Strontium and Barium Minerals in Alkaline Rocks of the Bolshetagninsky Ijolite-Syenite-Carbonatite Massif (Southwestern Margin of the Siberian Craton)
- Authors: Savelyeva V.B.1, Bazarova E.P.1, Khromova E.A.2
-
Affiliations:
- Institute of the Earth’s Crust Siberian Branch RAS
- Geological Institute N.L. Dobretsov Siberian Branch RAS
- Issue: Vol CLII, No 1 (2023)
- Pages: 78-101
- Section: МИНЕРАЛЫ И ПАРАГЕНЕЗИСЫ МИНЕРАЛОВ
- URL: https://journal-vniispk.ru/0869-6055/article/view/136735
- DOI: https://doi.org/10.31857/S0869605523010094
- EDN: https://elibrary.ru/NIABNS
- ID: 136735
Cite item
Full Text
Abstract
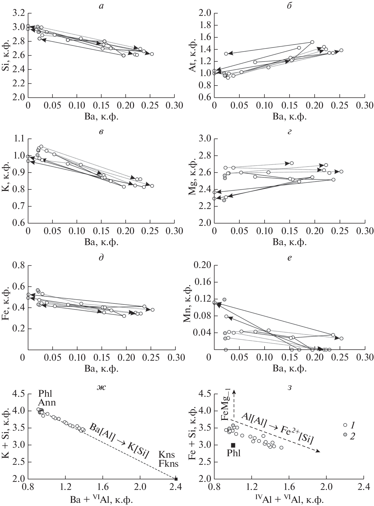
The paper displays data on Sr- and Ba-bearing minerals occurring in melteigite, ijolite, urtite, and nepheline syenite of the Bolshetagninsky ijolite-syenite-carbonatite massif. At the magmatic stage, strontium enters as an isomorphic admixture into calcite (SrO = 0.5–1.9 wt %) and fluorapatite (SrO = 0.6–2.6 wt %), while barium mainly enters in phlogopite and annite. Zonal phlogopite in urtite contains up to 8.4 wt % BaO (24 mol. % of kinoshitalite component); interstitial calcite in the same rock contains small ingrowths of barytocalcite. Stronalsite, strontianite, crichtonite, henrimeyerite, barite, celestite, Sr-bearing fluorcalcipyrochlore, Sr-bearing muscovite, and epidote have crystallized at the high-temperature postmagmatic stage. In the exocontact zone of the carbonatite stock, ijolite and nepheline syenite underwent biotitization, carbonatization, and K-feldspathization, followed by chloritization and formation, in some spots, of hyalophane and celsian segregations and veinlets. The formation of Ba-bearing muscovite and Ba-bearing manganese hydroxides took also place at the low-temperature hydrothermal stage. The presence of hyalophane and celsian in altered alkaline rocks is a peculiarity of the Bolshetagninsky massif, indicating the low activity of \({\text{SO}}_{4}^{{2 - }}\) in hydrothermal solutions.
About the authors
V. B. Savelyeva
Institute of the Earth’s Crust Siberian Branch RAS
Author for correspondence.
Email: vsavel@crust.irk.ru
Russia, 664033, Irkutsk, Lermontova st., 128
E. P. Bazarova
Institute of the Earth’s Crust Siberian Branch RAS
Author for correspondence.
Email: bazarova@crust.irk.ru
Russia, 664033, Irkutsk, Lermontova st., 128
E. A. Khromova
Geological Institute N.L. Dobretsov Siberian Branch RAS
Author for correspondence.
Email: lena.khromova.00@mail.ru
Russia, 670047, Ulan-Ude, Sakhyanova st., 6a
References
- Андреева Е.Д., Кононова В.А., Свешникова Е.В., Яшина Р.М. Магматические горные породы. Щелочные породы. М.: Наука, 1984. 415 с.
- Гладкочуб Д.П., Мазукабзов А.М., Станевич А.М., Донская Т.В., Мотова З.Л., Ванин В.А. Возрастные уровни и геодинамические режимы накопления докембрийских толщ Урикско-Ийс-кого грабена, юг Сибирского кратона // Геотектоника. 2014. № 5. С. 17‒31.
- Журавлева Л.Н., Юркина К.В., Рябева Е.Г. Прайдерит ‒ первая находка в СССР // Доклады АН СССР. 1978. Т. 239. № 2. С. 435‒438.
- Иванюк Г.Ю., Пахомовский Я.А., Коноплева Н.Г., Калашников А.О., Корчак Ю.А., Селиванова Е.А., Яковенчук В.Н. Породообразующие полевые шпаты Хибинского щелочного массива (Кольский полуостров, Россия) // ЗРМО. 2009. № 6. С. 1‒17.
- Капустин Ю.Л. Минералогия карбонатитов. Л.: Наука, 1971. 290 с.
- Когарко Л.Н., Рябчиков И.Д., Кузьмин Д.В. Высокобариевая слюда в оливинитах Гулинского массива (Маймеча-Котуйская провинция, Сибирь) // Геология и геофизика. 2012. Т. 53. № 11. С. 1572‒1579.
- Кожевников О.К., Кухринкова Н.В., Туголукова Г.А. Больше-Тагнинский массив ультраосновных щелочных пород и карбонатитов / Эндогенные полезные ископаемые Саяно-Байкальской горной области. Иркутск: Вост.-Сиб. книжное изд-во, 1974. С. 134‒163.
- Козулина Т.В. Состав породообразующих минералов щелочных массивов Центрального Сангилена, Юго-Восточная Тува / Современные проблемы магматизма и метаморфизма. Мат. Всероссийск. конф. Т. 1. СПб.: Изд-во СПбГУ, 2012. С. 275‒277.
- Конева М.А. Банальсит и стрональсит из пироксенитов Жидойского массива // ЗВМО. 1996. № 2. С. 103‒105.
- Лиферович Р.П., Митчелл Р.Х., Шпаченко А.К., Зозуля Д.Р. Акцессорный минерал нефелиновых сиенитов – твердый раствор банальсит-стрональсит / Минералогия во всем пространстве сего слова. Труды II Ферсмановской научной сессии Кольского отделения РМО. Апатиты: Изд-во “K & M”, 2005. С. 54‒57.
- Меньшиков Ю.П., Полежаева Л.И., Ганнибал Л.Ф. Калиевый и бариевый прайдериты из Хибинского щелочного массива / Новые данные о минералах Кольского полуострова. Апатиты: Изд-во Кольского филиала АН СССР, 1979. С. 18‒24.
- Опарин Н.А., Олейников О.Б., Бабушкина С.А. Флогопит из трубок Манчары и Апрельская (Хомпу-Майское кимберлитовое поле, Центральная Якутия) // Отечественная геология. 2017. № 5. С. 37–44.
- Пикалова В.С. Геолого-экономическая оценка нового потенциально-промышленного типа ниобиевых руд на примере Большетагнинского месторождения / Автореф. дис. … канд. г.-м.н. М., 2017. 24 с.
- Соловова И.П., Гирнис А.В., Рябчиков И.Д., Кононкова Н.Н. Механизмы образования высокобариевого флогопита и высокостронциевого апатита на заключительных стадиях эволюции щелочных магм // Геохимия. 2009. № 6. С. 613‒627.
- Сорохтина Н.В. Минералогия карбонатитов в зонах контакта с ультраосновными, щелочными породами и фенитами Себльяврского массива. Автореф. дис. … канд. г.-м.н. М., 2000. 20 с.
- Спиридонов Э.М., Путинцева Е.В., Кужугет Р.В., Монгуш А.А. Стрональсит SrNa2[(Al2Si2O8)2] и ассоциирующие послемагматические амфиболы, гранаты и канкринит кальцитовых ийолитов интрузива Чик-Хем, Тува / Геология, магматизм и металлогения Центра Азии. 2018: Рудно-магматические системы Сангилена (щелочные интрузивы, карбонатиты). Кызыл: ТувИКОПР СО РАН, 2018. С. 108‒113.
- Сук Н.И., Котельников А.Р. Экспериментальное изучение распределения REE, Ba и Sr между силикатным расплавом и низкоконцентрированным водно-солевым флюидом при Т = 1250 °С и Р = 2 кбар // Вестник ОНЗ РАН. 2011. Т. 3. NZ6092.
- Фролов А.А., Белов С.В. Комплексные карбонатитовые месторождения Зиминского рудного района (Восточный Саян, Россия) // Геология рудн. месторожд. 1999. Т. 41. № 2. С. 109‒130.
- Фролов А.А., Толстов А.В., Белов С.В. Карбонатитовые месторождения России. М.: НИА‒Природа, 2003. 494 с.
- Хомяков А.П., Шпаченко А.К., Полежаева Л.И. Мелилитовая и редкоземельно-фосфорная минерализация г. Намуайв (Хибины) / Щелочной магматизм северо-восточой части Балтийского щита. Апатиты: Изд-во КНЦ РАН, 1990. С. 106‒119.
- Чередниченко С.В., Дубинина Е.В. Бариевые полевые шпаты Ильмено-Вишневогорского комплекса (Южный Урал) // Вестник Института геологии Коми НЦ УрО РАН. 2017. № 8. С. 17‒22.
- Шахмурадян А.Р., Евдокимов М.Д. Титановые и циркониевые минералы щелочно-сиенитовых пегматитов Маломурунского массива, Якутия // ЗВМО. 1997. № 3. С. 32‒42.
Supplementary files











