Non-ambient crystal chemistry of stillwellite-like BaBPO5 from single crystal XRD data
- Authors: Krzhizhanovskaya M.G.1,2, Gorelova L.A.1, Kopylova Y.O.1,2, Vereshchagin O.S.1, Dal Boc F.3, Pankin D.V.1, Hatert F.3
-
Affiliations:
- Saint Petersburg State University
- Institute of Silicate Chemistry of Russian Academy of Sciences
- University of Liège
- Issue: Vol CLIII, No 2 (2024)
- Pages: 130-140
- Section: МИНЕРАЛЫ И ПАРАГЕНЕЗИСЫ МИНЕРАЛОВ
- URL: https://journal-vniispk.ru/0869-6055/article/view/263457
- DOI: https://doi.org/10.31857/S0869605524020082
- EDN: https://elibrary.ru/RMBUCQ
- ID: 263457
Cite item
Full Text
Abstract
Stillwellite-(Ce) and some its synthetic analogues tend to undergo phase transition from polar (ferroelectric) to nonpolar (paraelectric) modification on heating. However, the reasons for the transition and phase stability remain the subject of scientific debate. Here we present detail studies (scanning electron microscopy, energy-dispersive X-ray spectroscopy, Raman spectroscopy and single-crystal X-ray diffraction (SCXRD)) of hydrothermally grown BaBPO5 isostructural with stillwellite-(Ce). Its thermal behavior was studied by an in situ low- (from –173 to +25 °C) and high-temperature (HT; 25–800 °C) SCXRD. Fully ordered crystal structure of BaBPO5 (at T = 25 °C: trigonal, P3221, a = 7.1166(1) Å, c = 7.0011(1) Å, V = 307.07(1) Å3, R1 = 1.42 %) does not exhibit any change of symmetry upon cooling / heating unlike natural stillwellite-(Ce). Thermal expansion of BaBPO5 is almost isotropic (αmin = 8.4, αmax = 8.7⋅10-6 °C-1) despite the chain nature of borophosphate anion. The comparative crystal chemical analysis of HT behavior of cationic polyhedra in the stillwellite-family members is presented.
Full Text
ВВЕДЕНИЕ
Стиллуэллит-(Се) (CeBSiO5), впервые описанный МакЭндрю и Скоттом в 1955 году на материале из австралийского рудного месторождения Мери Кейтлин, с тех пор был обнаружен примерно в двух десятках месторождений (mindat.org) по всему миру, включая такие щелочные массивы, как Илимауссак, Гренландия (Sorensen, 2001; Petersen 2001), Лангесунн, Норвегия (Neumann et al., 1966), Дитрау, Румыния (Hirtopanu et al., 2013) и Дара-и-Пиоз, Таджикистан (Agakhanov et al., 2011; 2017) и др.
Стиллуэллит-(Се) кристаллизуется в нецентросимметричной пространственной группе (пр. гр.) P31 (Voronkov, Pyatenko, 1967), что обуславливает ряд его оптических и сегнетоэлектрических свойств, важных для развития современных технологий (Stefanovich et al., 1997; Mutailipu, Poeppelmeier, 2021). Для оптимизации оптических характеристик были синтезированы и изучены структурные аналоги стиллуэллита различного химического состава. В частности, наиболее широко изучены борогерманаты с различными редкоземельными элементами (РЗЭ) (Onodera et al., 1992; Belokoneva et al., 1996, 1997; Shi et al., 1997). На данный момент насчитывается более двух десятков представителей семейства стиллуэллита (Juhwary, White, 2010), не считая соединений, легированных РЗЭ (Inorganic Crystal Structure Database – 2023); их общую формулу можно записать как RBTO5, где R = Ca, Sr, Ba, Pb, легкие лантаноиды (Ln) и T = Ge, Si, P.
Борофосфатные аналоги стиллуэллита-(Се) со щелочноземельными катионами в позициях РЗЭ были также неоднократно синтезированы, а их нелинейно-оптические свойства подробно изучены в ряде работ (Kniep et al., 1994; Pan et al., 2003; Ewald et al. 2007; Lei et al., 2014). Кристаллическая структура BaBPO5 (пр. гр. P3221) состоит из спиральных цепочек трехчленных тетраэдрических колец (2BO4 + PO4), располагающихся вдоль оси 32, связанных между собой через полиэдры бария (Shi et al., 1998; Pushcharovskii et al., 2002; Pan et al., 2003).
При нагревании соединения со структурой типа стиллуэллита, кристаллизующиеся с полярной симметрией (P31, P32), обычно испытывают полиморфный переход в неполярную (P3121, P3221) модификацию (Krzhizhanovskaya et al., 2024), приводящий к потере сегнетоэлектрических свойств. Тем не менее природа полиморфного перехода и стабильность полиморфов остаются предметом научных дискуссий. Следует отметить, что стандартные рентгеновские исследования, как правило, не позволяют однозначно определить полярность структуры, что существенно усложняет интерпретацию экспериментальных данных. Недавно нами было показано, что полиморфный переход в структуре стиллуэллита-(Ce) наблюдается при температуре около 450 °C и связан с процессами порядок–беспорядок (Krzhizhanovskaya et al., 2023). Природа высокотемпературного превращения в семействе LnBSiO5 и зависимость термического поведения фаз от типа лантаноида исследованы в работе (Krzhizhanovskaya et al., 2024). В противоположность минералу и его синтетическим боросиликатным аналогам (Burns et al., 1993; Krzhizhanovskaya et al., 2023, 2024), кристаллическая структура BaBPO5 полностью упорядочена (Kniep et al., 1994; Pan et al., 2003; Ewald et al., 2007; Lei et al., 2014) и по данным дифференциальной сканирующей калориметрии (ДСК) стабильна до температур около 1200 °C (Lei et al., 2014; Zhang et al., 2017). В литературе отсутствуют сведения об in-situ исследованиях термического поведения BaBPO5 при низких и высоких температурах, которые, в частности, могли бы помочь в интерпретации фазовых превращений и для других стиллуэллитоподобных фаз.
В данной работе представлены результаты исследования кристаллохимии BaBPO5 в зависимости от температуры на атомном уровне. Характеристика термической эволюции синтетического борофосфата бария приведена в сопоставлении со стиллуэллитом-(Ce) (Дара-и-Пиоз, Таджикистан) и другими членами семейства LnBSiO5.
МЕТОДЫ ИССЛЕДОВАНИЙ
Гидротермальный синтез. Кристаллы BaBPO5 были получены из смеси Ba(OH)2 · · 8H2O (345.133 мг), H3BO3 (90.223 мг), H3PO4 (1.5 мл), HCl (1.5 мл) и H2O (4 мл). Смесь помещалась в автоклав Парра (23 мл), изготовленного из политетрафторэтилена, и выдерживалась 7 дней при температуре 200 °C. Вещество, полученное в результате синтеза, представляло собой сростки гомогенных кристаллов BaBPO5 (рис. 1, a).
Рис. 1. Морфология кристаллов BaBPO5: сросток кристаллов (а); монокристалл, использованный для терморентгеновского исследования (б).
Fig. 1. BaBPO5 crystal morphology: group of crystals (a); single crystal for structural study (б).
Рентгеноспектральный электронно-зондовый микроанализ. Химический состав кристаллов определялся на сканирующем электронном микроскопе S-3400N (Hitachi, Япония), оснащенном рентгеноспектральной установкой AzTec Energy X-Max 20 (Oxford Instruments, Великобритания).
Рамановская спектроскопия выполнена при комнатной температуре с использованием спектрометра LabRAM HR800 (Horiba Jobin-Yvon, Франция-Япония). Для исследований использован гелий-аргоновый лазер (длина волны 632.8 нм). Каждый спектр снимали дважды и усредняли, время накопления каждого спектра – 50 с.
Низко- и высокотемпературная монокристальная рентгеновская дифрактометрия проводилась на дифрактометре Xta LAB Synergy-S (Rigaku, Япония) (MoKα, 50 кВ / 1 мА, HyPix-6000HE), оснащенном высокотемпературной системой FMB Oxford, в диапазоне температур от –173 до 800 °С. Охлаждение ниже комнатной температуры осуществлялось с использованием жидкого азота (Oxford CryoSystems Cobra), нагрев производился посредством обдува образца потоком горячего воздуха. Для терморентгеновского эксперимента оптически гомогенный призматический монокристалл (0.1 × 0.1 × 0.2 мм, рис. 1, б) был закреплен на кварцевом волоске термостойким клеем и помещен в кварцевый капилляр (d = 0.3 мм). Рентгеноструктурный анализ и визуализация структуры проводились с использованием программных комплексов SHELX и OLEX (Sheldrick et al., 2015; Dolomanov et al., 2013). Коэффициенты термического расширения (КТР) и проекции фигуры тензора термического расширения были получены в программе Theta-To-Tensor (TTT) (Bubnova et al., 2013).
РЕЗУЛЬТАТЫ И ОБСУЖДЕНИЕ
Химический состав и рамановская спектроскопия BaBPO5
В результате синтеза были получены кристаллы размером до 0.5 мм (рис. 1) призматического габитуса, соответствующего тригональной симметрии кристаллической структуры (Shi et al., 1998; Pushcharovskii et al., 2002; Pan et al., 2003). Элементный анализ выявил барий, фосфор и кислород в соотношении 1:1:5. Наличие бора в кристаллах было подтверждено качественно.
Результаты рамановской спектроскопии также подтвердили, что кристаллы соответствуют фазе BaBPO5 типа стиллуэллита. Наиболее интенсивные пики (419, 529, 672, 940, 1033, 1100 см-1) хорошо согласуются с литературными данными (Shi et al., 1998; Zhang et al., 2017). На основе теоретических расчетов, опубликованных в (Zhang et al., 2017), данные пики были отнесены к колебаниям следующих структурных единиц: PO4, BO4, BPO7. Частоты симметричных и асимметричных колебаний PO4 равны 1100 и 940 см-1 соответственно. Колебания в области 1033 и 672 см-1 относят к BO4 и BPO7 соответственно. В работе (Shi et al., 1998) были опубликованы данные для Ba10BPO5 и Ba11BPO5. Интересно отметить, что полученные нами спектры имеют промежуточные значения положений пиков, чувствительных к изотопам бора.
Монокристальная рентгеновская дифракция BaBPO5
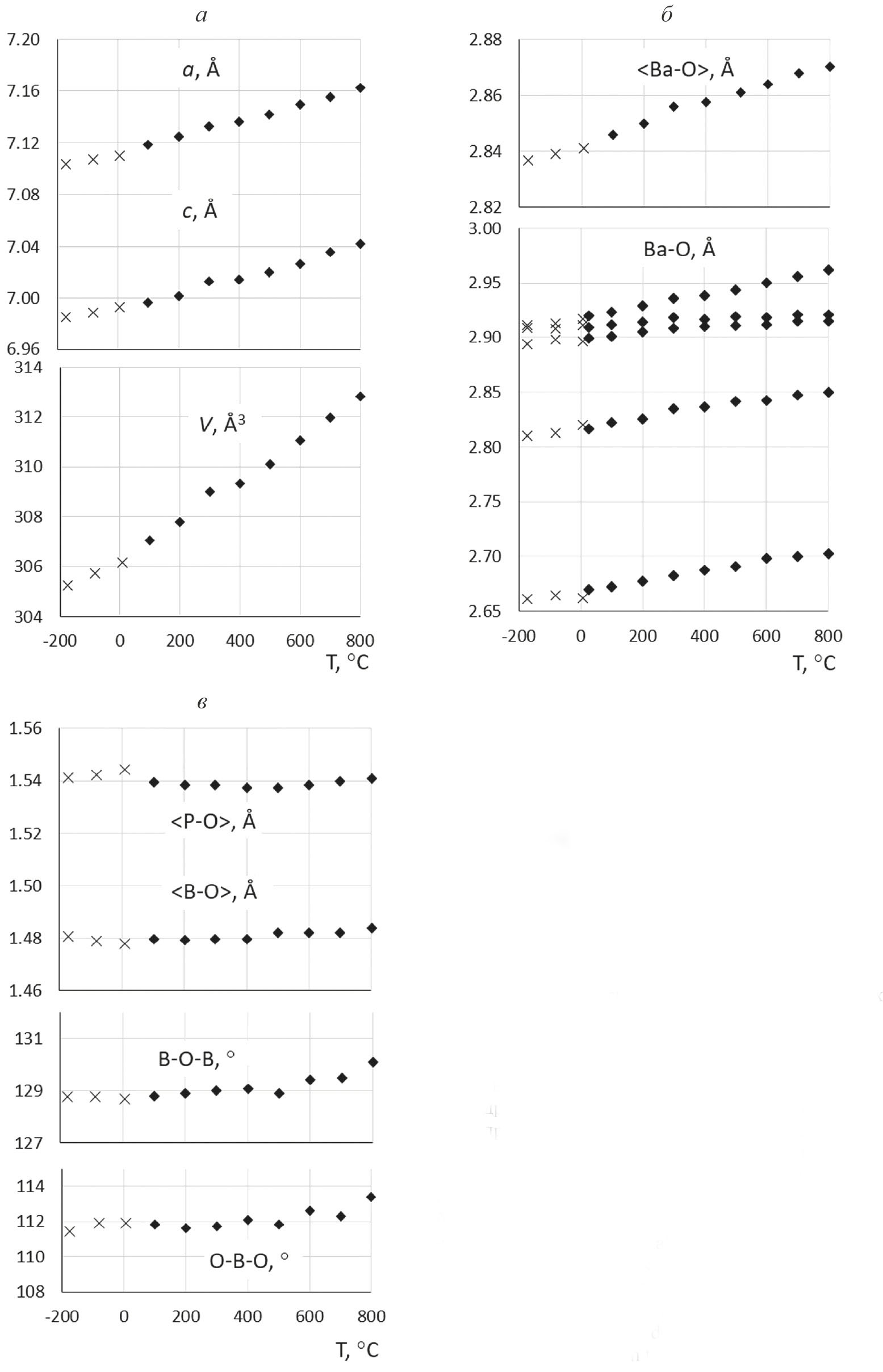
Рассчитанные параметры элементарной ячейки [a = 7.1166(1) Å, c = 7.0011(1) Å, V = 307.07(1) Å3] при комнатной температуре близки к ранее опубликованным (ICSD database 2023). Кристаллическая структура была успешно уточнена в пространственной группе P3221 (R1 = 1.42, wR2 = 3.39%, CIF и CHECKCIF файлы в приложении), что также согласуется с литературными данными (Shi et al., 1998; Pushcharovskii et al., 2002; Pan et al., 2003). В основе структуры лежат спиральные цепочки колец тетраэдров, состоящие из двух тетраэдров BO4 и одного тетраэдра PO4. Атомы бария координируются десятью атомами кислорода, межатомные расстояния в полиэдре составляют от 2.670(2) до 2.920(1) Å (среднее значение <Ba–O> = 2.845 Å). Средние и индивидуальные значения длин связей в тетраэдре PO4 (<P–O> 1.542 при разбросе 1.499(2) – 1.585(2) Å) и BO4 (<B–O> 1.482 при разбросе 1.444(2) – 1.519(2) Å) находятся в пределах стандартных значений для данных полиэдров (<B–O> = 1.48 (Filatov, Bubnova, 2000); <P–O> = 1.537 Å (Huminicki, Hawthorne, 2002)). Судя по полученным рентгеновским данным, структура стиллуэллитоподобного BaBPO5 стабильна при температурах от –173 до –800 °C (рис. 3, табл. 1). В данном температурном диапазоне не наблюдаются фазовые переходы, а также какие-либо изменения интенсивности теплового расширения. Эволюция параметров элементарной ячейки BaBPO5 при нагревании приведена на рис. 3, a. Изменение параметров элементарной ячейки a и c очень похоже и практически линейно. Такое термическое расширение характерно для высокотемпературной модификации стиллуэллита-(Ce) и других фаз семейства, имеющих неполярную пространственную группу симметрии (Krzhizhanovskaya et al., 2023; 2024). Рассчитанные для BaBPO5 КТР α11 = αa = αb = 8.7(2), α33 = αc = 8.4(2), αV = 25.8(6)⋅10-6 °C-1 также свидетельствуют о близком к изотропному термическому расширению во всем исследованном температурном диапазоне. Проекция фигуры тензора термического расширения (α11 α33) и соответствующий фрагмент кристаллической структуры BaBPO5 представлены на рис. 4, a. Хотя структура данного соединения основана на спиральных цепях из борофосфатных колец, ориентированными вдоль оси 32 (направление [001]), анизотропия термического расширения не наблюдается, что, вероятно, обусловлено сильными связями цепочек через полиэдры BaO10.
Рис. 2. Рамановский спектр BaBPO5 в диапазоне 80–1280 см-1 (a) и во всем диапазоне съемки (б).
Fig. 2. Raman spectrum of BaBPO5 in the range 80–1280 cm-1 (a) and in the whole range (б).
Рис. 3. Зависимость некоторых геометрических характеристик структуры BaBPO5 от температуры по данным монокристальной терморентгенографии: (a) параметры элементарной ячейки, (б) длины связей в полиэдре BaO10, (в) средние длины связей в тетраэдрах PO4 и BO4, углы B–O–B и O–B–O в цепи из тетраэдров BO4. Данные низкотемпературных съемок соответствуют крестикам, высокотемпературных – ромбам. Размер символов больше, чем величины погрешностей.
Fig. 3. The evolution of the geometrical characteristics of BaBPO5 from single crystal LT and HT SCXRD data: (a) the unit-cell parameters vs T, (б) Ba–O bond lengths vs T, (в) average bond lengths in PO4 and BO4 tetrahedra, B–O–B and O–B–O angles in the BO4 chain. LT data are shown by crosses, HT data – by rhombs. Standard deviations are smaller than the symbols’ size.
Таблица 1. Значения параметров элементарной ячейки, R-факторов (R1) и средних длин связей в полиэдрах BaO10, PO4 и BO4 в структуре BaBPO5 при различных температурах
Table 1. Unit-cell parameters, structure refinement reliability factors (R1) and the mean bond lengths in BaO10, PO4 and BO4 polyhedra of BaBPO5 structure at different temperatures
T, °C | a, Å | c, Å | V, Å3 | R1, % | <Ba–O>, Å | <P–O>, Å | <B–O>, Å |
–173 | 7.1035(2) | 6.9851(3) | 305.25(2) | 1.99 | 2.837(4) | 1.542(4) | 1.481(8) |
–83 | 7.1070(2) | 6.9891(3) | 305.72(2) | 1.88 | 2.839(9) | 1.542(6) | 1.479(9) |
7 | 7.1101(3) | 6.9928(3) | 306.15(2) | 1.67 | 2.841(8) | 1.545(4) | 1.478(9) |
100 | 7.1186(2) | 6.9965(2) | 307.04(2) | 1.08 | 2.846(9) | 1.539(5) | 1.48(1) |
200 | 7.1248(2) | 7.0014(2) | 307.80(2) | 1.20 | 2.850(9) | 1.538(5) | 1.479(7) |
300 | 7.1327(2) | 7.0127(2) | 308.98(2) | 1.16 | 2.855(6) | 1.538(6) | 1.48(1) |
400 | 7.1362(2) | 7.0141(2) | 309.34(2) | 1.28 | 2.858(7) | 1.538(6) | 1.48(1) |
500 | 7.1421(2) | 7.0197(2) | 310.10(2) | 1.42 | 2.861(6) | 1.538(4) | 1.482(7) |
600 | 7.1495(2) | 7.0267(2) | 311.05(2) | 1.51 | 2.865(7) | 1.539(5) | 1.482(7) |
700 | 7.1554(2) | 7.0355(3) | 311.96(2) | 2.00 | 2.868(5) | 1.540(5) | 1.482(6) |
800 | 7.1621(3) | 7.0417(3) | 312.82(2) | 2.86 | 2.870(8) | 1.541(4) | 1.484(6) |
Рис. 4. Кристаллические структуры при комнатной температуре и проекции тензоров термического расширения BaBSiO5 (a) (настоящая работа) и CeBSiO5 (б) (Krzhizhanovskaya et al., 2023).
Fig. 4. Room temperature crystal structure and the projection of the figure of thermal expansion coefficients of BaBSiO5 (this study) comparing to those of CeBSiO5 (Krzhizhanovskaya et al., 2023).
Средние расстояния в полиэдрах при различных температурах представлены на рис. 3, б. Очевидно, что небольшие тетраэдры BO4 и PO4 являются термически стабильными, средние расстояния не меняются во всем температурном интервале и составляют 1.48 Å для BO4 и 1.54 Å для PO4, статистическая ошибка составляет менее чем ± 0.005 Å (табл. 1). Жесткость элементарных боратных полиэдров при нагревании доказана в ряде работ, обобщенных Р.С. Бубновой и С.К. Филатовым (Bubnova, Filatov, 2013); термическое поведение фосфатных структурных единиц на атомном уровне менее изучено, хотя ряд работ также подтверждают жесткость тетраэдра PO4 при нагревании (Hazen et al., 1987; Nakae et al., 1995; Achary, Tiagi, 2004; Gorelova et al., 2023). Более того, в работах (Hazen et al., 1987; Achary, Tiagi, 2004) сообщалось о видимом сжатии структуры при нагревании, вызванном анизотропией тепловых колебаний атомов. Подобный тип сжатия наблюдался также и для боратов (Bubnova, Filatov, 2013).
Координационный полиэдр бария BaO10 изображен на рис. 4, а. Средняя длина связи <Ba–O> при нагревании заметно меняется от 2.837(4) до 2.870(7) Å (рис. 3, б, табл. 1), что составляет около 1.5% на весь температурный интервал (от –170 до 800 °C) или 0.0012% на 1 °C и приблизительно сопоставимо с приращением вдоль кристаллографических направлений. Таким образом, по-видимому, именно расширение полиэдра бария определяет объемное расширение всей структуры BaBPO5 (рис. 3, 4). В каркасной структуре BaGa2Ge2O8 типа парацельзиана среднее расстояние <Ba–O> в полиэдре BaO7 растет при нагреве еще более интенсивно (на 3.8% в интервале 27–1000 °C) (Gorelova et al., 2024). Индивидуальные значения длин связей в координационном многограннике BaO10 BaBPO5 меняются также равномерно, причем две из пяти независимых связей меняются примерно в 2 раза слабее остальных. Эти контакты связывают барий с двумя атомами кислорода, являющимися мостиковыми между атомами фосфора и бора в трехчленном кольце. Эти же контакты вообще не изменяются в структуре высокотемпературной модификации LaBSiO5, и весь полиэдр LaO10 меняется гораздо слабее от 2.661(3) до 2.673(5) Å (Krzhizhanovskaya et al., 2024), т. е. менее 0.5% в интервале 230–930 °C (0.000063% на 1 °C), что также согласуется с заметно меньшими КТР высокотемпературной фазы LaBSiO5 (αa = 5, αc = 6⋅10-6 °C-1). Как указано выше, длины связей внутри тетраэдров меняются очень мало близко к пределам погрешности измерений. Наиболее чувствительными параметрами к общему объемному расширению оказываются углы в цепи из тетраэдров BO4, их значения немного увеличиваются (рис. 3, в), хотя нужно заметить, что погрешности измерения углов при высоких температурах также растут, поэтому для подтверждения этого эффекта требуется, по-видимому, более детальный эксперимент.
Сравнительный кристаллохимический анализ термического поведения BaBPO5 и стиллуэллита-(Се)
Проекции кристаллических структур BaBPO5 и CeBSiO5 в сравнении представлены на рис. 4. Обе структуры образованы цепочками, состоящими из тетраэдров BO4 и PO4 или BO4 и SiO4 для BaBPO5 и CeBSiO5 соответственно. Исследованная в данной работе кристаллическая структура BaBPO5 полностью упорядочена (рис. 4, a) и имеет неполярную пространственную группу P3221 (Shi et al., 1998; Pushcharovskii et al., 2002; Pan et al., 2003). Цепочки в структуре стиллуэллита-(Се) частично разупорядочены в связи с расщеплением позиции кислорода в полиэдре BO4, что приводит к понижению симметрии CeBSiO5 и его кристаллизации в сегнетоэлектрической пр. гр. P31. Как показали исследования in situ, BaBPO5 не претерпевает превращений при нагревании и расширяется практически изотропно. Данные результаты хорошо согласуются с данными о термической стабильности BaBPO5, полученными ранее по результатам спектроскопии при нагревании (Lei et al., 2014; Zhang et al., 2017). Исследование кристаллической структуры CeBSiO5 при нагревании показало, что процесс порядок – беспорядок является одной из движущих сил, влияющих на обратимый фазовый переход, типичный для стиллуэллитоподобных структур. В случае с BaBPO5 мы наблюдаем отсутствие как разупорядочения в кристаллической структуре, так и термических фазовых переходов. Более того, сильная анизотропия термического расширения стиллуэллита-(Се) (рис. 4, б) связана с процессами упорядочения. Полностью упорядоченная структура BaBPO5 практически не имеет анизотропии теплового расширения, хотя известно, что, например, для силикатов или боратов цепочечные структуры обычно проявляют резкую анизотропию физических свойств (Bubnova, Filatov 2013; Hazen, Downs, 2000). Тетраэдры в обеих структурах термически жесткие; индивидуальные расстояния в них при нагревании не изменяются, однако разупорядочение борокислородной цепи в природной модификации CeBSiO5 определяет анизотропию ее термического расширения. Природа крупного катиона играет большую роль в характере термического поведения. Так, в сравнении с неполярной высокотемпературной формой LaBSiO5 (αV = 16) или CeBSiO5 (αV = 19) объемное расширение BaBPO5 (αV = 25 ⋅ 10-6 °C-1) увеличивается при замене более мелкого трехвалентного катиона ([X]Rion = 1.27 (La), 1.25 Å (Ce)) на двухвалентный барий ([X]Rion = 1.53 Å; Shannon, 1976), при этом общий, практически изотропный характер расширения остается неизменным.
Потенциальные геологические обстановки нахождения BaBPO5
Среди природных борофосфатов на данный момент обнаружено только два минерала – люнебургит, Mg3[B2(OH)6(PO4)2]·6H2O (Sen Gupta et al., 1991) и симанит, Mn2+3B(OH)4(PO4)(OH)2 (Moore, Ghose, 1971; Huminicki, Hawthorne, 2002). Сложные природные борофосфаты с другими анионными группировками ограничены пятью минеральными видами: прощенкоит (Y) (Y,REE,Ca,Na,Mn)15Fe2+Ca(P,Si)Si6B3(O,F)48 (Raade et al., 2008), рабдоборит (V) Mg12(V5+,Mo6+,W6+)1.33O6{[BO3]6-x(PO4)xF2-x} (x < 1) и рабдоборит (W) Mg12W6+1.33O6(BO3)6F2 (Pekov et al., 2020), византиевит Ba5(Ca,REE,Y)22(Ti,Nb)18(SiO4)4[(PO4),(SiO4)]4(BO3)9O22[(OH),F]43(H2O)1.5 (Sokolova et al., 2010; Pautov et al., 2011) и лаптеваит (Ce) NaFe2+(REE7Ca5Y3)(SiO4)4(Si3B2PO18)(BO3)F11 (Uvarova et al., 2013). Из них византиевит и лаптеваит-(Ce) обнаружены в массиве Дара-и-Пиоз, где также есть находки стиллуэллита-(Се). Таким образом, нельзя исключать потенциальное наличие новых борофосфатных минералов в этом районе, особенно с учетом обогащения щелочных пегматитов Дара-и-Пиоз барием.
ЗАКЛЮЧЕНИЕ
Полностью упорядоченная стиллуэллитоподобная кристаллическая структура BaBPO5 демонстрирует практически изотропное тепловое расширение, определяемое главным образом существенным увеличением полиэдра BaO10 при повышении температуры. Мелкие структурные единицы BО4 и РО4 слабо изменяются при нагревании, что подтверждает теорию термической стабильности и жесткости этих типов полиэдров, наиболее чувствительными к расширению оказываются углы в цепи из тетраэдров BО4. Средний объемный КТР (26 ⋅ 10-6 °C-1) у борофосфата BaBPO5 заметно больше, чем у боросиликатов CeBSiO5 и LaBSiO5 (19 и 16 ⋅ 10-6 °C-1 для неполярных высокотемпературных полиморфов), при этом характер изотропного расширения практически не изменяется. Отсутствие беспорядка в кристаллической структуре BaBPO5 сопровождается отсутствием полиморфных превращений и анизотропии, наблюдаемых в полярных структурных аналогах стиллуэллита-(Се).
БЛАГОДАРНОСТИ
Авторы приносят благодарность ресурсным центрам «Рентгенодифракционные методы исследования», «Оптические и лазерные методы исследования вещества» и ресурсному центру «Микроскопии и микроанализа» СПбГУ за возможность осуществления инструментальных исследований и вычислений. Работа выполнена при финансовой поддержке РНФ (22-27-00430).
About the authors
M. G. Krzhizhanovskaya
Saint Petersburg State University; Institute of Silicate Chemistry of Russian Academy of Sciences
Author for correspondence.
Email: krzhizhanovskaya@mail.ru
Russian Federation, Saint Petersburg; Saint Petersburg
L. A. Gorelova
Saint Petersburg State University
Email: mariya.krzhizhanovskaya@spbu.ru
Russian Federation, Saint Petersburg
Yu. O. Kopylova
Saint Petersburg State University; Institute of Silicate Chemistry of Russian Academy of Sciences
Email: krzhizhanovskaya@mail.ru
Russian Federation, Saint Petersburg; Saint Petersburg
O. S. Vereshchagin
Saint Petersburg State University
Email: mariya.krzhizhanovskaya@spbu.ru
Russian Federation, Saint Petersburg
F. Dal Boc
University of Liège
Email: krzhizhanovskaya@mail.ru
Laboratory of Mineralogy
Belgium, LiègeD. V. Pankin
Saint Petersburg State University
Email: mariya.krzhizhanovskaya@spbu.ru
Russian Federation, Saint Petersburg
F. Hatert
University of Liège
Email: krzhizhanovskaya@mail.ru
Laboratory of Mineralogy
Belgium, LiègeReferences
- Achary S.N., Tyagi A.K. Strong anisotropic expansion of cristobalite-type BPO4. J. Solid State Chem. 2004. Vol. 177. P. 3918–3926.
- Agakhanov A.A., Pautov L.A., Karpenko V.Yu., Bekenova G.K., Uvarova Yu.A. Orlovite, KLi2TiSi4O11F, a new mineral of the mica group. New Data on Minerals. 2011. Vol. 46. P. 13–19.
- Agakhanov A.A., Pautov L.A., Sokolova, E., Hawthorne F.C., Karpenko V.Yu, Siidra Oleg I., Muftakhov V.A. Odigitriaite, CsNa5Ca5[Si14B2O38]F2, a new caesium borosilicate mineral from the Darai-Pioz alkaline massif, Tajikistan: Description and crystal structure. Miner. Mag. 2017. Vol. 81. P. 113– 122.
- Bubnova R.S., Filatov S.K. High-temperature borate crystal chemistry. Z. Krist.-Cryst. Mater. 2013. Vol. 228. N. 9. P. 1646.
- Bubnova R.S., Firsova V.A., Filatov S.K. Software for determining the thermal expansion tensor and the graphic representation of its characteristic surface (ThetaToTensor-TTT). Glass Phys. Chem. 2013. Vol. 39. P. 347–350.
- Belokoneva E.L., David W.I.F., Forsyth J.B., Knight K.S. Structures and phase transitions of PrBGeO5 in the temperature range 20–800 ºC. J. Phys-Condens. Mat. 1998. Vol. 10. P. 9975–89.
- Belokoneva E.L., Shuvaeva V.A., Antipin M.Yu., Leonyuk N.I. Crystal structure of a high-temperature modification of LaBSiO5, a synthetic analog of stillwellite. Zh. Neorg. Khimii. 1996. Vol. 41. P. 1097–1101.
- Burns P.C., Hawthorne F.C., MacDonald D.J., della Ventura G., Parodi G.C. The crystal structure of stillwellite. Canad. Miner. 1993. Vol. 31. P. 147–152.
- Dolomanov O.V., Blake A.J, Champness N.R., Schroder M. OLEX: new software for visualization and analysis of extended crystal structures. J. Appl. Crystallogr. 2013. Vol. 36. P. 1283–1284.
- Filatov S.K., Bubnova R.S. Borate сrystal сhemistry. Physics and Chemistry of Glasses. 2000. Vol. 41. N 5. P. 216–224.
- Ewald B., Huang Y.-X., Kniep R. Structural chemistry of borophosphates, metalloborophosphates, and related compounds. Z. Anorg. Allg. Chem. 2007. Vol. 633. P. 1517–1540.
- Gorelova L.A., Vereshchagin O.S., Aslandukov A., Aslandukova A., Spiridonova D., Krzhizhanovskaya M., Kasatkin A., Dubrovinsky L. Hydroxylherderite (Ca2Be2P2O8(OH)2) stability under extreme conditions (up to 750 °C/100 GPa). J. Amer. Ceram. Soc. 2023. Vol. 106. P. 2622–2634.
- Hazen R.M., Finger L.W., Agrawaln D.K., McKinstry H.A., Perrotta A.G. High-temperature crystal chemistry of sodium zirconium phosphate (NZP). J. Mater. Res. 1987. Vol. 2. P. 329–337.
- Hazen R.M., Downs R.T. High-Temperature and High Pressure Crystal Chemistry. Rev. Miner.Geochem. 2000. Vol. 41.
- Hirtopanu P., Andersen C.J., Fairhurst J.R., Jakab G. Allanite-(Ce) and its associations, from the Ditrau alkaline intrusive massif. Proc. Rom. Acad., Series B. 2013. Vol. 15. P. 59–74.
- Huminicki D.M.C., Hawthorne F.C. The Crystal Chemistry of the Phosphate Minerals, Rev. Miner. Geochem. 2002. Vol. 48. N 1. P. 123–253.
- Inorganic Crystal Structure Database (ICSD). 2023.
- Juwhari H.K., White W.B. Luminescence of rare earth borosilicates with the stillwellite and related structures. Mater. Lett. 2010. Vol. 64. N 15. P. 1751–1754.
- Kniep R., Gözel G., Eisenmann B., Röhr C., Asbrand M., Kizilyalli M. Borophosphates – a neglected class of compounds: Crystal structures of MII[BPO5] (MII = Ca, Sr) and Ba3[BP3O12]. Angew. Chem. 1994. Vol. 106. P. 791–793.
- Krzhizhanovskaya M.G., Kopylova Yu.O., Obozova E.D., Zalesskii V.G., Lushnikov S.G., Gorelova L.A., Shilovskikh V.V., Ugolkov V.L., Britvin S.N., Pekov I.V. Thermal evolution of stillwellite, CeBSiO5, a natural prototype for a family of NLO-active materials. J. Solid. State Chem. 2023. Vol. 318. Nо 123786.
- Krzhizhanovskaya M.G., Vereshchagin J.S., Kopylova Yu.O., Gorelova L.A., Pankin D.V., Yukhno V.A., Vlasenko N.S., Bocharov V.M., Britvin S.N. The structural origin and boundaries of thermal transitions in stillwellite-type LnBSiO5. Opt. Mater. 2024. Vol. 147. 114651.
- Lei B., Jing Q., Yang Z., Pan S. Anomalous second-harmonic generation response in SrBPO5 and BaBPO5. J. Mater. Chem. C. 2015. Vol. 3. P. 1557–1566.
- McAndrew J., Scott T.R. Stillwellite, a new rare-earth mineral from Queensland. Nature. 1955. Vol. 176. P. 509.
- Mutailipu M., Poeppelmeier K.R., Pan S. Borates: A rich source for optical materials. Chem. Rev. 2021. Vol. 121. P. 1130–1202.
- Moore P.B., Ghose S. A novel face-sharing octahedral trimer in the crystal structure of Seamanite. Amer. Miner. 1971. Vol. 56. P. 1527–1538.
- Nakae H., Kihara K., Hirano S. The crystal structure of the quartz-type form of GaPO4 and its temperature dependence. Z. Krist. 1995. Vol. 210. P. 746–753.
- Neumann H., Bergstøl S., Nilssen B. Contributions to the mineralogy of Norway. No. 34. Stillwellite in the Langesundfjord nepheline syenite pegmatite dykes. Norsk Geologisk Tidsskrift [Norweg. J. Geol.] 1966. Vol. 46. P. 327–334.
- Onodera A., Belov A.A., Taraskin S.A., Yamashita H., Uesu Y. Thermal and dielectric properties of a new ferroelectric LaBGeO5. J. Phys. Soc. Jpn. 1992. Vol. 62. P. 4311–15.
- Pan S., Wu Y., Fu P., Zhang G., Wang G., Guan X., Du C., Chen C. The growth of BaBPO5 crystals from Li4P2O7 flux. J. Cryst. Growth. 2002. Vol. 236. P. 613–616.
- Pan S., Wu X., Fu P.Z., Guochun G., Chenxia Du C, Chuangyan C., Zhang H., Liu Q., Chen X., Yang J., Zhuang W., Rao G. Study on the growth, structure of nonlinear optical crystal BaBPO5. Rengong Jingti Xuebao. 2003. Vol. 32. P. 281–285.
- Pautov L.A., Agakhanov A.A., Sokolova E.V., Hawthorne F., Karpenko V.Yu. Byzantievite, Ba5(Ca,REE,Y)22(Ti,Nb)18(SiO4)4[(PO4),(SiO4)]4(BO3)9O21[(OH),F]43(H2O)1.5, a new mineral. New Data on Minerals. 2011. Vol. 46. P. 5–12.
- Pekov I.V., Zubkova N.V., Koshlyakova N.N., Belakovskiy D.I., Agakhanov A.A., Sidorov E.G., Rhabdoborite-(V), rhabdoborite-(Mo) and rhabdoborite-(W): a new group of borate minerals with the general formula Mg12M113/O6[(BO3)6–x(PO4)xF2–x] (M = V5+, Mo6+ or W6+ and x < 1). Phys. Chem. Minerals. 2020. Vol. 47. P. 44.
- Petersen O.V. List of all minerals identified in the Ilímaussaq alkaline complex, South Greenland. Geol. Greenland Surv. Bull. 2001. Vol. 190. P. 25–35.
- Pushcharovskii D.Yu., Gobechiya E.R., Pasero M., Merlino S., Dimitrova O.V. Hydrothermal synthesis and crystal structures of (Li, Ba)-nanoborate, LiBaB9O15, and Ba-borophosphate, BaBPO5. J. Alloy. Compd. 2002. Vol. 339. P. 70–75.
- Raade G., Grice J.D., Erambert M., Kristiansson P., Witzke T. Proshchenkoite-(Y) from Russia – a new mineral species in the vicanite group: descriptive data and crystal structure. Miner. Mag. 2008. Vol. 72. P. 1071–1082.
- Shannon R.D. Revised Effective ionic radii and systematic studies of interatomic distances in halides and chalcogenides, Acta Crystallogr. A. 1976. Vol. 32. 751–767.
- Sen Gupta P.K., Swihart G.H., Dimitrijevic R., Hossain M.B. The crystal structure of lueneburgite, Mg3(H2O)6(B2(OH)6(PO4)2). Amer. Miner. 1991. Vol. 76. P. 1400–1407.
- Sheldrick G.M. Crystal structure refinement with SHELXL. Acta Cryst. 2015. Vol. 71. P. 3–8.
- Shi Y., Liang J.-K., Zhang H., Yang J.-L., Zhuang W.D., Rao G.-H. Crystal structure and vibrational spectra studies of stillwellite compounds NdBSiO5. J. Alloy. Compd. 1997. Vol. 259. P. 163–169.
- Sokolova E., Hawthorne F.C., Pautov L.A., Agakhanov A.A. Byzantievite, Ba5(Ca,REE,Y)22 (Ti,Nb)18(SiO4)4[(PO4),(SiO4)]4(BO3)9O21[(OH),F]43(H2O)1.5: the crystal structure and crystal chemistry of the only known mineral with the oxyanions (BO3), (SiO4) and (PO4). Miner. Mag. 2010. Vol. 74. P. 285–308.
- Søerensen H. (Eds.): The Ilimaussaq alkaline complex, South Greenland: status of mineralogical research with new results. Geol. Greenland Surv. Bull. 2001. Vol. 190. 167 p.
- Stefanovich S.Yu., Mill B., Sigaev V.N. Processing and characterisation of ferro/piezoelectrics in the stillwellite family. Ferroelectrics. 1997. Vol. 201. P. 285–294.
- Uvarova Y.A., Sokolova E., Hawthorne F.C., Agakhanov A.A., Karpenko V.Y., Pautov L.A. The crystal structure of laptevite-(Ce), NaFe2+(REE7Ca5Y3)(SiO4)4(Si3B2PO18)(BO3)F11, a new mineral species from the Darai-Pioz alkaline massif, Northern Tajikistan. Z. Kristallogr.-Cryst. Mater. 2013. Vol. 228. P. 550–557.
- Voronkov A.A., Pyatenko Y.A. X-ray diffraction study of the atomic structure of stillwellite CeBO[SiO4]. Sov. Phys. Cryst. 1967. Vol. 12. P. 214–220.
- Zhang J., Wang D., Zhang D., Zhang Q., Sun D., Yin S. In situ investigation of BaBPO5 crystal growth mechanism by high-temperature Raman spectroscopy. J. Mol. Struct. 2017. Vol. 1138. P. 50–54.
Supplementary files







