Гидрохимические особенности реки Тузлов как индикатор последствий хозяйственной деятельности в Восточном Донбассе (Ростовская область)
- Авторы: Сазонов А.Д.1,2, Закруткин В.Е.2
-
Учреждения:
- Гидрохимический институт Росгидромета
- Южный федеральный университет, Институт наук о Земле
- Выпуск: № 1 (2024)
- Страницы: 73-82
- Раздел: ЗАГРЯЗНЕНИЕ ПРИРОДНОЙ СРЕДЫ
- URL: https://journal-vniispk.ru/0869-7809/article/view/260048
- DOI: https://doi.org/10.31857/S0869780924010084
- EDN: https://elibrary.ru/GNRELZ
- ID: 260048
Цитировать
Полный текст
Аннотация
В статье рассмотрены экологические проблемы территории Восточного Донбасса — крупной природно-техногенной аномалии на Юге России. В качестве индикатора последствий хозяйственной деятельности на данной территории послужила р. Тузлов. В частности, в ходе исследования была изучена пространственно-временная изменчивость переноса растворенных веществ, химического состава и качества воды реки за период 2003–2019 гг. Исследование проведено на основе данных государственной наблюдательной сети Росгидромета. Полученные результаты по транзиту растворенных веществ в верхней части бассейна показали увеличение переноса главных ионов и, напротив, убывающую тенденцию переноса соединений меди, цинка и фосфора фосфатов. В среднем течении реки продолжалось возрастание содержания главных ионов, а также зафиксировано резкое увеличение концентрации фосфора фосфатов. Ниже г. Новочеркасск — на замыкающем створе гидрохимических наблюдений — в наибольшей степени повысилось содержание фосфора фосфатов, соединений меди и цинка. Качество воды на протяжении рассматриваемого периода оставалось на уровне 4 класса (“грязная”). Исходя из полученных результатов, сделаны выводы о ведущей роли угледобывающей деятельности в увеличении содержания в воде главных ионов (прежде всего, за счет сульфат-ионов) и соединений железа общего. В то же время сельскохозяйственная деятельность на водосборе приводит к сокращению содержания в воде соединений меди, цинка и фосфора фосфатов. Однако в воде р. Тузлов, протекающей на наиболее урбанизированном участке, значительно увеличивалось содержание данных компонентов в воде.
Ключевые слова
Полный текст
ВВЕДЕНИЕ
Восточный Донбасс — крупная природно-техногенная геохимическая провинция на Юге России. На протяжении десятков лет здесь велась угледобыча, что не могло не оставить серьезных последствий для окружающей среды. Реструктуризация большинства угольных шахт Ростовской обл. в 1990-е годы только усилила проявление неблагоприятных явлений, что подтверждается многочисленными исследованиями [4]. При этом наиболее высокую антропогенную нагрузку испытывают поверхностные и подземные воды. Под влиянием угледобывающей деятельности изменяется не только химический состав вод, но и характер питания рек. В частности, происходит усиление роли подземного питания. Поверхностные и подземные воды становятся близки по своему химическому составу и теряют свою пригодность для хозяйственных и питьевых нужд.
Изучение происходящих на подобных территориях процессов требует детального рассмотрения изменчивости параметров отдельных объектов окружающей среды. В первую очередь, речь идет о речных системах, особенно малых и средних рек, которые являются важными индикаторами эколого-геохимических процессов на обширных водосборных площадях. В качестве такого объекта выступает бассейн р. Тузлов, расположенный на территории Восточного Донбасса и испытывающий колоссальную нагрузку, как от последствий угледобывающих предприятий, так и в результате интенсивной сельскохозяйственной деятельности на водосборе [7, 13].
Тузлов — река степной зоны Юга России, протекающая в юго-западной части Ростовской обл. в пределах Приазовской природно-сельскохозяйственной зоны. Ее длина составляет 182 км, а площадь водосборного бассейна достигает 4680 км2. Река берет начало на южном склоне Донецкого кряжа и впадает в Проток Аксай — приток р. Дон в ее нижнем течении (рис. 1). Бассейн реки асимметричен и представлен левобережными притоками: реки Крепкая, Большой Несветай, Грушевка, Кадамовка и др. [9].
Рис. 1. Схема бассейна р. Тузлов.
Бассейн р. Тузлов расположен в Шахтинском и Новошахтинском углепромышленных районах Восточного Донбасса. В результате затопления нерентабельных шахт трансформировался гидролого-гидрохимический режим реки [3, 4]. Как видно из табл. 1 в течение последних десятилетий поступление шахтных вод и некоторых растворенных в них веществ увеличивалось.
Таблица 1. Объем поступления шахтных вод (W) и растворенных химических веществ (DC) в Восточном Донбассе [3]
Год | W, млн м3/год | DC, тыс. т в год | ||||
SO4 | Cl | Ca | Mg | Fe | ||
1966 | 75 | 131 | 34 | 7.3 | 16 | 0.1 |
1992 | 90 | 155 | 63 | 18 | 13 | 0.3 |
1999 | 45 | 66 | 17 | 7 | 6 | 0.3 |
2002 | 72 | 170 | 32 | 16 | 18 | 3.3 |
2006 | 73 | 204 | 23 | 22 | 19 | 6.0 |
2010 | 78 | 211 | 33 | 28 | 20 | 2.7 |
2015 | 79 | 222 | 27 | 23 | 21 | 2.7 |
Сельскохозяйственная деятельность, осуществляемая на водосборе Тузлова, в наибольшей степени проявлена в преобразовании почвенного покрова. Большая часть речного бассейна занята пашнями. Нарушение естественных приповерхностных почвенных горизонтов приводит к деградации процессов естественной инфильтрации, возрастанию интенсивности водной и ветровой эрозии, в результате чего может происходить обмеление рек бассейна.
В целом можно заключить, что бассейн р. Тузлов испытывает мощное антропогенное воздействие, которое не могло не сказаться на высоком уровне загрязненности речных вод [6, 10].
Цель исследования заключалась в рассмотрении пространственно-временной изменчивости переноса химических веществ, химического состава и качества воды в бассейне р. Тузлов в качестве индикатора антропогенного воздействия на территорию Восточного Донбасса.
МАТЕРИАЛЫ И МЕТОДЫ ИССЛЕДОВАНИЯ
В ходе проведения исследования были использованы гидрохимические данные, полученные с пунктов наблюдений, расположенных поблизости от с. Несветай и г. Новочеркасск (выше и ниже города). Материалами настоящего исследования послужили первичная гидрохимическая информация государственной наблюдательной сети Росгидромета, а также гидрологическая информация из Автоматизированной информационной системы государственного мониторинга водных объектов и базы данных водного режима рек Европейской территории России.
Был проведен расчет поверхностного гидрохимического стока (за 2003–2019 гг.) в пункте наблюдений с. Несветай для следующих химических компонентов: главных ионов (по сумме), биогенных элементов (кремния, фосфора фосфатов, аммонийного и нитритного азота), металлов (соединений железа общего, цинка и меди). Расчет переноса растворенных веществ проводился по данным пункта наблюдений с. Несветай прямым способом по формуле [15]:
G = ∑WiCi, (1)
где G — количество перенесенного вещества за расчетный период, т или тыс. т; m — число интервалов расчетного периода; Wi — объем стока воды за i-й интервал расчетного периода, км3; Ci — средняя концентрация вещества за i-й интервал расчетного периода, мг/дм3. При расчете нормативного стока Ci — предельно допустимая концентрация определяемого компонента, мг/дм3 [12].
Для химических компонентов с четко выраженными тенденциями переноса рассмотрена многолетняя пространственно-временная изменчивость их концентрации в воде. Также проведена комплексная оценка степени загрязненности воды реки по гидрохимическим показателям для пунктов наблюдений по общепринятому методу [14]. Проведен сравнительный анализ полученных результатов на основе временной и пространственной изменчивости показателя удельного комбинаторного индекса загрязненности воды (УКИЗВ) [14].
РЕЗУЛЬТАТЫ И ИХ ОБСУЖДЕНИЕ
Перенос растворенных веществ в верхнем участке бассейна Тузлова, как видно на рис. 2, в случае главных ионов (по сумме) в значительной степени зависел от водности реки. В периоды резкого его увеличения/снижения наблюдалось аналогичное изменение их переноса. Прослеживалось превышение нормативного переноса, что, прежде всего, связано с высоким содержанием в воде реки сульфатов, многократно превышающих уровень ПДК.
Рис. 2. Динамика переноса главных ионов (по сумме).
Высокое содержание сульфатов в воде р. Тузлов обусловлено их поступлением с техногенными шахтными водами, дренирующими угленосные отложения, в которых широко распространены сульфидные соединения. В результате их окисления образуются сульфаты, которыми обогащены как техногенные шахтные, так и поверхностные воды бассейна. Многолетними наблюдениями подтверждается увеличение выноса на поверхность сульфатов с шахтными водами в пределах Восточного Донбасса (см. табл. 1) [3, 11].
При рассмотрении временной изменчивости концентрации большинства главных ионов заметно, что их содержание в воде реки несоразмерно изменениям водного стока (табл. 2). В целом для большинства главных ионов было характерно увеличение их содержания в воде.
Таблица 2. Изменение средних значений объемов годового водного стока (W) и содержания главных ионов (I) в р. Тузлов (с. Несветай)
Период | W, км3 | I, мг/дм3 | ||||||
Катионы | Анионы | Σ I | ||||||
Ca | Mg | Na+K | HCO3 | SO4 | Cl | |||
1953–1957 (условный фоновый период) | 0.077 | 136.4 | 87.72 | 255.6 | 332.3 | 613.2 | 228.8 | 1645 |
2005–2009 | 0.076* +1.3% | 150.7 +11% | 112.3 +28% | – | 250.2 –24% | 1052 +71% | 265.9 +16% | 2236 +36% |
2010–2014 | 0.066 –14% | 184.0 +34% | 129.7 +48% | – | 270.2 –19% | 1360 +121% | 329.9 +44% | 2788 +55% |
2015–2019 | 0.075 –2.5% | 222.8 +63% | 128.9 +47% | 550 +115% | 306.9 –8% | 1088 +77% | 572.5 +150% | 2869 +74% |
* В числителе — содержание компонента, в знаменателе — превышение содержания компонента относительно условного фонового периода
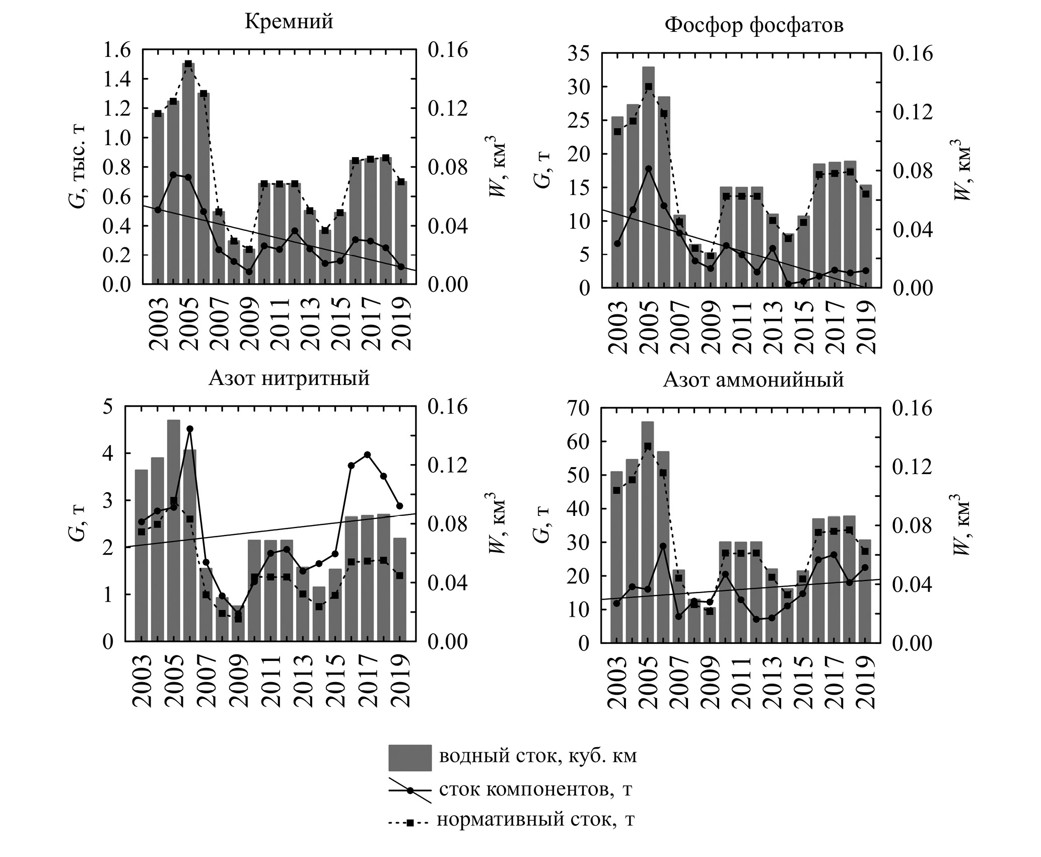
Наряду с переносом главных ионов, большой интерес представляет перенос биогенных веществ так они во многом определяют биологическую продуктивность и рыбохозяйственную значимость водных объектов. Временная изменчивость переноса соединений кремния заметно зависела от водности реки, и за весь наблюдаемый период перенос данного компонента не превышал норму (рис. 3).
Рис. 3. Динамика стока биогенных веществ.
Превышений нормативного переноса фосфора фосфатов не наблюдалось (см. рис. 3). Хронологическая изменчивость переноса данного компонента характеризуется отрицательным трендом. Настоящая тенденция объясняется агроистощением почв. По данным [1], в пахотном слое в пределах Приазовской природно-сельскохозяйственной зоны Ростовской области резко сократилось содержание подвижного фосфора в период с 2007 по 2013 г. (рис. 4). Это могло стать ведущим фактором снижения содержания фосфора фосфатного, так как поступление данного компонента в реки происходит преимущественно с поверхностным стоком. По-видимому, это связано с отчуждением фосфора из почвы сельскохозяйственными культурами, которые занимают большую часть водосбора. Аналогичные процессы сокращения содержания фосфора в почвах и, соответственно, в речных системах отмечаются во многих регионах мира, происходят масштабные трансформации его биогеохимического цикла [19, 20].
Рис. 4. Динамика содержания подвижного фосфора в пахотном слое почв в природно-сельскохозяйственных зонах Ростовской обл. [1, с изменениями].
Особенности изменчивости стока нитритной и аммонийной форм азота. Сток азота аммонийного характеризовался незначительным положительным трендом. В то же время как сток азота нитритного превышал условную норму и характеризовался довольно большим размахом среднегодовых значений концентрации (см. рис. 3). При сравнении изменчивости переноса этих минеральных форм азота с водным стоком можно отметить, что перенос азота нитритного характеризовался более заметной связью с водностью. В воде Тузлова наибольшее содержание нитритов наблюдалось во второй половине летнего периода, что, прежде всего, связано с высокой активностью фитопланктона.
Соединения металлов, в частности железа, меди и цинка, несмотря на сравнительно невысокие их концентрации в воде водных объектов, играют важную роль в метаболических процессах гидробионтов и функционировании речных экосистем. Перенос соединений железа общего характеризовался неустойчивостью: его зависимость от водности не была постоянной в течение рассматриваемого периода. Резкое увеличение переноса данного компонента в 2014 и 2015 г. вплоть до стремительного снижения в 2019 г. вызвано преимущественно возрастанием его концентрации в воде (рис. 5). Даже в условно многоводный период (2003–2006 гг.) перенос был заметно ниже.
Рис. 5. Динамика переноса соединений металлов.
Наблюдаемое явление, прежде всего, обусловлено антропогенными факторами, ведущая роль природных источников в таком резком увеличении и последующем сокращении переноса соединений железа общего исчезающе мала. Вероятнее всего, увеличение содержания данного компонента в воде связано с его выносом с техногенными шахтными водами.
Зависимость переноса от водности реки была незначительной также для соединений меди и цинка (см. рис. 5). Резкое сокращение переноса было характерно для обоих микроэлементов и в последние годы едва достигало пределов определения используемых методик химического анализа. Уменьшение содержания в воде соединений меди и цинка отмечается и на территории других близкорасположенных бассейнов рек: Миус, Егорлык, Западный Маныч и Сал. Также ранее отмечено довольно низкое содержание относительно фона подвижных форм меди в донных отложениях и поверхностных горизонтах пахотных почв районов, расположенных на территории бассейна Тузлова [2, 16–18]. Как известно, данные соединения поступают в водные объекты преимущественно с поверхностным стоком [5]. Роль диффузного (площадного) поступления соединений меди и цинка является превалирующей. В ранее проведенных исследованиях было показано, что для этих металлов характерна высокая степень биологической миграции в пределах Ростовской области, что приводит к их интенсивному отчуждению из почвы сельскохозяйственными культурами (табл. 3).
Таблица 3. Коэффициенты биологического поглощения (КБП) сельскохозяйственными культурами Cu и Zn в Ростовской области [8]
Культура | Химический элемент | |
Cu | Zn | |
Озимая пшеница | 7.53 | 12.4 |
Ячмень | 3.83 | 7.53 |
Рожь | 3.54 | 8.53 |
Горох | 6.87 | 12.4 |
Люцерна | 3.16 | 3.53 |
Суданская трава | 3.33 | 3.70 |
Эспарцет | 2.96 | 4.20 |
Примечание. КБП > 1 свидетельствует о сильном биологическом накоплении химических элементов.
Большие площади посевов сельскохозяйственных культур на водосборе Тузлова создают нестабильность почвенно-геохимической обстановки, в результате чего происходит обеднение почв данными компонентами.
Таким образом, в верхней части бассейна Тузлова под влиянием хозяйственной деятельности увеличился перенос главных ионов (по сумме), а также возросла доля сульфат-ионов в структуре стока. Сокращался сток фосфатов, соединений меди и цинка, что, прежде всего, вызвано отрицательным балансом данных компонентов в почвенном покрове. Перенос соединений железа общего был неустойчив и, вероятно, в наибольшей степени зависел от поступления с шахтными водами. В целом, несмотря на относительно невысокий уровень урбанизации верхней части бассейна р. Тузлов, отмечено воздействие хозяйственной деятельности на характер временной изменчивости переноса отдельных растворенных веществ.
Однако антропогенная нагрузка на водосборе Тузлова распределена неравномерно. Вниз по течению увеличивается интенсивность воздействия уже вышеописанных факторов, резко возрастает роль урбанизированных ландшафтов и наиболее крупных притоков. Суммарное население крупных городов Шахты, Новашахтинск и Новочеркасск составляет более полумиллиона человек, что обусловливает большие объемы водопотребления и, соответственно, водоотведения сточных вод.
В этой связи верхний участок бассейна Тузлова — пункт наблюдений с. Несветай — можно считать условно фоновым, так как сравнительно с нижележащей частью бассейна на него оказывается небольшая антропогенная нагрузка.
Проследить перенос растворенных веществ в нижней части бассейна реки не представлялось возможным по причине отсутствия наблюдений за расходами воды. Тем не менее можно рассмотреть изменчивость химического состава воды, которая представлена в табл. 4.
Таблица 4. Пространственно-временная изменчивость концентрации растворенных в воде веществ в бассейне реки Тузлов (точки наблюдений: 1 — с. Несветай, 2 — выше г. Новочеркасск, 3 — ниже г. Новочеркасск)
Период | 2000–2004 | 2005–2009 | 2010–2014 | 2015–2019 | ||||||||
Компонент | 1 | 2 | 3 | 1 | 2 | 3 | 1 | 2 | 3 | 1 | 2 | 3 |
Главные ионы (по сумме), мг/дм | 2067 | 2324 | 2415 | 2236 | 2542 | 2730 | 2787 | 3120 | 3252 | 2869 | 2682 | 2777 |
Сульфаты, мг/дм | 895 | 1113 | 1132 | 1052 | 1250 | 1358 | 1360 | 1521 | 1511 | 1088 | 929 | 912 |
Соединения железа, мг/дм | 0.165 | 0.218 | 0.275 | 0.140 | 0.220 | 0.208 | 0.123 | 0.171 | 0.185 | 0.388 | 0.336 | 0.364 |
Фосфор фосфатов, мг/дм | 0.065 | 0.068 | 0.05 | 0.131 | 0.280 | 0.301 | 0.066 | 0.115 | 0.151 | 0.027 | 0.075 | 0.127 |
Соединения меди, мкг/дм | 2.5 | 2.0 | 2.5 | 2.21 | 0.958 | 1.83 | 1.76 | 1.27 | 2.13 | 0.260 | 0.200 | 0.650 |
Соединения цинка, мкг/дм | 4.66 | 3.84 | 4.67 | 3.82 | 3.17 | 4.12 | 4.00 | 3.23 | 5.26 | 1.38 | 1.62 | 1.96 |
При оценке изменчивости содержания веществ в отдельном пункте наблюдений условно фоновым будет тот пункт, что находится выше по течению реки.
Сравнение гидрохимических данных в пунктах наблюдений с. Несветай и г. Новочеркасск (выше города) позволяет оценить вклад наиболее крупных притоков Тузлова в загрязнение воды на данном участке, протяженность которого составляет порядка 58 км. Обобщенные данные о пространственной изменчивости химического состава воды в этой части бассейна свидетельствуют о том, что за период 2000–2014 гг. вниз по течению реки происходило увеличение концентрации в воде суммы главных ионов (12–14%), сульфатов (12–24%) и соединений железа общего (32–57%). В 2015–2019 гг., напротив, наблюдалось сокращение содержания данных веществ (7–15%). Это может быть связано с уменьшением поступления этих компонентов с водами притоков Тузлова. Содержание фосфора фосфатов вниз по течению увеличивалось в наибольшей степени (74–177%) в 2005–2019 гг.
Обратная ситуация характерна для соединений меди — снижение концентрации (20–56%), соединений цинка — преимущественно снижение концентрации на 17–20%, которое стабилизировалось в 2015–2019 гг в результате увеличения содержания на 17% в сравнении с пунктом в с. Несветай.
Несмотря на то, что на данном участке проявляются все вышеперечисленные антропогенные факторы, роль шахтных вод совершенно очевидна, что подтверждается весьма симбатными геохимическими спектрами техногенных шахтных и речных вод в пределах бассейна (рис. 6).
Рис. 6. Геохимические спектры воды рек и шахтных вод бассейна Тузлова (“куст” — скопление объектов угледобывающей промышленности) [4].
Несмотря на высокое антропогенное давление, которое значительно усиливается ниже по течению, сокращение концентрации соединений меди и цинка сохраняется, что может говорить о низком содержании данных металлов в компонентах ландшафта. Концентрация фосфора фосфатов, напротив, возрастает, что, по всей видимости, обусловлено поступлением его в речную сеть со сточными водами городов и других населенных пунктов.
Рассмотрим воздействие крупного города на химический состав воды р. Тузлов. Сравнивая данные створов гидрохимических наблюдений выше и ниже г. Новорчеркасск можно выделить, прежде всего, воздействие неконтролируемого поверхностного склонового стока с урбанизированной территории водосбора и сточных вод. Роль других факторов будет в данном случае малозначительной.
Наименьшее разнонаправленное воздействие городской среды отмечается для пространственной изменчивости содержания в воде главных ионов (по сумме) и сульфатов (до 9%). Значительное увеличение содержания соединений железа общего в воде (+26%) между створами наблюдалось в 2000–2004 гг., но потом резко сократилось в 2005–2019 гг. до 5–8%, сохранив разнонаправленный характер.
В значительной степени на урбанизированном участке реки увеличилось содержание фосфора фосфатов (до 69%), соединений цинка (до 63%) и меди (до 225%). Наибольшие отличия концентрации данных компонентов между двумя створами отмечались в 2005–2019 гг.
Опираясь на представленные данные, можно сказать, что в поступлении в речную сеть соединений железа общего и главных ионов наибольшая роль принадлежит, соответственно, загрязненным шахтным водам и поверхностному стоку с территории водосбора. Напротив, сточные воды г. Новорчеркасск сильно увеличивают содержание в воде фосфора фосфатов, соединений меди и цинка, компенсируя тем самым тренд сокращения их содержания в вышележащей части бассейна.
Воздействие сбрасываемых сточных вод в бассейн р. Тузлов может иметь неоднозначные последствия. Водообеспечение многих городов и населенных пунктов, расположенных в пределах бассейна, происходит из р. Дон. В речную сеть бассейна Тузлова сбрасываются сточные воды, забранные из другой реки, в результате чего происходит смешение вод разного химического состава. В связи с этим концентрация некоторых компонентов в бассейне Тузлова будет изменяться разнонаправленно.
В ходе исследования также было рассмотрено качество воды реки по соответствующим пунктам гидрохимических наблюдений (табл. 5).
Таблица 5. Пространственно-временная изменчивость качества воды в бассейне р. Тузлов
Период | с. Несветай | г. Новочеркасск (выше города) | г. Новочеркасск (ниже города) | ||||||
УКИЗВ | Класс | КПЗ | УКИЗВ | Класс | КПЗ | УКИЗВ | Класс | КПЗ | |
2000–2004 | 4.15 | 4А | SO4 | 4.01 | 4А | SO4 | 4.69 | 4А | – |
2005–2009 | 5.64 | 4Б | SO4 | 5.48 | 4Б | SO4 | 5.66 | 4Б | SO4; NO2 |
2010–2014 | 5.46 | 4Б | SO4 | 5.86 | 4Б | SO4 | 6.14 | 4Б | SO4 |
2015–2019 | 5.42 | 4Б | SO4 | 5.01 | 4А | SO4 | 5.63 | 4Б | SO4 |
Примечания. УКИЗВ — удельный комбинаторный индекс загрязненности воды. КПЗ — критический показатель загрязненности.
Как и следовало ожидать, в пункте наблюдений с. Несветай загрязненность воды будет меньше в сравнении теми, что расположены ниже по течению. Стабильно критическим показателем загрязненности являются сульфаты, характеризующиеся наибольшей кратностью превышения ПДК со 100%-й повторяемостью. В целом необходимо отметить, что, несмотря на некоторую пространственно-временную изменчивость, качество воды бассейна сохраняется на уровне 4 класса (степень загрязненности воды — “грязная”).
Результаты ранее проведенных исследований [4] показывают, что УКИЗВ шахтных вод примерно в 2 раза выше, чем поверхностных в бассейне Тузлова (степень загрязненности воды — “экстремально-грязная”). Кроме сульфатов, соединения железа общего характеризовались КПЗ. Из этого можно сделать вывод, что даже небольшое количество загрязненных шахтных вод способно в значительной степени ухудшить качество поверхностных вод в речной сети Тузлова.
Рассмотрение пространственно-временной изменчивости качества воды в бассейне Тузлова подтверждает крайне высокую степень антропогенной нагрузки на водосборную площадь, которая проявляется даже в верхней части бассейна реки.
ВЫВОДЫ
В итоге проведенных исследований представляется возможным сделать несколько основных выводов.
Последствия угледобычи оказывают прямое воздействие на содержание в речных водах Тузлова соединений железа общего и главных ионов. На протяжении рассматриваемого периода происходило засульфачивание воды. От доли загрязненных шахтных вод в питании речной сети будет в наибольшей степени зависеть ее гидрохимический режим.
Результаты интенсивной сельскохозяйственной деятельности на водосборе приводят к сокращению содержания в речной воде фосфора фосфатов, соединений меди и цинка. Снижение содержания данных веществ в воде согласуется с их сокращением в почвенном покрове. Ключевая причина — интенсивное отчуждение этих компонентов сельскохозяйственными культурами.
В пределах урбанизированного участка г. Новочеркасск, напротив, в несколько раз возрастает содержание фосфора фосфатов, соединений меди и цинка.
Качество речной воды не характеризовалось значительной пространственно-временной изменчивостью и оставалось на низком уровне (степенью загрязненности воды — “грязная”), что подтверждает острую экологическую ситуацию в бассейне реки.
Об авторах
А. Д. Сазонов
Гидрохимический институт Росгидромета; Южный федеральный университет, Институт наук о Земле
Автор, ответственный за переписку.
Email: alexei.sazonow2016@ya.ru
Россия, пр. Стачки, 198, Ростов-на-Дону, 344090; ул. Большая Садовая, 105/42, Ростов-на-Дону, 344006
В. Е. Закруткин
Южный федеральный университет, Институт наук о Земле
Email: alexei.sazonow2016@ya.ru
Россия, ул. Большая Садовая, 105/42, Ростов-на-Дону, 344006
Список литературы
- Безуглова О. С., Назаренко О. Г., Ильинская И. Н. Динамика деградации земель в Ростовской области // Аридные экосистемы. 2020. № 2. С. 10–15.
- Воробьев Е. В., Усова Е. В., Орехова Ю. В. Анализ динамики и источников поступления ионов марганца, меди, никеля и алюминия в трансграничную реку Миус в период с 2003 по 2017 годы // Юг России: экология, развитие. 2019. № 1. C. 81–93. https://doi.org/10.18470/1992-1098-2019-1-81-93
- Гавришин А. И. Оценка качества химического состава поверхностных вод в восточном Донбассе // Геоэкология. 2019. № 4. С. 61–67. https://doi.org/10.31857/S0869-78092019461-67.
- Закруткин В. Е., Иваник В. М., Гибков В. Е. Эколого-географический анализ рисков реструктуризации угольной промышленности в Восточном Донбассе // Известия РАН. Сер. Географическая. 2010. № 5. С. 94–102.
- Иванов В. В. Экологическая геохимия элементов. Т. 4. М.: Экология, 1995. 416 с.
- Карта качества поверхностных вод Российской Федерации (официальный сайт Гидрохимического института Росгидромета). URL: https://gidrohim.com/node/61 (дата обращения 30.01.2023).
- Косолапов А. Е., Дандара Н. Т., Шкура В. Н., Клименко О. А. и др. Река Тузлов. План управления бассейном. Новочеркасск: ЮРГТУ (НПИ), 2007. 165 с.
- Коханистая Н. В., Шишкина Д. Ю., Закруткин В. Е. Биогеохимическая характеристика агроландшафтов Ростовской области // Успехи современного естествознания. 2022. № 11. С. 53–60. https://doi.org/10.17513/use.37928.
- Лурье П. М., Панов В. С. Река Дон: гидрография и режим стока. Ростов н/Д: Донской издательский дом, 2018. 592 с.
- Никаноров А. М., Хоружая Т. А. Качество воды в водных объектах Юга России со стабильно высоким уровнем химического загрязнения // География и природные ресурсы. 2012. № 2. С. 40–45.
- Посохов Е. В. Сульфатные воды в природе. Л.: Гидрометеоиздат, 1972. 165 с.
- Приказ Минсельхоза России от 10.12.2016 № 552 “Об утверждении нормативов качества воды водных объектов рыбохозяйственного значения, в том числе нормативов предельно допустимых концентраций вредных веществ в водах водных объектов рыбохозяйственного значения”. URL: https://docs.cntd.ru/document/420389120 (дата обращения 24.08.2023).
- Проблемы и перспективы комплексного освоения минеральных ресурсов Восточного Донбасса / Под ред. Г. Г. Матишова. Ростов н/Д: ЮНЦ РАН, 2005. 352 с.
- РД 52.24.643–2002. Метод комплексной оценки степени загрязненности поверхностных вод по гидрохимическим показателям. 2002. 50 с. https://gidrohim.com/normative_docs
- РД 52.24.748–2010. Усовершенствованная методика определения выноса (переноса) загрязняющих веществ с речным стоком. 2010. 60 с. https://gidrohim.com/normative_docs
- Решетняк О. С., Закруткин В. Е. Донные отложения как источник вторичного загрязнения речных вод металлами (по данным лабораторного эксперимента) // Известия вузов. Северо-Кавказский регион. Сер. Естественные науки. 2016. № 4. С. 102–109.
- Стрельцова Н. Б., Бакиев З. Р. Особенности химического состава донных отложений рр. Грушевка и Тузлов // Состояние и перспективы развития агропромышленного комплекса / Под ред. Ю. Ф. Лачуги. Ростов н/Д: ООО “ДГТУ-ПРИНТ”, 2020. С. 176–179.
- Юркова Р.Е, Докучаева Л. М. Эколого-токсикологическая оценка состояния почв Ростовской области по содержанию тяжелых металлов // Экология и водное хозяйство. 2020. № 4. С. 41–51.
- Alewell, C., Ringeval, B., Ballabio, C. et al. Global phosphorus shortage will be aggravated by soil erosion // Nature communications. 2020. V. 11. P. 4546. https://doi.org/10.1038/s41467-020-18326-7
- Kohn J., Zimmer D., Leinweber P. Is phosphorus really a scarce resource? // International Journal of Environmental Technology and Management. 2018. V. 21(5/6). Р. 373–395. https://doi.org/10.1504/IJETM.2018.100584
Дополнительные файлы









