth Planet. Sci. Lett. 2013. V. 381. P. 156–165.
- Dick H.J.B., Lissenberg C.J., Warren J.M. Mantle melting, melt transport, and delivery beneath a Slow-Spreading Ridge: the Paleo-MAR from 23°15′ N to 23°45′ N // J. Petrol. 2010. V. 51. Iss. 1–2. P. 425–467.
- Dosso L., Hanan B.B., Bougault H. et al. Sr-Nd-Pb geochemical morphology between 10° and 17° N on the Mid-Atlantic Ridge: a new MORB isotope signature // Earth Planet. Sci. Lett. 1991. V. 106. P. 29–43.
- Dosso L., Bougault H., Langmuir C. et al. The age and distribution of mantle heterogeneity along the Mid-Atlantic Ridge (31°–41° N) // Earth Planet. Sci. Lett. 1999. V. 179. P. 269–286.
- Eason D., Sinton J. Origin of high-Al N-MORB by fractional crystallization in the upper mantle beneath the Galápagos Spreading Center // Earth Planet. Sci. Lett. 2006. V. 252. P. 423–436.
- Fedotova A.A., Bibikova E.V., Simakin S.G. Ion-microprobe zircon geochemistry as an indicator of mineral genesis during geochronological studies // Geochem. Int. 2008. V. 46. № 9. P. 912–927.
- Firstova A., Stepanova T., Cherkashov G. et al. Composition and formation of gabbro-peridotite hosted seafloor massive sulfide deposits from the Ashadze-1 hydrothermal field, Mid-Atlantic Ridge // Minerals. 2016. V. 6. № 19. https://doi.org/10.3390/min6010019
- Grand S.P. Mantle Shear-Wave Tomography and the Fate of Subducted Slabs // Phil. Trans. R. Soc. Lond. 2002. V. 360. P. 2475–2491.
- Grand S.P., van der Hilst R.D., Widiyantoro S. Global seismic tomography: a snapshot of convection in the Earth // GSA Today. 1997. V. 7. № 4. P. 1–7
- Halliday A.N., Lee D.-C., Tommasini S. et al. Incompatible trace elements in OIB and MORB and source enrichment in the sub-oceanic mantle // Earth Planet. Sci. Lett. 1995. V. 133. P. 379–395.
- Hemond C., Hofmann A.W., Vlastelic I., Nauret F. Origin of MORB enrichment and relative trace element compatibilities along the Mid-Atlantic Ridge between 10° and 24° N // Geochem. Geophys. Geosyst. 2006. V. 7. № 12. Q12010. .https://doi.org/10.1029/2006GC001317
- Humphris S.E., Tivey M.K., Tivey M.A. The Trans-Atlantic Geotraverse hydrothermal field: a hydrothermal system on an active detachment fault // Deep Sea Research Part II: Topical Studies in Oceanography. 2015. V. 121. P. 8–16.
- James R.H., Elderfield H., Palmer M.R. The chemistry of hydrothermal fluids from the Broken Spur site, 29° N Mid-Atlantic Ridge // Geochim. Cosmochim. Acta. 1995. V. 59. № 4. P. 651–659.
- Jochum K.P., Dingwell D.B., Rocholl A. et al. The preparation and preliminary characterisation of eight geological MPI-DING reference glasses for in situ microanalysis // Geost. Newslett. 2000. V. 24. P. 87–133.
- Kendrick M.A., Kamenetsky V.S., Phillips D., Honda M. Halogen systematics (Cl, Br, I) in Mid-Ocean Ridge basalts: a Macquarie Island case study // Geochim. Cosmochim. Acta. 2012. V. 81. P. 82–93.
- Klein E.M., Langmuir C.H. Global correlations of ocean ridge basalt chemistry with axial depth and crustal thickness // J. Geophys. Res. 1987. V. 92. P. 8089–8115.
- Klitgord K.D., Dmitriev L.V., Casey J.F. et al. 12th Cruise of the R/V “Akademik Boris Petrov” (Leg 1)/February 2–February 28. 1989. U.S. Soviet Collaborative Geological and Geophysical Survey of the Mid-Atlantic Ridge near 31° N. The Petrov Fracture Zone // U.S. Geol. Survey Open File Report № 94-7. December 30. 1993.
- Michael P.J., Cornell W.C. Influence of spreading rate and magma supply on crystallization and assimilation beneath Mid-Ocean Ridges: evidence from chlorine and major element chemistry of Mid-Ocean Ridge basalt // J. Geophys. Res. 1998. V. 103. B8. P. 18.325–18.356.
- Maslennikov V.V., Cherkashov G.A., Artemyev D.A. et al. Pyrite varieties at pobeda hydrothermal fields, Mid-Atlantic Ridge 17°07′–17°08′ N: LA-ICP-MS data deciphering // Minerals. 2020. V. 10. № 7. https://doi.org/10.3390/min10070622
- Melekestseva I., Maslennikov V.V., Safina N.P. et al. Sulfide breccias from the Semenov-3 hydrothermal field, Mid-Atlantic Ridge: authigenic mineral formation and trace element pattern // Minerals. 2018. V. 8. № 321. https://doi.org/10.3390/min8080321
- Murton B.J., Van Dover C., Southward E. Geological setting and ecology of the Broken Spur hydrothermal vent field: 29°10′ N on the Mid-Atlantic Ridge // Geol. Soc. London. Special Publ. 1995. V. 87. P. 33–41.
- Nosova A.A., Sazonova L.V., Narkisova V.V., Simakin S.G. Minor elements in clinopyroxene from Paleozoic volcanics of the Tagil Island Arc in the Central Urals // Geokhimiya. 2002. V. 40. № 3. P. 254–268.
- RIDGE Petrological Data Base, LGEO, 1999.
- Pertsev A.N., Aranovich L.Ya., Prokofiev V.Y. et al. Potassium-rich granite melt inclusions in zircon from gabbro-hosted felsic stringers, Mid-Atlantic Ridge at 13°34′ N: E‑MORB connection // Lithos. 2021. V. 400–401. 106300.
- Rona P.A. TAG hydrothermal field: Mid-Atlantic Ridge crest at latitude 26° N // J. Geol. Soc. 1980. V. 137. P. 385–402.
- Rona P.A., Hannington M.D., Raman C.V. et al. Active and relict Sea-Floor hydrothermal mineralization at the TAG hydrothermal field. Mid-Atlantic Ridge // Econom. Geol. 1993. V. 88. P. 1989–2017.
- Sarda P., Graham D. Mid-Ocean Ridge popping rocks: implications for degassing at ridge crests // Earth Planet. Sci. Lett. 1990. V. 97. P. 268–289.
- Schilling J.-G., Zajac M., Evans R. et al. Petrologic and geochemical variations along the Mid-Atlantic Ridge from 27° and 73° N // Amer. J. Sci. 1983. V. 283. P. 510–586.
- Sharp Z.D., Barnes J.D. Water-soluble chlorides in massive seafloor serpentinites: a source of chloride in subduction zones // Earth Planet. Sci. Lett. 2004. V. 226. P. 243–254.
- Shimizu K., Saal A.E., Myers C.E. et al. Two-component mantle melting-mixing model for the generation of Mid-Ocean Ridge basalts: implications for the volatile content of the Pacific upper mantle // Geochim. Cosmochim. Acta. 2016. V. 176. P. 44–80.
- Shipboard Scientific Party. Drilling Mantle Peridotite along the Mid-Atlantic Ridge from 14° to 16° N. Ocean Drilling Program, Leg 209 Preliminary Report, Texas A&M University, College Station TX, 2003. 160 p.
- Shipboard Scientific Party. SERPENTINE. Scientific Cruise Report. February 25–April 5. Iferemer – Centre de Brest. 2007. 375 p.
- Smirnov V.K., Sobolev A.V., Batanova V.G. et al. Quantitative SIMS analysis of melt inclusions and host minerals for trace elements and H2O // EOS Trans. Spring Meet. Suppl. AGU 17. 1995. P. 270.
- Sokolov S.Y., Chamov N.P., Khutorskoy M.D., Silantyev S.A. Intensity indicators of geodynamic processes along the Atlantic-Arctic Rift System // Geodynam. Tectonoph. 2020. V. 11. № 2. P. 302–319.
- Stroncik N.A., Niedermann S. Atmospheric contamination of the primary Ne and Ar signal in mid-ocean ridge basalts and its implications for ocean crust formation // Geochim. Cosmochim. Acta. 2016. V. 172. P. 306–321
- Su Y.J. Mid-Ocean Ridge basalt trace element systematics: constraints from database management, ICP-MS analyses, global data compilation, and petrologic modeling. Ph.D. Thesis. New York: Columbia University, 2002. 457 p.
- Sun C., Graff M., Liang Y. Trace element partitioning between plagioclase and silicate melt: the importance of temperature and plagioclase composition, with implications for terrestrial and lunar magmatism // Geochim. Cosmochim. Acta. 2017. V. 206. № 3. https://doi.org/10.1016/j.gca,2017.03.003
- Sun S.-S., McDonough W.F. Chemical and isotopic systematics of oceanic basalts: implications for mantle composition and processes // Magmatism in Ocean Basins. Eds. A.D. Saunders, M.J. Norry. Geol. Soc. Spec. Publ. London. 1989. V. 42. P. 313–345.
- Urann B.M., Le Roux V., Hammond K. et al. Fluorine and chlorine in mantle minerals and the halogen budget of the Earth’s mantle // Contrib. Mineral. Petrol. 2017. https://doi.org/10.1007/s00410-017-1368-7
- Wilson M. Igneous Petrogenesis. London: Unwin Hyman, Boston-Sidney-Wellington, 1989. 466 p.
- Verma S.P. Seawater alteration effects on REE, K, Rb, Cs, Sr, U, Th, Pb and Sr-Nd-Pb isotope systematics of Mid-Ocean Ridge basalt // Geochem. J. 1992. V. 26. P. 159–177.
- Winter J.D. An introduction to igneous and Metamorphic petrology // Upper Saddle River. New York: Prentice Hall, 2001. 697 p.
- Yang S., Humayun M., Salters V.J.M. Elemental systematics in MORB glasses from the Mid-Atlantic Ridge // Geochem. Geophys. Geosyst. 2018. V. 19. P. 4236–4259.
Дополнительные файлы















