Геохимия и природа протолитов триасовых марганцево-силикатных пород и силикатно-магнетитовых руд Сихотэ-Алиня
- Авторы: Перевозникова Е.В.1, Казаченко В.Т.1
-
Учреждения:
- Дальневосточный геологический институт ДВО РАН
- Выпуск: № 5 (2024)
- Страницы: 83-102
- Раздел: Науки о Земле и окружающей среде
- URL: https://journal-vniispk.ru/0869-7698/article/view/281273
- DOI: https://doi.org/10.31857/S0869769824050066
- EDN: https://elibrary.ru/HPOYWQ
- ID: 281273
Цитировать
Полный текст
Аннотация
Статья посвящена вопросам происхождения яшм и контактово-метаморфизованных осадков – марганцево-силикатных пород (сложенных главным образом силикатами Mn) и силикатно-магнетитовых руд, слагающих пластовые и линзовидные тела в триасовой кремневой формации Сихотэ-Алиня. Для доказательства хемогенно-биогенной природы исходных отложений – протолитов этих образований были использованы методы хемостратиграфии. Приводится большой объем геохимических (143Nd/144Nd, REE) данных для марганцево-силикатных пород, силикатно-магнетитовых руд и яшм Таухинского и Самаркинского террейнов. Приведенные в статье современные парные значения Sm/Nd и 143Nd/144Nd для морской воды триасово-юрского времени, полученные по результатам изучения кремнистых и марганцево-силикатных пород, а также силикатно-магнетитовых руд и представленные в виде изохроны на диаграмме Sm/Nd–143Nd/144Nd, могут быть использованы для решения других важных геологических проблем Сихотэ-Алиня.
Ключевые слова
Полный текст
Введение
В Сихотэ-Алине известны юрские стратиформные железомарганцевые (Центральный Сихотэ-Алинь и Наданьхада-Алинь) и раннемеловые жильные марганцевые проявления (Центральный Сихотэ-Алинь) [1]. Однако наиболее значительное накопление Mn происходило в среднем–позднем триасе. В результате многолетних исследований было установлено широкое распространение в триасовой кремневой формации Сихотэ-Алиня марганцево-силикатных (сложенных главным образом силикатами Mn) пород и силикатно-магнетитовых руд, а также пластовая или линзовидная морфология и стратифицированное положение слагаемых ими тел [2]. Были выявлены пластовые тела кремнисто-родохрозитовых пород (кремней с дисперсным родохрозитом) – неметаморфизованных аналогов марганцево-силикатных пород и обнаружены в их составе обильные включения органического вещества. Была показана исключительная приуроченность марганцево-силикатных пород к контактовым ореолам гранитоидных интрузий мелового–палеогенового возраста с переходом за их пределами в кремнисто-родохрозитовые породы.
Целью данных исследований являлось получение (путем использования методов хемостратиграфии) геохимических доказательств хемогенно-биогенной природы протолитов марганцево-силикатных пород и силикатно-магнетитовых руд Сихотэ-Алиня.
Изотопные отношения Sm, Nd, Sr, Pb и некоторых других элементов, а также отношения концентраций редкоземельной группы элементов (REE) в водах палеобассейнов в разное время можно проследить по морским биогенным и хемогенным образованиям. Для этого, в частности, используются железо-марганцевые корки и конкреции [3], карбонатные скелеты раковин [4], зубы рыб [5], фосфатные пелоиды [4, 6], морской биогенный барит [7]. Изотопные отношения этих элементов, а также отношения концентраций REE в водах палеобассейнов имеют большое значение для выяснения их эволюции, а также природы и стратиграфической корреляции осадочных комплексов [8, 9, 10]. Помимо этого изотопные отношения используются для определения источников Sm, Nd, Sr, Pb и некоторых других элементов в морской воде и осадках различных частей морей и океанов [11].
Существенное значение для решения некоторых вопросов геологической истории Сихотэ-Алиня имеют полученные при изучении кремнистых, марганцево-силикатных и силикатно-магнетитовых пород и руд значения Sm/Nd и 143Nd/144Nd для морской воды триасово-юрского времени, представленные в данной работе в виде изохроны метаморфизованных триасовых металлоносных осадков в соответствующих координатах.
Методика исследований
Определение породообразующих оксидов и потерь при прокаливании выполнено в лаборатории аналитической химии ДВГИ ДВО РАН методами гравиметрии (SiO2, H2O и п.п.п.) и атомно-эмиссионной спектрометрии с индуктивно-связанной плазмой на спектрометре iCAP 6500Duo (Thermo Scientific Corporation, США) (прочих оксидов). Особенностью пробоподготовки являлось сплавление навески с метаборатом Li.
Определение редких элементов в яшмах, марганцево-силикатных породах и силикатно-магнетитовых рудах производилось в ХИАЦ ИТИГ методом масс-спектрометрии с индуктивно-связанной плазмой на приборе ICP-MS Elan DRC II Perkin Elmer (США).
Пробоподготовка и измерения изотопного состава Nd в метаморфизованных триасовых металлоносных осадках выполнены в Геологическом институте Кольского научного центра РАН. Анализы производились на 7-канальном твердофазном масс-спектрометре Finnigan-MAT 262 (RPQ) в статическом двухленточном режиме с использованием рениевых и танталовых лент. Среднее значение отношения 143Nd/144Nd в стандарте La Jolla за периоды измерений составило 0,511835±18 (N = 15). Погрешность измерения в индивидуальном анализе не превышала 0,004%. Холостое внутрилабораторное загрязнение составляло 0,3 нг, а точность определения концентрации ±0,5%. Изотопные отношения нормализованы по 146Nd/144Nd = 0,7219 и пересчитаны на принятую величину 143Nd/144Nd в стандарте La Jolla = 0,511860.
Диагностика минералов производилась под микроскопом и подтверждалась определением их составов. Анализы (в аншлифах) выполнены в ДВГИ ДВО РАН на рентгеноспектральном микроанализаторе JXA8100 с тремя волновыми спектрометрами и энергодисперсионным спектрометром (ЭДС) INCAx-sight при ускоряющем напряжении 20 кВ и токе 1 × 10-8 A. Содержания всех элементов определялись с помощью ЭДС. Угол отбора излучения составлял 45°, локальность анализа – 1 мкм. Количественный анализ производился по процедуре PhyRoZ (стандартной программе энергодисперсионного анализатора Link ISIS) с применением пользовательского набора эталонов. Стандартами являлись: на O, Mg, Si, Ca – CaMgSi2O6 (голубой диопсид); F, Ba – BaF2; Na, Al – NaAlSi3O8 (альбит); P – InP; S, Fe – FeS2; Cl – Cs2ReCl6; K – KNbO3; Cr – Cr2O3; Mn, Ti – MnTiO3; Co – Co (металл); V – V (металл); Zn – ZnS; Zr – ZrSiO4; Hf – Hf2O; La – LaPO4; Ce – CePO4; Nd – NdPO4; Pr – PrPO4; Pt – Pt (металл). Аналитическая погрешность не превышала: 1) при концентрациях элемента от 1 до 5 мас. % ±10 отн. %; 2) от 5 до 10 мас. % ±5 отн. %; 3) свыше 10 мас. ±2 отн. %. Предел обнаружения, в зависимости от элемента, изменялся от 0,04 до 0,1 мас. %. Для обеспечения электропроводимости применялось графитовое напыление.
Геологическое положение марганцево-силикатных пород и силикатно-магнетитовых руд
Геологическое положение метаморфизованных металлоносных осадков триасовой кремневой формации, неоднократно и подробно рассматривавшееся в предыдущих публикациях, приведено ниже в кратком виде. Формация сложена кремнями, кремневыми аргиллитами, аргиллитами и алевроаргиллитами [12]. В центральной и северной частях Сихотэ-Алиня встречаются прослои мергелей, известняков и их глинистых и кремнистых разностей. Особенностью формации является присутствие в ее составе яшм, а также углеродистых кремнистых и кремнисто-глинистых пород. Ее нижняя часть представлена «глинисто-кремнистой» толщей [2] (оленек–средний анизий) с обильными прослоями углеродистых разностей и перекрыта «кремневой» толщей светло-серых плитчатых кремней. В основании «кремневой» толщи присутствуют яшмы и в разной степени метаморфизованные триасовые металлоносные осадки – кремнисто-родохрозитовые, марганцево-силикатные и спессартин-кварцевые породы и силикатно-магнетитовые руды. Они слагают пластовые и линзообразные тела мощностью десятки сантиметров – первые метры и протяженностью десятки – первые сотни метров. Их выходы были изучены на Горной (Самаркинский террейн), Широкопаднинской, Мокрушинской, Высокогорской и Садовой (Таухинский террейн) площадях (рис. 1). Марганцево-силикатные и силикатно-магнетитовые породы и руды иногда слагают общую пачку в яшмах (радиоляритах с дисперсным гематитом) или спессартин-кварцевых породах. По результатам исследований радиолярий возраст подстилающих и перекрывающих пачку яшм соответствует среднему–позднему триасу [2]. Более точно возраст яшм формации определен по конодонтам как поздний анизий–ладин [12]. Вышележащие кремни относятся к карнию и норию.
Рис. 1. Положение изученных объектов в Сихотэ-Алине (тектоническая основа по А.И. Ханчуку [13] с небольшими изменениями). 1 – массивы: Ханкайский (ХН), Буреинский (БР); 2 – юрские террейны (фрагменты аккреционных призм): СM – Самаркинский, НБ – Наданьхада-Бикинский; 3 – калиновские габброиды (девон?); 4 – Окраинско-Сергеевский террейн (СР) и его фрагменты, включенные в структуры юрской аккреционной призмы и испытавшие вместе с ними цикл син- и постаккреционных преобразований; 5–8 – раннемеловые террейны-фрагменты: 5 – неокомовской аккреционной призмы (ТУ – Таухинский), 6 – приконтинентального раннемелового спредингового турбидитового бассейна (ЖР – Журавлевско-Амурский), 7 – баррем-альбской островодужной системы (КМ – Кемский), 8 – альбской аккреционной призмы (КС – Киселевско-Маноминский); 9 – левые сдвиги, в том числе: КК – Куканский, АР – Арсеньевский, МФА – Мишань-Фушуньский (Алчанский), ЦСА – Центральный Сихотэ-Алинский, ФР – Фурмановский; 10 – надвиги; 11 – изученные площади с выходами триасовых контактово-метаморфизованных металлоносных осадков: 1 – Широкопаднинская площадь, 2 – Мокрушинская площадь, 3 – Высокогорская площадь, 4 – Садовая площадь, 5 – Горная площадь
Яшмы, кремнисто-родохрозитовые, марганцево-силикатные, спессартин-кварцевые, силикатно-магнетитовые породы и руды – контактово-метаморфизованные (в разной степени) осадки прилегавших к островам акваторий [14] занимают стратифицированное (одинаковое на всех изученных площадях) положение в триасовом разрезе. На поверхности их выходы группируются в серии линейных зон, параллельных простиранию вмещающих пород, маркируя выходы смятого в складки горизонта. Некоторые зоны прослежены на 4,3 км и более.
Марганцево-силикатные породы встречаются в контактовых ореолах гранитоидных интрузий Восточно-Сихотэ-Алинского вулкано-плутонического пояса (поздний мел–палеоген) в Таухинском террейне и Хунгари-Татибинского интрузивного комплекса (ранний мел) в Самаркинском террейне, за пределами которых сменяются кремнями с дисперсным родохрозитом. Местами контактовый метаморфизм кремней с дисперсным родохрозитом происходил с участием подвижной флюидной фазы и приводил к преобразованию пластовых и линзовидных тел кремнисто-родохрозитовых пород в метасоматические штокверкоподобные системы, сложенные силикатами Mn [2]. Одинаковое положение марганцево-силикатных пород в разрезе триасовых отложений Таухинского и Самаркинского террейнов свидетельствует о синхронном накоплении исходных богатых Mn и Fe осадков в едином осадочном бассейне. В образовании яшм, кремнисто-родохрозитовых, марганцево-силикатных и спессартин-кварцевых пород, а также силикатно-магнетитовых руд важную роль (как источники вещества) играли слагавшие острова габброиды сергеевского и калиновского комплексов [14].
Результаты
К настоящему времени нами получены аналитические данные для яшм (породообразующие и редкие элементы), марганцево-силикатных и силикатно-магнетитовых пород и руд (редкие элементы, изотопные отношения Nd) триасовой кремневой формации Сихотэ-Алиня. Изучены геологические условия залегания, минералогия и внутреннее строение этих пород.
Яшмы, наиболее полно охарактеризованные в минералогическом и геохимическом отношениях на Широкопаднинской площади, представляют собой радиоляриты или кремни с дисперсными включениями гематита, небольшой примесью глинистого вещества и остатками радиолярий. Эти породы содержат немного альбита, биотита, гидрослюды и калиевого полевого шпата, слагающего мелкие (0,n мм) гнезда и прожилки и содержащего небольшое количество Ba. Яшмы имеют ярко-красный цвет из-за дисперсных включений обогащенного Ti (иногда Co или V) гематита в кремнистом или глинисто-кремнистом матриксе. Присутствуют мельчайшие включения акцессорных минералов – рутила, титанита, апатита, барита, касситерита, циркона, торианита и таусонита. Иногда встречаются ульманнит, кобальтин, герсдорфит, никелин и бравоит. Наиболее распространенными эндогенными минералами REE являются монацит-(Ce) и ксенотим-(Y), а экзогенными – рабдофан-(Се), рабдофан-(Y), тенгерит-(Y) и бастнезит-(Се).
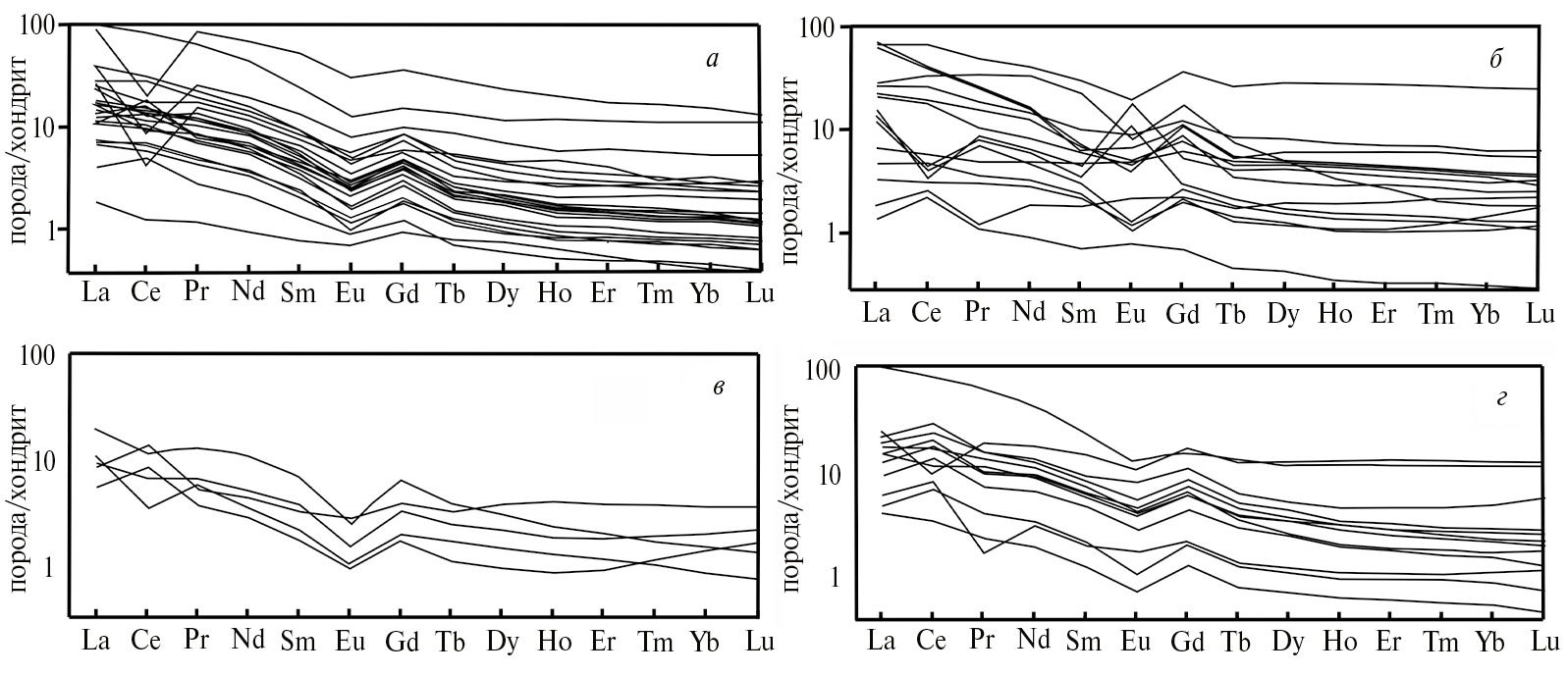
Яшмы нередко рассечены системами трещин. В пределах таких участков красная окраска сменяется на зеленовато-светло-серую; гематит и гидрослюда замещены хлоритом или (реже) хлоритом и биотитом, а вместо рутила или наряду с ним присутствуют ильменит или пирофанит. Встречаются сфалерит, стибнит, галенит, халькопирит, As- или Ni-содержащий пирит. Обнаружены самородные Au и Ag, самородный Au-содержащий Ni, соединение Ni3Au, Ag2S, молибденит, буланжерит, самородные элементы и интерметаллиды, приуроченные к порам и микротрещинкам с органикой. Характерными являются кварц-мусковит-хлоритовые прожилки, содержащие органику, самородные элементы, интерметаллиды и другие соединения многих, в том числе и благородных, металлов. В яшмах встречаются участки с многочисленными, иногда минерализованными кавернами, маркирующие положение подвергшихся экзогенному замещению или выщелачиванию выделений более ранних минералов. Отдельные из них заполнены гетитом, лимонитом, вернадитом, романешитом, баритоцелестином, целестином, пироморфитом, англезитом, коркитом, плюмбогуммитом-гинсдалитом, стибиоконитом, уэйкфилдитом или теноритом. Количество Al2O3 и Fe2О3 в яшмах не превышает 4,15 и 2,78 мас. % соответственно, а MnO и TiO2 изменяются в пределах 0,0n–0,n мас. %. Содержания некоторых элементов (по анализам 24 проб) достигают десятков–сотен граммов на тонну: V (2,26–101,89; среднее 17,12), Ba (10,26–319,39; 145,10), Pb (2,07–170,56; 16,46), Ni (0,69–16,43; 7,62), Cu (0,00–69,66; 16,16), Zn (8,94–73,75; 30,26), As (0,16–29,76; 3,24), Mo (0,01–17,69; 0,95), REE (табл. 1). Особенности REE-спектров (рис. 2, а) определяются более высокими содержаниями (нормированными по хондритам) легких REE относительно тяжелых, наличием Eu-минимумов и Gd-максимумов. Многим из них свойственна Ce-аномалия (положительная или отрицательная), появление которой связывают в основном с морскими обстановками или с метасоматическими изменениями пород.
Таблица 1 Содержание редкоземельных элементов (г/т) в яшмах Широкопаднинской площади Ольгинского рудного района (Таухинский террейн, Сихотэ-Алинь)
Элемент | Проба | |||||||||||||||||||||||
1 | 2 | 3 | 4 | 5 | 6 | 7 | 8 | 9 | 10 | 11 | 12 | 13 | 14 | 15 | 16 | 17 | 18 | 19 | 20 | 21 | 22 | 23 | 24 | |
La | 6,43 | 2,54 | 4,70 | 4,87 | 3,57 | 4,55 | 4,10 | 7,16 | 9,10 | 3,35 | 5,54 | 4,10 | 0,67 | 6,24 | 9,16 | 13,64 | 1,48 | 5,90 | 4,27 | 2,67 | 6,51 | 10,26 | 4,58 | 2,59 |
Ce | 12,90 | 5,48 | 15,43 | 13,23 | 9,45 | 12,81 | 9,59 | 16,03 | 12,69 | 9,30 | 10,51 | 16,93 | 1,20 | 14,40 | 17,39 | 30,57 | 4,64 | 8,62 | 9,98 | 6,25 | 14,28 | 27,82 | 19,50 | 6,41 |
Pr | 1,59 | 0,58 | 1,14 | 1,21 | 1,01 | 1,17 | 0,98 | 1,88 | 1,87 | 0,86 | 1,46 | 1,14 | 0,16 | 1,56 | 2,40 | 3,13 | 0,38 | 1,21 | 0,98 | 0,67 | 1,68 | 2,70 | 1,43 | 0,69 |
Nd | 6,86 | 2,37 | 4,67 | 4,94 | 4,19 | 4,76 | 3,87 | 7,49 | 6,70 | 3,47 | 5,77 | 4,81 | 0,66 | 5,96 | 9,97 | 11,29 | 1,49 | 4,31 | 3,84 | 2,65 | 6,50 | 10,55 | 5,65 | 2,62 |
Sm | 1,41 | 0,47 | 0,96 | 0,96 | 0,90 | 0,96 | 0,74 | 1,47 | 1,16 | 0,70 | 1,10 | 1,06 | 0,17 | 1,18 | 2,14 | 2,00 | 0,30 | 0,75 | 0,73 | 0,51 | 1,30 | 2,20 | 1,18 | 0,51 |
Eu | 0,28 | 0,10 | 0,21 | 0,23 | 0,18 | 0,21 | 0,16 | 0,27 | 0,21 | 0,15 | 0,22 | 0,26 | 0,06 | 0,22 | 0,46 | 0,37 | 0,08 | 0,14 | 0,14 | 0,11 | 0,24 | 0,45 | 0,22 | 0,08 |
Gd | 1,72 | 0,56 | 1,25 | 1,21 | 1,09 | 1,22 | 0,91 | 1,57 | 1,26 | 0,88 | 1,18 | 1,44 | 0,28 | 1,37 | 2,55 | 2,28 | 0,36 | 0,83 | 0,89 | 0,61 | 1,43 | 2,55 | 1,65 | 0,56 |
Tb | 0,19 | 0,06 | 0,13 | 0,12 | 0,12 | 0,13 | 0,10 | 0,15 | 0,13 | 0,10 | 0,13 | 0,15 | 0,04 | 0,15 | 0,31 | 0,23 | 0,04 | 0,09 | 0,09 | 0,07 | 0,15 | 0,28 | 0,13 | 0,07 |
Dy | 1,13 | 0,36 | 0,85 | 0,63 | 0,66 | 0,71 | 0,57 | 0,82 | 0,71 | 0,57 | 0,73 | 0,83 | 0,28 | 0,75 | 1,68 | 1,17 | 0,22 | 0,44 | 0,47 | 0,36 | 0,79 | 1,40 | 0,68 | 0,38 |
Ho | 0,24 | 0,07 | 0,17 | 0,12 | 0,13 | 0,13 | 0,11 | 0,15 | 0,13 | 0,11 | 0,13 | 0,15 | 0,05 | 0,14 | 0,31 | 0,22 | 0,04 | 0,08 | 0,09 | 0,07 | 0,14 | 0,27 | 0,12 | 0,07 |
Er | 0,67 | 0,21 | 0,52 | 0,33 | 0,34 | 0,36 | 0,28 | 0,39 | 0,35 | 0,30 | 0,36 | 0,42 | 0,13 | 0,37 | 0,84 | 0,67 | 0,12 | 0,22 | 0,25 | 0,19 | 0,40 | 0,70 | 0,34 | 0,19 |
Tm | 0,09 | 0,03 | 0,08 | 0,05 | 0,04 | 0,05 | 0,03 | 0,05 | 0,05 | 0,04 | 0,05 | 0,06 | 0,02 | 0,05 | 0,11 | 0,10 | 0,02 | 0,03 | 0,03 | 0,03 | 0,05 | 0,09 | 0,04 | 0,03 |
Yb | 0,59 | 0,18 | 0,50 | 0,33 | 0,31 | 0,32 | 0,23 | 0,32 | 0,32 | 0,27 | 0,32 | 0,36 | 0,10 | 0,33 | 0,64 | 0,69 | 0,11 | 0,20 | 0,21 | 0,17 | 0,34 | 0,61 | 0,33 | 0,16 |
Lu | 0,09 | 0,03 | 0,07 | 0,05 | 0,04 | 0,05 | 0,03 | 0,04 | 0,05 | 0,04 | 0,05 | 0,05 | 0,01 | 0,05 | 0,09 | 0,11 | 0,02 | 0,03 | 0,03 | 0,02 | 0,05 | 0,09 | 0,05 | 0,02 |
Примечание. Анализы выполнены в ХИАЦ ИТИГ методом масс-спектрометрии с индуктивно-связанной плазмой на приборе ICP-MS Elan DRC II Perkin Elmer (США). Аналитики: Д.В. Авдеев, Л.С. Боковенко.
Рис. 2. REE-спектры яшм (а), марганцево-силикатных пород (б) и силикатно-магнетитовых руд (в) Широкопаднинской площади (Таухинский террейн) и марганцево-силикатных пород Горной площади (Самаркинский террейн) (г)
Марганцево-силикатные породы сложены родонитом, пироксмангитом, спессартином и кварцем. Распространены пирофанит, тефроит, манганактинолит, марганцовистые разновидности клинопироксена и амфибола куммингтонит-грюнеритового ряда. Встречаются манганпиросмалит, алабандин, манганаксинит, гельвин, родохрозит, Ba-содержащий флогопит, гиалофан, цельзиан, магнетит, графит и другие минералы. Содержание MnO в породах достигает 47 мас. %. Породы содержат акцессорную минерализацию в виде соединений Th, U, REE, Ni, Co, Au, Ag, Pt, Pd и других металлов [15]. Минералы REE представлены монацитом-(Ce), алланитом-(Се), торнебемитом-(Се), гидроксидом-(Се), бастнезитом-(Се) и бастнезитом-(La).
Большая часть REE-спектров марганцево-силикатных пород Горной и Широкопаднинской площадей содержит признаки более высоких содержаний (нормированных по хондритам) легких REE (табл. 2, 3) относительно тяжелых, Eu-минимумы и Gd-максимумы (рис. 2, б, в). Прочие спектры, главным образом пород Широкопаднинской площади, имеют существенные отличия. Наиболее характерными из них являются уменьшение Eu-минимумов и Gd-максимумов вплоть до их исчезновения либо появления Eu-максимумов и Sm-минимумов или, наоборот, значительное увеличение амплитуд Eu-минимумов и Gd-максимумов. Некоторым спектрам, кроме того, свойственна положительная или отрицательная Ce-аномалия. Она присутствует почти во всех спектрах Горной площади, имеет положительный знак и примерно одинаковую амплитуду (см. рис. 2, б).
Таблица 2 Содержание редкоземельных элементов в марганцево-силикатных породах Горной площади (Малиновский рудный район), г/т
Элемент | Проба | ||||||||||||||||||||||||||
ЭВ-01-58 | ЭВ-06-1 | ЭВ-06-2 | ЭВ-06-3 | ЭВ-06-4 | ЭВ-06-5 | ЭВ-06-6 | ЭВ-06-7 | ЭВ-06-8 | ЭВ-06-9 | ЭВ-06-10 | |||||||||||||||||
1 | 2 | 3 | 4 | 5 | 6 | 7 | 8 | 9 | 10 | 11 | |||||||||||||||||
La | 6,30 | 3,39 | 4,87 | 5,55 | 2,77 | 2,15 | 4,78 | 3,70 | 3,71 | 2,89 | 4,60 | ||||||||||||||||
Ce | 16,18 | 12,91 | 19,30 | 19,13 | 10,41 | 7,68 | 18,58 | 13,48 | 17,73 | 9,33 | 19,36 | ||||||||||||||||
Pr | 1,81 | 0,98 | 1,69 | 1,32 | 0,62 | 0,23 | 1,02 | 0,75 | 0,86 | 0,54 | 1,17 | ||||||||||||||||
Nd | 7,78 | 4,55 | 6,63 | 6,74 | 3,89 | 2,17 | 5,48 | 4,47 | 5,23 | 3,59 | 5,93 | ||||||||||||||||
Sm | 1,65 | 1,06 | 1,43 | 1,46 | 0,91 | 0,46 | 1,21 | 1,03 | 1,58 | 0,77 | 1,28 | ||||||||||||||||
Eu | 0,36 | 0,24 | 0,28 | 0,36 | 0,33 | 0,15 | 0,34 | 0,26 | 0,37 | 0,14 | 0,33 | ||||||||||||||||
Gd | 1,95 | 1,32 | 2,01 | 1,88 | 1,28 | 0,65 | 1,77 | 1,48 | 2,14 | 1,06 | 1,82 | ||||||||||||||||
Tb | 0,20 | 0,17 | 0,23 | 0,22 | 0,16 | 0,07 | 0,20 | 0,18 | 0,25 | 0,12 | 0,20 | ||||||||||||||||
Dy | 0,96 | 0,93 | 1,25 | 1,28 | 0,97 | 0,43 | 1,09 | 1,03 | 1,29 | 0,67 | 1,05 | ||||||||||||||||
Ho | 0,17 | 0,16 | 0,23 | 0,25 | 0,18 | 0,08 | 0,21 | 0,19 | 0,21 | 0,12 | 0,18 | ||||||||||||||||
Er | 0,46 | 0,45 | 0,63 | 0,70 | 0,45 | 0,23 | 0,58 | 0,51 | 0,54 | 0,33 | 0,49 | ||||||||||||||||
Tm | 0,06 | 0,06 | 0,09 | 0,10 | 0,06 | 0,04 | 0,08 | 0,07 | 0,07 | 0,04 | 0,07 | ||||||||||||||||
Yb | 0,42 | 0,39 | 0,61 | 0,67 | 0,37 | 0,28 | 0,52 | 0,40 | 0,53 | 0,26 | 0,49 | ||||||||||||||||
Lu | 0,07 | 0,05 | 0,09 | 0,10 | 0,05 | 0,04 | 0,07 | 0,05 | 0,08 | 0,04 | 0,07 | ||||||||||||||||
143Nd/144Nd | 0,512323 | 0,512315 | 0,512371 | ||||||||||||||||||||||||
Err | 3 | 5 | 8 | ||||||||||||||||||||||||
Элемент | Проба | ||||||||||||||||||||||||||
ЭВ-06-11 | ЭВ-06-12 | ЭВ-06-13 | ЭВ-06-14 | ЭВ-06-15 | ЭВ-06-16 | ЭВ-06-17 | ЭВ-06-18 | ЭВ-06-19 | ЭВ-06-20 | ЭВ-06-21 | |||||||||||||||||
12 | 13 | 14 | 15 | 16 | 17 | 18 | 19 | 20 | 21 | 22 | |||||||||||||||||
La | 3,17 | 4,53 | 7,94 | 2,31 | 2,02 | 3,31 | 3,45 | 2,61 | 1,48 | 5,65 | 1,72 | ||||||||||||||||
Ce | 13,33 | 16,74 | 27,63 | 11,19 | 7,54 | 12,42 | 14,07 | 12,71 | 3,20 | 10,90 | 6,36 | ||||||||||||||||
Pr | 1,01 | 1,38 | 2,13 | 0,80 | 0,60 | 1,18 | 0,87 | 0,88 | 0,32 | 1,54 | 0,55 | ||||||||||||||||
Nd | 4,65 | 6,31 | 9,44 | 3,89 | 2,80 | 4,67 | 3,97 | 4,27 | 1,34 | 6,29 | 2,29 | ||||||||||||||||
Sm | 1,08 | 1,43 | 2,09 | 1,00 | 0,59 | 1,06 | 0,83 | 1,03 | 0,29 | 1,31 | 0,48 | ||||||||||||||||
Eu | 0,27 | 0,39 | 0,69 | 0,25 | 0,10 | 0,21 | 0,14 | 0,22 | 0,06 | 0,33 | 0,09 | ||||||||||||||||
Gd | 1,44 | 2,20 | 3,26 | 1,26 | 0,71 | 1,33 | 0,97 | 1,55 | 0,38 | 1,83 | 0,67 | ||||||||||||||||
Tb | 0,16 | 0,25 | 0,36 | 0,15 | 0,09 | 0,17 | 0,11 | 0,18 | 0,05 | 0,23 | 0,08 | ||||||||||||||||
Dy | 0,90 | 1,38 | 1,97 | 0,84 | 0,48 | 1,00 | 0,58 | 0,97 | 0,26 | 1,33 | 0,44 | ||||||||||||||||
Ho | 0,16 | 0,28 | 0,38 | 0,15 | 0,08 | 0,17 | 0,10 | 0,19 | 0,05 | 0,26 | 0,09 | ||||||||||||||||
Er | 0,46 | 0,79 | 1,12 | 0,40 | 0,23 | 0,46 | 0,31 | 0,54 | 0,14 | 0,69 | 0,25 | ||||||||||||||||
Tm | 0,06 | 0,12 | 0,16 | 0,05 | 0,03 | 0,06 | 0,04 | 0,08 | 0,02 | 0,09 | 0,03 | ||||||||||||||||
Yb | 0,40 | 0,79 | 1,17 | 0,36 | 0,20 | 0,41 | 0,29 | 0,48 | 0,13 | 0,57 | 0,22 | ||||||||||||||||
Lu | 0,05 | 0,12 | 0,21 | 0,05 | 0,02 | 0,05 | 0,04 | 0,07 | 0,02 | 0,09 | 0,03 | ||||||||||||||||
Элемент | Проба | ||||||||||||||||||||||||||
ЭВ-06-22 | ЭВ-06-23 | ЭВ-06-24 | ЭВ-06-25 | ЭВ-06-26 | ЭВ-06-27 | ЭВ-06-28 | ЭВ-06-29 | Мп-83-35 | |||||||||||||||||||
23 | 24 | 25 | 26 | 27 | 28 | 29 | 30 | 31 | |||||||||||||||||||
La | 1,80 | 6,51 | 3,05 | 2,58 | 9,11 | 2,94 | 6,93 | 8,14 | 5,02 | ||||||||||||||||||
Ce | 8,25 | 21,11 | 11,45 | 10,11 | 9,10 | 10,49 | 22,78 | 23,25 | 12,57 | ||||||||||||||||||
Pr | 0,64 | 2,00 | 0,75 | 0,78 | 2,60 | 0,85 | 2,18 | 2,32 | 1,11 | ||||||||||||||||||
Nd | 2,85 | 8,52 | 3,50 | 3,12 | 12,62 | 3,52 | 8,75 | 9,79 | 6,04 | ||||||||||||||||||
Sm | 0,73 | 1,75 | 0,77 | 0,66 | 3,42 | 0,77 | 1,84 | 2,11 | 1,26 | ||||||||||||||||||
Eu | 0,20 | 0,24 | 0,25 | 0,14 | 0,93 | 0,18 | 0,47 | 0,51 | 0,32 | ||||||||||||||||||
Gd | 0,99 | 2,37 | 0,92 | 0,91 | 5,10 | 1,11 | 2,54 | 2,89 | 1,71 | ||||||||||||||||||
Tb | 0,13 | 0,25 | 0,11 | 0,11 | 0,73 | 0,13 | 0,29 | 0,33 | 0,21 | ||||||||||||||||||
Dy | 0,71 | 1,48 | 0,62 | 0,65 | 4,69 | 0,76 | 1,62 | 1,90 | 1,26 | ||||||||||||||||||
Ho | 0,13 | 0,28 | 0,11 | 0,12 | 1,07 | 0,15 | 0,29 | 0,36 | 0,24 | ||||||||||||||||||
Er | 0,34 | 0,68 | 0,30 | 0,34 | 3,20 | 0,42 | 0,77 | 0,95 | 0,60 | ||||||||||||||||||
Tm | 0,05 | 0,08 | 0,04 | 0,05 | 0,46 | 0,06 | 0,10 | 0,13 | 0,08 | ||||||||||||||||||
Yb | 0,33 | 0,53 | 0,23 | 0,34 | 3,10 | 0,41 | 0,70 | 0,87 | 0,53 | ||||||||||||||||||
Lu | 0,05 | 0,08 | 0,03 | 0,05 | 0,48 | 0,06 | 0,10 | 0,14 | 0,07 | ||||||||||||||||||
Примечание. Анализы выполнены в ХИАЦ ИТИГ методом масс-спектрометрии с индуктивно-связанной плазмой на приборе ICP-MS Elan DRC II Perkin Elmer (США). Аналитики: Д.В. Авдеев, Л.С. Боковенко.
Таблица 3 Содержание редкоземельных элементов в марганцево-силикатных породах Широкопаднинской площади (Ольгинский рудный район), г/т
Элемент | Проба | |||||||||||||||||
Мт-81-5 | Мт-81-6 | Мт-81-9 | Мт-81-11 | М-81-17 | Р-80-100 | К-80-11 | К-83-21 | Ф-04-1б | Ш-86-62 | Ш-86-96 | Ф-04-3а | Ф-04-5а | Ф-80-2 | Ф-80-10 | Ф-80-10а | Ф-80-10в | Ш-80-12 | |
1 | 2 | 3 | 4 | 5 | 6 | 7 | 8 | 9 | 10 | 11 | 12 | 13 | 14 | 15 | 16 | 17 | 18 | |
La | 1,70 | 0,50 | 5,00 | 1,19 | 0,67 | 9,55 | 2,41 | 5,68 | 8,13 | 8,15 | 18,94 | 9,38 | 22,22 | 9,32 | 12,73 | 24,04 | 4,72 | 25,53 |
Ce | 4,51 | 2,16 | 4,00 | 2,92 | 2,44 | 24,82 | 5,48 | 3,30 | 17,76 | 16,92 | 44,53 | 22,07 | 38,77 | 31,35 | 28,21 | 62,32 | 3,63 | 37,56 |
Pr | 0,49 | 0,15 | 1,02 | 0,40 | 0,17 | 2,52 | 0,66 | 1,07 | 2,25 | 1,39 | 10,07 | 2,34 | 3,64 | 4,56 | 2,64 | 6,54 | 0,97 | 3,57 |
Nd | 2,27 | 0,64 | 3,33 | 1,97 | 1,30 | 10,30 | 3,35 | 4,40 | 9,53 | 5,75 | 19,17 | 9,68 | 11,61 | 23,17 | 9,46 | 28,26 | 4,45 | 11,54 |
Sm | 0,52 | 0,16 | 0,70 | 0,51 | 0,40 | 2,33 | 1,05 | 0,80 | 1,57 | 1,44 | 10,03 | 2,06 | 1,46 | 5,07 | 1,45 | 6,78 | 1,02 | 1,65 |
Eu | 0,10 | 0,07 | 0,11 | 0,10 | 0,19 | 0,78 | 0,42 | 0,91 | 0,43 | 0,40 | 7,96 | 0,48 | 0,58 | 0,72 | 0,40 | 1,67 | 1,52 | 0,34 |
Gd | 0,67 | 0,21 | 0,82 | 0,60 | 0,71 | 3,46 | 1,86 | 0,88 | 2,38 | 2,80 | 12,05 | 3,19 | 2,88 | 5,10 | 2,30 | 10,80 | 1,61 | 3,32 |
Tb | 0,08 | 0,03 | 0,12 | 0,08 | 0,11 | 0,48 | 0,29 | 0,11 | 0,26 | 0,37 | 8,20 | 0,37 | 0,20 | 0,43 | 0,17 | 1,49 | 0,24 | 0,30 |
Dy | 0,46 | 0,16 | 0,69 | 0,46 | 0,74 | 3,05 | 2,26 | 0,62 | 1,71 | 2,43 | 13,53 | 2,43 | 1,15 | 1,92 | 0,86 | 10,69 | 1,58 | 1,88 |
Ho | 0,09 | 0,03 | 0,14 | 0,09 | 0,16 | 0,61 | 0,51 | 0,12 | 0,35 | 0,47 | 9,03 | 0,54 | 0,24 | 0,28 | 0,15 | 2,34 | 0,33 | 0,40 |
Er | 0,26 | 0,08 | 0,40 | 0,24 | 0,49 | 1,69 | 1,47 | 0,32 | 0,93 | 1,27 | 11,80 | 1,62 | 0,73 | 0,67 | 0,43 | 6,67 | 0,94 | 1,10 |
Tm | 0,04 | 0,01 | 0,05 | 0,04 | 0,08 | 0,23 | 0,21 | 0,05 | 0,13 | 0,19 | 7,91 | 0,23 | 0,10 | 0,07 | 0,06 | 0,94 | 0,12 | 0,15 |
Yb | 0,35 | 0,08 | 0,34 | 0,27 | 0,54 | 1,45 | 1,34 | 0,28 | 0,80 | 1,42 | 10,91 | 1,44 | 0,61 | 0,46 | 0,42 | 6,25 | 0,80 | 0,93 |
Lu | 0,06 | 0,01 | 0,05 | 0,04 | 0,09 | 0,23 | 0,20 | 0,04 | 0,11 | 0,23 | 7,45 | 0,22 | 0,09 | 0,06 | 0,06 | 0,93 | 0,12 | 0,14 |
143Nd/144Nd | 0,512312 | 0,512385 | 0,512311 | |||||||||||||||
Err | 4 | 7 | 5 | |||||||||||||||
Примечание. Анализы выполнены в ХИАЦ ИТИГ методом масс-спектрометрии с индуктивно-связанной плазмой на приборе ICP-MS Elan DRC II Perkin Elmer (США). Аналитики: Д.В. Авдеев, Л.С.Боковенко.
Силикатно-магнетитовые руды отличаются тонко- и мелкокристаллической структурой и имеют тальк-магнетитовый (± хлорит) или манганактинолит-магнетитовый состав. Они содержат сингенетические включения касситерита, ильменита, титанита, шеелита, бадделеита, торианита, уранинита, куларита, барита, арсенидов и сульфоарсенидов Ni и Co, соединений Au, Ag, Pt и Pd и других минералов. Минералы REE представлены эндогенным монацитом-(Се) и экзогенными бастнезитом-(Се) и гидроксидом-(Се), рабдофаном-(Се) и рабдофаном-(La). Силикатно-магнетитовые руды содержат 49,26–91,37 мас. % (FeO + Fe2O3), обогащены Mn (до 0,82 мас. % MnO) и Sn (до 0,65 мас. % SnO2). Для них характерны более высокие нормированные содержания легких REE (табл. 4) относительно тяжелых, наличие Eu-минимумов и Gd-максимумов (см. рис. 2, г) в REE-спектрах. Некоторым спектрам свойственна положительная или отрицательная Ce-аномалия.
Таблица 4 Содержание редкоземельных элементов в силикатно-магнетитовых рудах Широкопаднинской площади, г/т
Элемент | Проба | |||||||||||
Мт-81-3 | Мт-81-12 | Ш-86-43 | Ш-86-81 | Ш-86-88 | Ш-86-89 | Ш-86-110 | Ш-86-111 | Ш-86-114 | Ш-86-116 | Ш-86-119 | Ш-86-120 | |
1 | 2 | 3 | 4 | 5 | 6 | 7 | 8 | 9 | 10 | 11 | 12 | |
La | 0,90 | 6,83 | 2,34 | 2,25 | 2,29 | 6,59 | 2,08 | 7,38 | 3,61 | 3,38 | 4,10 | 16,65 |
Ce | 4,16 | 13,52 | 9,12 | 3,07 | 4,05 | 11,87 | 7,99 | 11,16 | 6,54 | 13,86 | 3,32 | 11,31 |
Pr | 0,26 | 1,58 | 0,53 | 0,64 | 0,60 | 1,51 | 0,52 | 1,77 | 0,91 | 0,76 | 0,79 | 5,11 |
Nd | 0,93 | 6,42 | 2,16 | 3,28 | 2,61 | 6,23 | 2,06 | 7,57 | 3,68 | 3,22 | 2,53 | 21,23 |
Sm | 0,23 | 1,42 | 0,71 | 0,87 | 0,56 | 1,26 | 0,40 | 1,62 | 0,84 | 0,79 | 0,52 | 4,53 |
Eu | 0,08 | 0,54 | 0,22 | 0,24 | 0,12 | 0,24 | 0,08 | 0,22 | 0,13 | 0,23 | 0,09 | 0,51 |
Gd | 0,31 | 1,78 | 1,19 | 1,15 | 0,83 | 1,51 | 0,54 | 1,94 | 1,02 | 1,24 | 0,63 | 4,41 |
Tb | 0,04 | 0,25 | 0,20 | 0,19 | 0,10 | 0,20 | 0,07 | 0,23 | 0,14 | 0,19 | 0,10 | 0,63 |
Dy | 0,22 | 1,51 | 1,65 | 1,21 | 0,61 | 1,10 | 0,38 | 1,16 | 0,82 | 1,49 | 0,57 | 3,74 |
Ho | 0,04 | 0,30 | 0,39 | 0,23 | 0,12 | 0,19 | 0,07 | 0,20 | 0,16 | 0,36 | 0,11 | 0,79 |
Er | 0,11 | 0,80 | 1,04 | 0,63 | 0,32 | 0,49 | 0,23 | 0,50 | 0,46 | 0,97 | 0,29 | 2,38 |
Tm | 0,01 | 0,11 | 0,15 | 0,09 | 0,04 | 0,06 | 0,04 | 0,06 | 0,07 | 0,14 | 0,04 | 0,36 |
Yb | 0,10 | 0,69 | 1,02 | 0,55 | 0,24 | 0,39 | 0,36 | 0,38 | 0,51 | 0,93 | 0,21 | 2,31 |
Lu | 0,01 | 0,10 | 0,15 | 0,08 | 0,03 | 0,05 | 0,07 | 0,05 | 0,08 | 0,14 | 0,03 | 0,35 |
143Nd/144Nd | 0,512297 | 0,512367 | 0,512331 | |||||||||
Примечание. Анализы выполнены в ХИАЦ ИТИГ методом масс-спектрометрии с индуктивно-связанной плазмой на приборе ICP-MS Elan DRC II Perkin Elmer (США). Аналитики: Д.В. Авдеев, Л.С. Боковенко.
Обсуждение результатов исследований
В целом материалами предыдущих геологических и минералого-петрографических исследований было обосновано осадочное происхождение протолитов, в результате диагенеза и контактового метаморфизма которых в конечном итоге образовались марганцево-силикатные породы и силикатно-магнетитовые руды. Было показано сходство марганцевого оруденения триасовой кремневой формации Сихотэ-Алиня с пластовыми силикатно-карбонатными и силикатно-оксидно-карбонатными рудами многочисленных марганцевых месторождений Японии, локализованных в палеозойских и мезозойских формациях в пределах контактовых ореолов гранитоидных массивов. И в Сихотэ-Алине, и в Японии неметаморфизованными аналогами богатых Mn пород и руд с ассоциациями марганцевых силикатов являлись кремнисто-родохрозитовые образования. Другими примерами марганцевых образований с карбонатной, карбонатно-силикатной или оксидно-карбонатно-силикатной формой Mn, локализованных в кремневых формациях, являются карбонатно-марганцево-силикатные породы в верхнеюрских радиоляритах Альп [16], девонские оксидно-карбонатно-силикатные, оксидно-силикатные руды и марганцевые породы Урала [17]. Залежи марганцевых карбонатов в различных регионах планеты, как было отмечено С. Роем [18], формировались либо путем непосредственного осаждения из вод бассейна, либо путем отложения из иловых вод в ходе диагенетического перераспределения в обогащенных органическим веществом восстановленных осадках. Во многих случаях при последующем метаморфизме в залежах образовались марганцевые силикатно-карбонатные руды с графитом.
Залегание в радиоляритах, двухвалентная форма Mn и Fe и присутствие органического вещества в кремнисто-родохрозитовых породах [19] являются аргументами в пользу образования марганцево-силикатных пород (и, как можно полагать, силикатно-магнетитовых руд) триасовой кремневой формации Сихотэ-Алиня в результате диагенеза и метаморфизма обогащенных органическим веществом и гидроксидами Mn и Fe биогенных кремнистых илов. Этот вывод, базирующийся на результатах предыдущих геологических и минералого-петрографических исследований, косвенно свидетельствует в пользу хемогенно-биогенной природы исходных металлоносных осадков.
Металлоносные осадки и протолиты яшм триасовой кремневой формации Сихотэ-Алиня накапливались в прилегавших к островам акваториях в глубоководных условиях. Они представляли собой в разной степени обогащенные органикой и гидроксидами Mn и Fe биогенные кремнистые илы [2]. Гидроксиды поступали в виде коллоидов. Коллоидные растворы оксидов Mn и Fe содержали, в силу их сорбционных свойств, многие редкие металлы, которые высвобождались в результате экзогенного разрушения габброидов. Следствием этого являются, в частности, положительные корреляции концентраций редких металлов и содержаний Fe2O3, например в яшмах (рис. 3). Сорбционными свойствами, судя по повышенным содержаниям благородных и других редких металлов и присутствию их соединений в породах нижней (углеродистой) части триасовой кремневой формации [20, 21], обладало, очевидно, и органическое вещество. Во время средне-позднеюрской и позднеюрско-раннемеловой аккреций яшмы и прошедшие восстановительный диагенез металлоносные осадки в составе фрагментов триасовой кремневой формации были включены в Самаркинский и Таухинский террейны соответственно. При внедрении гранитоидных интрузий Хунгари-Татибинского плутонического (ранний мел) и Восточно-Сихотэ-Алинского вулкано-плутонического (поздний мел) поясов они претерпели контактовый метаморфизм.
Рис. 3. Положение точек триасовых яшм Широкопаднинской площади на диаграммах Fe2O3–Nd (a) и Fe2O3–Zn (б)
Отношения концентраций REE и изотопов Nd в морской воде, протолитах яшм и триасовых металлоносных осадках в момент осадконакопления (из-за хемогенно-биогенного происхождения этих образований) были одинаковы. Этим обстоятельством обусловлены общие особенности состава яшм, марганцево-силикатных пород и силикатно-магнетитовых руд, нашедшие отражение в их REE-спектрах (см. рис. 2) в виде возрастания нормированных (по хондритам) содержаний легких REE относительно тяжелых и наличия Eu-минимумов и Gd-максимумов.
На диаграмме Sm/Nd–Sm/Eu (рис. 4, а) точки этих пород и руд тяготеют к субгоризонтальному тренду I. Это обусловлено небольшими вариациями значения Sm/Nd, главным образом в пределах ~0,20–0,23, которое является близким к современному в морской воде (0,21) [23]. Точки таких же или близких по возрасту (юрских) кремней Таухинского террейна тоже тяготеют к тренду I (рис. 4, б). Для них характерен большой разброс при среднем Sm/Nd 0,217 и 0,186 соответственно. Разница связана с большим количеством терригенной примеси в юрских породах. Величина Sm/Nd уменьшается с увеличением содержания Al2O3 (рис. 4, в), т.е. количества глинистого и, вероятно, иного (терригенного) вещества, осаждавшегося из присутствовавшей в морской воде взвеси. Нулевому содержанию Al2O3 на тренде соответствует Sm/Nd около 0,21. Оно характеризует хемогенно-биогенную составляющую пород и соответствует современному значению в морской воде. Таким образом, Sm/Nd в морской воде в триасе и юре, как показано на примере триасовых и юрских кремней, силикатно-магнетитовых руд и марганцево-силикатных пород, было близким к современному. Этот вывод согласуется с литературными данными [23], указывающими на постоянство Sm/Nd в морской воде на протяжении длительного времени геологической истории.
Рис. 4. Положение точек триасовых яшм, юрских кремней и метаморфизованных металлоносных осадков Сихотэ-Алиня на диаграммах Sm/Nd–Sm/Eu и Sm/Nd–Al2O3. а – силикатно-магнетитовые руды (1) и яшмы (2) Широкопаднинской площади Таухинского террейна, марганцево-силикатные породы Горной площади Самаркинского террейна (3); б, в – кремнистые породы: триасовые горбушинского (4) и юрские эрдагоузского (5) комплексов (исходные данные заимствованы из [22]); а, б – пунктирная линия – тренд с Sm/Nd ~ 0,21; цифра I – его номер
Во многих REE-спектрах марганцево-силикатных пород Таухинского террейна наблюдаются особенности, обусловленные изменением первичных геохимических характеристик протолитов гидротермальными процессами. К ним относятся уменьшение Eu-минимума и Gd-максимума до их исчезновения или появления Eu-максимума и Sm-минимума либо значительное увеличение Eu-минимума и Gd-максимума. Из-за влияния гидротермальных процессов значительная часть точек марганцево-силикатных пород Таухинского террейна на диаграмме Sm/Nd–Sm/Eu смещена выше или ниже тренда I. Однако среднее Sm/Nd в этих породах составляет 0,228, т.е. тоже является близким к таковому в марганцево-силикатных породах Самаркинского и силикатно-магнетитовых рудах Таухинского террейнов (см. рис. 4, а), а также к современному в морской воде. Следовательно, Sm/Nd в этом случае тоже определялось морской водой, а влияние гидротермальных процессов во время метаморфизма заключалось лишь в локальном пространственном перераспределении REE при преобразовании пластовых тел кремнисто-родохрозитовых пород (в зонах повышенной трещиноватости) в жильно-прожилковые системы, сложенные силикатами Mn.
Для некоторых спектров яшм и метаморфизованных металлоносных осадков Таухинского террейна характерна положительная или отрицательная Ce-аномалия, связанная с экзогенными процессами перераспределения REE. Присутствие положительной Се-аномалии примерно одинаковой амплитуды почти во всех спектрах марганцево-силикатных пород Самаркинского террейна (см. рис. 2, б) обусловлено особенностями фациальных условий осадконакопления, определявшимися более близким положением относительно окраины Ханкайского массива.
На диаграмме 143Nd/144Nd–Sm/Nd (рис. 5) точки марганцево-силикатных пород и силикатно-магнетитовых руд образуют общий тренд.
Рис. 5. Положение точек изученных пород на диаграмме 143Nd /144Nd – Sm/Nd. 1 – хондриты; 2–4 – Таухинский террейн: силикатно-магнетитовые руды (2) и марганцево-силикатные породы (3), Самаркинский террейн: марганцево-силикатные породы (4). В кружках: мантийный источник – деплетированная (DM) и примитивная (PM) мантии. Сплошной линией на рисунке показан тренд метаморфизованных триасовых металлоносных осадков, пунктирными (для сравнения) – изохроны производных РМ, рассчитанные для 66,4 млн (граница мела и палеогена), 235 млн (граница анизия и ладина) и 374 млн лет (граница среднего и позднего девона)
Большинство точек приурочено к средней части тренда с относительно небольшими пределами изменения Sm/Nd (~0,21–0,26), что связано с отмеченной выше тенденцией к выравниванию этого отношения в металлоносных осадках под влиянием морской воды. Вариации современного значения 143Nd/144Nd в морской воде очень велики, но с возрастанием глубины ƐNd(Т) стремится к постоянной величине [24]. Особенно характерна эта тенденция для Тихого океана. В метаморфизованных триасовых металлоносных осадках почти постоянным является не только Sm/Nd, но и 143Nd/144Nd (см. рис. 5), которое в момент осадконакопления составляло ~0,512100 (определено графическим способом) и тоже соответствовало значениям в морской воде. Положение тренда марганцево-силикатных пород и силикатно-магнетитовых руд соответствует современному положению изохроны морской воды в координатах 143Nd/144Nd–Sm/Nd, «запечатленной» в триасовых хемогенно-биогенных осадках. Расположение точек на общей изохроне (или вблизи нее) указывает на относительное постоянство значений 143Nd/144Nd в морской воде (по крайней мере, в глубоководной части осадочного бассейна) и некоторую ее неоднородность (в целом небольшую) по Sm/Nd во время осадконакопления. Наклон тренда соответствует наклону изохроны пород с источником PM (BSE) и возрастом 235 млн лет (граница анизия и ладина) (см. рис. 5), т.е. согласуется с возрастом триасовых яшм и метаморфизованных металлоносных осадков Сихотэ-Алиня.
Заключение
Изотопные и геохимические особенности метаморфизованных триасовых металлоносных осадков свидетельствуют об их хемогенно-биогенном происхождении.
Отношения концентраций REE и изотопов Nd в морской воде, протолитах яшм и триасовых металлоносных осадках из-за хемогенно-биогенного происхождения этих образований в момент осадконакопления были одинаковы. Этим обстоятельством обусловлены общие особенности состава яшм, марганцево-силикатных пород и силикатно-магнетитовых руд, нашедшие отражение в их REE-спектрах, возрастании нормированных (по хондритам) содержаний легких REE относительно тяжелых, наличии Eu-минимумов и Gd-максимумов.
Значение Sm/Nd в силикатно-магнетитовых рудах и марганцево-силикатных породах Сихотэ-Алиня является близким к современному значению (0,21) в морской воде. Этот факт согласуется с представлениями о хемогенно-биогенной природе их протолитов и с литературными данными, указывающими на постоянство Sm/Nd в морской воде на протяжении длительного времени геологической истории.
Расположение точек марганцево-силикатных пород и силикатно-магнетитовых руд на общей изохроне в координатах 143Nd/144Nd–Sm/Nd возможно только в случае хемогенно-биогенной природы их протолитов. Оно требует одинакового значения 143Nd/144Nd в исходных осадках (резко различавшихся по составу и географическому положению), что возможно только в результате влияния морской воды. Наклон изохроны соответствует наклону изохроны пород с источником PM (BSE) и возрастом 235 млн лет (граница анизия и ладина), т.е. согласуется с возрастом триасовых яшм и метаморфизованных металлоносных осадков Сихотэ-Алиня.
В протолитах метаморфизованных триасовых металлоносных осадков величина 143Nd/144Nd составляла ~0,512100 и соответствовала значению в морской воде в момент осадконакопления.
Приведенные в статье современные значения Sm/Nd и 143Nd/144Nd для морской воды триасово-юрского времени, полученные по результатам изучения кремнистых и марганцево-силикатных пород, а также силикатно-магнетитовых руд, могут быть использованы для решения других геологических проблем Сихотэ-Алиня.
Об авторах
Елена Валериевна Перевозникова
Дальневосточный геологический институт ДВО РАН
Автор, ответственный за переписку.
Email: elenavalper@yandex.ru
ORCID iD: 0000-0003-4805-3833
кандидат геолого-минералогических наук, старший научный сотрудник
Россия, ВладивостокВалентин Тимофеевич Казаченко
Дальневосточный геологический институт ДВО РАН
Email: vkazachenko@mail.ru
ORCID iD: 0000-0002-5331-499X
доктор геолого-минералогических наук, главный научный сотрудник
Россия, ВладивостокСписок литературы
- Волохин Ю. Г., Карабцов А. А., Устинов А. Ю. Марганцевая минерализация в мезозойских кремнистых отложениях Центрального Сихотэ-Алиня и Наданьхада-Алиня // Тихоокеанская геология. 2019. Т. 38, № 1. С. 32–52.
- Казаченко В. Т. Петрология и минералогия гидротермальных марганцевых пород Востока России. Владивосток: Дальнаука, 2002. 250 с.
- Frank M. Radiogenic isotopes: tracers of past ocean circulation and erosional input // Reviews of Geophysics. 2002. Vol. 40, N1. P. 1–38.
- Veizer J., Ala D., Azmy K., Bruckschen P., Buhl D., Bruhn F., Carden G. A.F, Diener A., Ebneth S., Godderis Y., Jasper T., Korte Ch., Pawellek F., Podlaha O. G., Strauss H. 87Sr/86Sr, δ 13C and δ 18O evolution of Phanerozoic seawater // Chemical Geology. 1999. Vol. 161. P. 59–88.
- Staudigel H., Doyle P., Zindler A. Sr and Nd systematic of fish teeth // Earth Planet. Sci. Lett. 1985. Vol. 76. P. 45–56.
- Shaw H. F., Wasserburg G. J. Sm-Nd in marine carbonates and phosphates: Implications for Nd isotopes in seawater and crustal ages // Geochim. Cosmochim. Acta. 1985. Vol. 49. P. 503–518.
- Paytan A., Kastner M., Martin E. E., Macdougall J. D., Herbert T. Marine barite as a monitor of seawater strontium isotope composition // Nature. 1993. Vol. 366. P. 445–449.
- Кузнецов А. Б., Семихатов М. А., Горохов И. М. Стронциевая изотопная хемостратиграфия: основы метода и его современное состояние // Стратиграфия. Геол. корреляция. 2018. Т. 26, № 4. С. 3–23.
- Горохов И. М., Кузнецов А. Б., Константинова Г. В., Липенков Г. В., Дубинина Е. О., Бигун И. В. Карбонатные породы пограничных рифей-вендских отложений Анабарского поднятия: изотопная (87Sr/86Sr, δ13C, δ18O) систематика и хемостратиграфические следствия // Доклады РАН. 2018. Т. 482, № 4. С. 434–438.
- Кочнев Б. Б., Покровский Б. Г., Кузнецов А. Б., Марусин В. В. C- и Sr-хемостратиграфия карбонатных отложений венда-нижнего кембрия центральных районов Сибирской платформы // Геология и геофизика. 2018. Т. 59, № 6. С. 731–755.
- Maccalia J., Hillaire-Marcela C., Not C. Radiogenic isotope (Nd, Pb, Sr) signatures of surface and sea ice-transported sediments from the Arctic Ocean under the present interglacial conditions // Polar Research. 2018. Vol. 37(1). 1442982.
- Волохин Ю. Г., Михайлик Е. В., Бурий Г. И. Триасовая кремневая формация Сихотэ-Алиня. Владивосток: Дальнаука, 2003. 252 с.
- Геодинамика, магматизм и металлогения Востока России. Кн. 1 / под ред. А.И. Ханчука. Владивосток: Дальнаука, 2006. 572 c.
- Казаченко В. Т., Перевозникова Е. В., Лаврик С. Н. Геохимические и изотопные «метки» древних габброидов в триасовых метаморфизованных металлоносных осадках, скарнах и рудах скарновых месторождений Сихотэ-Алиня // Вестн. Кольского НЦ РАН. 2016. № 4. C. 16–36.
- Казаченко В. Т., Перевозникова Е. В. Состав и генезис акцессорной минерализации в марганцево-силикатных породах триасовой кремневой формации Сихотэ-Алиня // Геология и геофизика. 2019. Т. 60, № 6. С. 807–819.
- Peters Tj., Trommsdorff V., Sommerauer J. Manganese pyroxenoides and carbonates: Critical phase relations in metamorphic assemblages from the Alps // Contrib. Mineral. Petrol. 1978. Vol. 66. P. 383–388.
- Брусницын А. И. Минералогия марганцевоносных осадков Южного Урала. СПб.: СПб. гос. ун-т, 2013. 160 с.
- Рой С. Месторождения марганца. М.: Мир, 1986. 520 с.
- Казаченко В. Т., Перевозникова Е. В. Кремнисто-родохрозитовые породы Сихотэ-Алиня // Вестн. ДВО РАН. 2023. № 4 (230). С. 108–127.
- Волохин Ю. Г., Иванов В. В. Геохимия и металлоносность углеродистых силицитов триаса Сихотэ-Алиня // Литология и полезные ископаемые. 2007. № 4. C. 406–425.
- Волохин Ю. Г., Карабцов А. А. Минералы в углеродистых силицитах триаса Сихотэ-Алиня // Литология и полезные ископаемые. 2016. № 5. С. 465–484.
- Кемкин И. В. Фациальные обстановки образования кремниевых пород Таухинского террейна Сихотэ-Алиня (по геохимическим данным) // Вестник ВГУ. Серия: Геология. 2019. № 2. С. 48–60.
- Faure G. Principles of Isotope Geology. New York: John Wiley & Sons, 1986. 520 р.
- Lacan F., Tachikawa K., Jeandel C. Neodymium isotopic composition of the oceans: A compilation of seawater data // Chemical Geology. 2012. Vol. 300–301. P. 177–184.
Дополнительные файлы








