FEATURES OF THE DEMOGRAPHIC STRUCTURE OF THE KUBAN POPULATION IN THE GOLDEN HORDE PERIOD (based on the materials of the Natukhaevskoye 5 cemetery)
- Authors: Petrova K.A.1
-
Affiliations:
- Institute of Archaeology RAS
- Issue: No 1 (2023)
- Pages: 119-127
- Section: ARTICLES
- URL: https://journal-vniispk.ru/0869-6063/article/view/138836
- DOI: https://doi.org/10.31857/S0869606323010166
- EDN: https://elibrary.ru/MCEWOU
- ID: 138836
Cite item
Full Text
Abstract
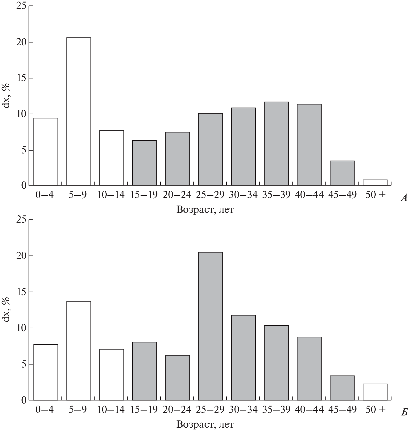
The article presents for the first time the results of a palaeodemographic study of a sample of the remains of the buried from the medieval mound-pit cemetery of Natukhaevskoye 5 studied in 2013–2014. Due to its favourable geographical conditions, this region has long been a zone of active interethnic contacts, which was reflected in a wide variety of funeral rites. The archaeological context allows us to divide the sample into 2 groups: stone cists and grave pits. The analysis of the main palaeodemographic characteristics revealed discrepancies in the sex and age composition and life expectancy of the two population groups. The first point of difference observed is the predominance of male burials in stone cists and female burials in pits; the second one is manifested in a uniform distribution of mortality of those buried in stone cists (ranging from 15 to 44 years old) against the background of the pronounced mortality peak at 25–29 in the sample of pit burials. To compare the obtained data, materials from synchronous series of Golden Horde necropolises were used showing significant local diversity.
Keywords
About the authors
Kristina A. Petrova
Institute of Archaeology RAS
Author for correspondence.
Email: kriss150294@mail.ru
Russia, Moscow
References
- Alekseev V.P., 1989. Palaeodemography: concepts and results. Istoricheskaya demografiya: problemy, suzhdeniya, zadachi [Historical demography: problems, judgments, tasks]. Yu.A. Polyakov, ed. Moscow: Nauka, pp. 63–90. (In Russ.)
- Alekseeva E.P., 1959. Studies in the history of the Circassians in the 14th–15th centuries AD. Trudy Karachaevo-Cherkesskogo nauchno-issledovatel’skogo instituta istorii, yazyka i literatury [Proceedings of the Karachay-Cherkess Research Institute of History, Language and Literature], III. Cherkessk, pp. 3–82. (In Russ.)
- Alekseeva E.P., 1992. Arkheologicheskie pamyatniki Karachaevo-Cherkesii [Archaeological sites of Karachay-Cherkessia]. Moscow: Vostochnaya literatura. 216 p.
- Alekseeva T.I., Bogatenkov D.V., Lebedinskaya G.V., 2003. Vlakhi. Antropo-ekologicheskoe issledovanie (po materialam srednevekovogo nekropolya Mistikhali) [Vlahs. An anthropo-ecological study (based on the materials from the medieval Mistikhaly cemetery)]. Moscow: Nauchnyy mir. 132 p.
- Armarchuk E.A., Dmitriev A.V., 2014. Tsemdolinskiy kurganno-gruntovyy mogil’nik [The Tsemdolina mound and pit cemetery]. Moscow: Institut arkheologii Rossiyskoy akademii nauk; St. Petersburg: Nestor-Istoriya. 132 p.
- Armarchuk E.A., Malyshev A.A., 1997. A medieval cemetery in the Tsemess valley. Istoriko-arkheologicheskiy al’manakh [Historical and archaeological almanac], 3. Armavir; Moscow: Armavirskiy kraevedcheskiy muzey, pp. 92–114. (In Russ.)
- Balabanova M.A., Pererva E.V., Zubareva E.G., 2011. Antropologiya Krasnoyarskogo gorodishcha zolotoordynskogo vremeni [Anthropology of the Krasny Yar fortified settlement of the Golden Horde period]. Volgograd: Volgogradskaya akademiya gosudarstvennoy sluzhby. 180 p.
- Batieva E.F., 2011. Anthropological materials from the 13th–14th century AD burial ground of the medieval settlement Zhukova (Kubanskaya Kolonka farm, Krasnodar Territory). Vestnik antropologii [Herald of anthropology], 19, pp. 161–168. (In Russ.)
- Batieva E.F., 2019. Demographic profile of certain population groups of Azak in the 13th–14th centuries AD. Azak i mir vokrug nego: materialy Mezhdunarodnoy nauchnoy konferentsii [Azak and the world around it: Proceedings of the International scientific conference]. E.E. Mamichev, ed. Azov: Izdatel’stvo Azovskogo muzeya-zapovednika, pp. 246–253. (Donskie drevnosti, 12). (In Russ.)
- Batieva E.F., Kashibadze V.F., 2020. On the anthropology of the medieval population of the Northwestern Caucasus (based on the materials from the Aushedz cemetery). V poiskakh nasledstvennoy izmenchivosti: sbornik statey v chest' 90-letiya Genrietty Leonidovny Khit’ [In search of hereditary variability: Articles to the 90th anniversary of Genrietta Leonidovna Khit]. St. Petersburg: Nestor-Istoriya, pp. 96–116. (In Russ.)
- Bonin A.V. Otchet ob okhranno-spasatel’nykh arkheologicheskikh rabotakh 2013 g. na mogil’nike Natukhaevskoe 5 v g-g. Novorossiysk Krasnodarskogo kraya [Report on the 2013 salvage archaeological works at the Natukhaevskoye 5 cemetery in the city of Novorossiysk, Krasnodar Territory]. Arkhiv Instituta arkheologii Rossiyskoy akademii nauk [Archive of the Institute of Archaeology RAS]. № 38617.
- Bonin A.V. Otchet ob okhranno-spasatel’nykh arkheologicheskikh rabotakh 2014 g. na mogil’nike Natukhaevskoe 5 v g-g. Novorossiysk Krasnodarskogo kraya v 2014 g. [Report on the 2014 salvage archaeological works at the Natukhaevskoe 5 cemetery in the city of Novorossiysk, Krasnodar Territory]. Arkhiv Instituta arkheologii Rossiyskoy akademii nauk [Archive of the Institute of Archaeology RAS]. № 32081.
- Bonin A.V., 2015. Salvage works in Anapa, Novorossiysk and Krymsk district of Krasnodar Territory, in 2010–2013. Arkheologicheskie otkrytiya 2010–2013 godov [Archaeological discoveries of 2010–2013]. N.V. Lopatin, ed. Moscow: Institut arkheologii Rossiyskoy akademii nauk, pp. 323–325. (In Russ.)
- Chkhaidze V.N., 2006. Medieval burials in stone cists on the Taman Peninsula. Materialy i issledovaniya po arkheologii Povolzh’ya [Materials and research on the archaeology of the Volga region], 3. Srednevekovaya arkheologiya evraziyskikh stepey. Moscow; Yoshkar-Ola: Mariyskiy gosudarstvennyy universitet, pp. 53–86. (In Russ.)
- Druzhinina I.A., 2016. The Lower Transkuban region in the 13th–14th centuries AD: on the border of cultures and natural zones. Dialog gorodskoy i stepnoy kul’tur na evraziyskom prostranstve. Istoricheskaya geografiya Zolotoy Ordy: materialy Sed’moy mezhdunarodnoy konferentsii, posvyashchennoy pamyati G.A. Fedorova-Davydova [Dialogue of urban and steppe cultures in the Eurasian space. Historical geography of the Golden Horde: Proceedings of the Seventh International conference in memory of G.A. Fedorov-Davydov]. Kazan’; Yalta; Kishinev: Stratum Plus, pp. 215–218. (In Russ.)
- Druzhinina I.A., Mednikova M.B., 2019. Between the Crimea, the Caucasus and the steppe: The population of the steppe Kuban left bank in the 14th century AD (based on archaeological and anthropological studies of groung necropoli). Vestnik Moskovskogo universiteta. Seriya 23: Antropologiya [Moscow University Anthropology Bulletin], pp. 104–116. (In Russ.)
- Krasil’nikova L.I. Otchet ob okhrannykh arkheologicheskikh raskopkakh na territorii vyyavlennogo ob"ekta arkheologicheskogo naslediya “Poselenie Psebeps-3” v Krymskom rayone Krasnodarskogo kraya v 2016 g. [Report on the 2016 salvage archaeological excavations in the newly identified archaeological heritage object of Psebeps-3 settlement in Krymsk district, Krasnodar Territory]. Arkhiv Instituta arkheologii Rossiyskoy akademii nauk [Archive of the Institute of Archaeology RAS]. № 54191.
- Lapshin A.S., Lapshina I.Yu., 2018. Christian cemetery in the Vodyanskoye fortified settlement and articles of Christian devotion. Arkheologiya evraziyskikh stepey [Archaeology of the Eurasian steppes], 4, pp. 255–259. (In Russ.)
- Lapshin A.S., Mys’kov E.P., 2011. Issledovaniya na Vodyanskom gorodishche v 2009–2010 gg. [Research at the Vodyanskoye fortified settlement in 2009–2010]. Volgograd: Tsaritsynskaya poligraficheskaya kompaniya. 174 p.
- Lapshin A.S., Mys’kov E.P., 2013. Issledovaniya na Vodyanskom gorodishche v 2011–2012 gg. [Research at the Vodyanskoye fortified settlement in 2011–2012]. Moscow: Pero. 216 p.
- Makarova T.I., 1998. Archaeological excavations in Kerch near the Church of St. John the Baptist. Materialy po arkheologii, istorii i etnografii Tavrii [Materials on archaeology, history and ethnography of Taurica], VI. A.I. Aybabin, ed. Simferopol’: Tavriya, pp. 344–393. (In Russ.)
- Mayko V.V., 2007. Srednevekovye nekropoli Sudakskoy doliny [Medieval necropolises of the Sudak valley]. Kiev: Akademperiodika. 273 p.
- Nechiporuk A.A., 2015. Works of 2010 on the settlements of Zhukova, Furozhan 2 and Psif 3 in Krymsk district of Krasnodar Territory. Arkheologicheskie otkrytiya 2010–2013 gg. [Archaeological discoveries of 2010–2013]. N.V. Lopatin, ed. Moscow: Institut arkheologii Rossiyskoy akademii nauk, p. 407. (In Russ.)
- Sizov V.I., 1889. Vostochnoe poberezh’e Chernogo morya. Arkheologicheskie ekskursii [Eastern coast of the Black Sea. Archaeological tours]. Moscow: Tipografiya A.I. Mamontova. 183 p. (Materialy po arkheologii Kavkaza, II).
- Standards for data collection from human skeletal remains. J. Buikstra, D. Ubelaker, eds. Fayetteville, 1994. 206 p. (Arkansas Archaeological Survey Research, 44).
- Teshev M.K., 1985. Adyghe burial structures in the developed and late Middle Ages in Tuapse district and on the Black Sea coast of the Western Caucasus. Voprosy arkheologii Adygei [Issues of the archaeology of Adygea]. N.V. Anfimov, ed. Maykop: Adygeyskiy nauchno-issledovatel’skiy institut ekonomiki, yazyka, literatury i istorii, pp. 142–165. (In Russ.)
Supplementary files









