Experimental Study of Stress Reactions Induced by Low-Intensity Microwave Radiation
- Authors: Izmestieva O.S.1, Kolganova O.I.1, Chibisova O.F.1, Zhavoronkov L.P.1
-
Affiliations:
- A. Tsyb Medical Radiological Research Centre – branch of the National Medical Research Radiological Centre of the Ministry of Health of the Russian Federation
- Issue: Vol 64, No 3 (2024)
- Pages: 274-285
- Section: НЕИОНИЗИРУЮЩИЕ ИЗЛУЧЕНИЯ
- URL: https://journal-vniispk.ru/0869-8031/article/view/272246
- DOI: https://doi.org/10.31857/S0869803124030049
- EDN: https://elibrary.ru/MBPWLP
- ID: 272246
Cite item
Full Text
Abstract
A study was made of the severity and dynamics of changes in indicators reflecting the state of the blood system (the number of myelokaryocytes in the femur, the level of CFU-S in the exo and endotest, hemolytic resistance of erythrocytes, as well as the mass and cellularity of the thymus) in mice exposed to monochromatic pulsed electromagnetic fields of the frequency range 2.27–2.78 GHz with an average power flux density of 60 μW/cm2 at doses from 0.086 to 0.86 J/g. It is shown that under repeated exposure to electromagnetic fields, the bioeffect cumulates, leading to the development of a stress-like adaptive reaction in animals.
Full Text
Ранее нами [1] была продемонстрирована высокая вариабельность реакции тимуса мышей, оцениваемая по массе и клеточности, в ответ на низкоинтенсивное (атермальное) электромагнитное излучение (ЭМИ) сверхвысокочастотного (СВЧ) диапазона. Полученные результаты свидетельствовали, что исходное состояние иммунного статуса экспонированных животных может определять не только величину одинаковых по направленности эффектов, но и саму направленность изменений у СВЧ-облученных животных. Такого рода эффекты могут быть результатом ответной реакции целостного организма, проявляющейся набором стандартных неспецифических реакций, как на любой стрессорный раздражитель. Поскольку в природе не существует стрессоров, вызывающих одинаковые ответные реакции организма одного вида (как по интенсивности, так и по временным характеристикам развития стресс-ответа и постстрессорного восстановления) [2–4], то ответная реакция на атермальное электромагнитное поле (ЭМП) как предполагаемый стрессор должна подчиняться лишь стохастическим закономерностям и иметь фазовый характер. Ранее было предположено, что адаптационный синдром может развиваться при действии на целостный организм ЭМИ крайне высоких частот [5]. При общем сверхвысокочастотном облучении также возможно стрессирование животных, но при этом считается, что стрессорные проявления наступают, когда дополнительная тепловая нагрузка ЭМП приближается к интенсивности основного обмена (для мышей примерно 10 мВт/г) [2]. Увеличение тепловой нагрузки вдвое по сравнению с основным обменом и достаточная длительность облучения могут привести к серьезным физиологическим сдвигам [6].
Целью настоящего исследования являлось экспериментальное обоснование концепции, в соответствии с которой низкоинтенсивные техногенные факторы среды, такие как слабые ЭМП СВЧ-диапазона, являются значимыми экологическими факторами, вызывающими у млекопитающих однотипную реакцию в виде адаптационного синдрома.
Оценку адаптационного синдрома проводили по степени выраженности и динамики изменений показателей, отражающих состояние системы крови у экспериментальных животных после экспонирования в ЭМП нетермогенной интенсивности. Выбор указанного объекта исследования объясняется тем, что комплекс неспецифических изменений, возникающих в организме при стрессе и объединенных в понятие “общий адаптационный синдром”, включает в себя в качестве обязательного компонента фазовые изменения в лимфомиелоидном комплексе. Реактивность организма во многом определяется состоянием системы крови, находящейся под контролирующим нейрогуморальным влиянием, т.е. в организме существует единая система защиты, эффекторами которой являются главные органы иммуногенеза и кроветворения – тимус и костный мозг [3, 4].
МАТЕРИАЛЫ И МЕТОДИКА
Эксперименты проведены на полученных из питомника “Столбовая” мышах-самках линии С57Вl/6 и самцах-гибридах (СВА × С57Вl/6)F1 возрастом 1.5–6.0 мес. и массой 14–27 г. Для каждого эксперимента животные контрольной и опытной групп подбирались одинаковой массы (±0.5 г) и возраста. Животных подвергали воздействию монохроматических ЭМП частотой 2.27; 2.62 и 2.78 ГГц (λ, соответственно, 13.22; 11.45 и 10.61 см), амплитудой 600 мкВт/см2 импульсным полем при частоте посылок импульсов 4 Гц и длительности 25 мс, что соответствовало средней ППЭ 60 мкВт/см2. Во время облучения мыши находились в ячейках решетчатого контейнера из оргстекла, обеспечивающего свободный теплообмен с окружающей средой, а размеры ячеек (7.5×4.5×4.0 см) не ограничивали подвижность мышей. В безэховой камере во время воздействия ЭМП поддерживались комфортные климатические условия; нормальная освещенность, температура 22.0 ± 0.5 ◦С, относительная влажность воздуха 55 ± 5%, конвекционный поток воздуха около 5 м/с. Контейнер с животными находился в зоне сформированной волны (3 м от апертуры излучающей антенны) в изодозовом поле (±10%) при вертикальной ориентации Е-вектора. Плотность потока энергии (ППЭ) в зоне сформированной волны измеряли с помощью термисторного моста Я2М-64. Мышей всех контрольных групп подвергали ложному облучению. После облучения подопытных и контрольных животных содержали в разных клетках в условиях вивария, так же, как и до воздействия ЭМП.
В качестве стрессирующего воздействия использовали длительное (24 ч) содержание мышей без воды и пищи в условиях ограниченной подвижности в узких индивидуальных ячейках из оргстекла со сплошными стенками размером 3.5×5.0×3.0 см. γ-Облучение мышей для селезеночного экзо- и эндотеста проводили на радиотерапевтической установке “Луч-1” (60Со) при мощности дозы 1.0 Гр/мин.
При анализе состояния тимуса после взвешивания органа готовили клеточную суспензию в стеклянном гомогенизаторе тефлоновым пестиком на среде 199. Клетки костного мозга из бедренной кости вымывали этой же средой. Кровь брали из хвостовой вены. Концентрацию клеток в суспензиях тимуса и костного мозга, а также содержание лейкоцитов в крови определяли путем подсчета в камере Горяева методом световой микроскопии.
Для определения устойчивости эритроцитов к гемолитическому действию кислоты использовали метод И. А. Терского и И. И. Гительзона [7]. При этом 40 мкл крови разводили в 4.5 мл физиологического раствора, затем разведенную кровь смешивали с равным объемом 0.004 н НСl на физиологическом растворе, помещали смесь в термостатируемую при 25 ◦С кювету спектрофотометра и каждые 30 с регистрировали экстинкцию смеси при 670 нм, определяя таким образом ход гемолиза эритроцитов под действием 0.002 н НСl. На основании полученных данных рассчитывали кинетики гемолиза и строили дифференциальные эритрограммы, показывающие, какой процент эритроцитов распадается за каждую полуминуту, а также рассчитывали интегральные показатель эритрограмм – суммарную стойкость эритроцитов (Р) [8, 9].
Способность стволовых кроветворных клеток образовывать колонии на селезенке определяли как экзоколониальным [10], так и эндоколониальным [11] тестами, при этом мышей опытной и контрольной групп облучали в одном контейнере в дозе 6 Гр.
Влияние на нейроэндокринную регуляцию, в частности, на те ее звенья, которые ответственны за физический и биоэнергетический статус организма, и представляющих интерес в качестве мишеней микроволнового воздействия, оказывает и система тиреоидного контроля, включающая нейроэндокринную цепь гипоталамус-гипофиз-щитовидная железа, механизмы транспорта, рецепции, связывания и метаболизма тиреоидных гормонов.
В разные сроки после окончания СВЧ воздействия у крыс под нембуталовым наркозом (55 мг/кг внутриперитонеально) из брюшной аорты производился забор крови. Содержание гормонов щитовидной железы и продуктов их метаболизма определяли методом радиоиммунологического анализа с использованием РИА-наборов отечественного и импортного (фирма “Mallinckrodt Diagnostica”, Германия), производства.
Все работы с лабораторными животными выполнены на основе стандартных операционных процедур, которые соответствуют правилам Европейской конвекции ETS 123. Выводили животных из опыта путем цервикальной дислокации под эфирным наркозом. В рамках внутреннего регламента проведение исследования разрешено Комитетом по биоэтике МРНЦ им. А.Ф. Цыба – филиал ФГБУ “НМИЦ радиологии” Минздрава РФ.
Статистическую обработку результатов исследования при всех использованных тестах проводили с применением программы Statistika 10.0. После проверки нормальности распределения вариационных рядов подсчитывали средний показатель и стандартную ошибку среднего (М ± ЅЕm). Групповые сравнения количественных показателей результатов оценивали с помощью t-критерия Стьюдента и при необходимости использовали метод регрессионного анализа. Достоверными считали различия, имеющие 95%-ный уровень значимости.
РЕЗУЛЬТАТЫ
Как свидетельствуют результаты, представленные в табл. 1, при однократной часовой экспозиции мышей в импульсном ЭМП с частотой 2.27 ГГц и средней ППЭ 60 мкВт/см2 (удельная поглощенная мощность составляла 0.024 Вт/кг [12], а поглощенная доза – 0.086 Дж/г) через сутки после облучения у мышей опытных групп регистрировали достоверное увеличение количества тимоцитов на 37–67% по сравнению с содержанием клеток в тимусе животных групп сравнения. Однако при увеличении поглощенной дозы вдвое (т.е. при двухчасовой экспозиции) СВЧ-эффект отсутствовал.
Таблица 1. Влияние импульсного ЭМП частотой 2.27 ГГц и средней ППЭ 60 мкВт/см2 на количество клеток в тимусе облученных мышей
Table 1. Effect of pulsed EMF with a frequency of 2.27 GHz and an average power flux density of 60 μW/cm2 on the number of cells in the thymus of irradiated mice
Длительность облучения, мин | Количество клеток в тимусе (× 108 ) | Значение р | |
контроль | опыт | ||
60 60 120 120 120 | 0.81 ± 0.07 (6) 1.22 ± 0.12 (6) 1.46 ± 0.06 (6) 2.20 ± 0.28 (6) 2.51 ± 0.2 (6) | 1.36 ± 0.21 (6) 1.67 ± 0.16 (6) 1.39 ± 0.2 (6) 2.20 ± 0.19 (6) 1.94 ± 0.3 (6) | 0.05 0.05 0.8 1.0 0.18 |
Примечание. В скобках указано число животных.
На основании этих данных можно бы сделать вывод, что импульсное ЭМП частотой 2.27 ГГц вызывает у мышей гиперплазию тимуса при поглощенной дозе 0.086 Дж/г, но не 0.172 Дж/г. Однако полученные результаты были проанализированы с позиции возрастной инволюции тимуса мышей: в период с 1.5 до 9 мес. постнатального онтогенеза клеточность органа претерпевает более чем двукратное снижение и достигает всего лишь (0.8 ± 0.15) × 108 клеток [4, 13, 14]. В табл. 1 каждая строчка “контроль–опыт” представляет результаты одного эксперимента, а поскольку в отдельном эксперименте животные контрольной и опытной групп имели одинаковую массу (±0.5 г) и были одного возраста, постольку различие контрольных величин в разных строках “контроль–опыт” отражает отличие возрастных характеристик мышей в каждом из опытов. Соотнеся (в процентном выражении) клеточность тимуса облученных животных к количеству тимоцитов в органе у контрольных мышей в каждом опыте, мы провели анализ корреляционной зависимости между этими показателями без учета поглощенной дозы. При этом было установлено, что связь между указанными параметрами описывается уравнением линейной регрессии
–ух = (190.8 ± 24.3) – (46.0 ± 13.8) × х,
где –ух – выраженная в процентах (по отношению к усредненным величинам клеточности тимуса животных контрольных групп) клеточность тимуса СВЧ-облученных мышей, а х – число клеток в тимусе мышей групп сравнения, уменьшенное в 108 . Коэффициент корреляции равен 0.89; р = 0.045. Из уравнения следует, что тимус, содержащий 1.97 × 108 клеток, ареактивен при СВЧ-воздействии на мышь. При меньшем исходном числе тимоцитов ЭМП увеличивает, а при большем, напротив, снижает количество клеток в органе. Полученные результаты хорошо коррелируют с ранее опубликованными нами данными, когда животных подвергали облучению ЭМП с частотой 2.39 ГГц [1]. Таким образом, внешнее ЭМП частотой 2.27 и 2.39 ГГц при интенсивности, меньшей уровня “теплового шума” животных, и при поглощенной дозе, не превышающей 0.172 Дж/г, оказывает регуляторное влияние на физиологические процессы, определяющие состояние тимуса, и приближает клеточность и массу органа к величинам, характерным для мышей примерно трехмесячного возраста.
В экспериментах с воздействием на мышей импульсными ЭМП с более высокой несущей частотой 2.62 и 2.78 ГГц, результаты которых приведены в табл. 2, зависимости СВЧ-эффекта от возрастных характеристик облучаемых мышей выявлено не было. В этих опытах направленность изменений в тимусе определялась частотой действующего поля: микроволны частотой 2.62 ГГц вызывали увеличение, а частотой 2.78 ГГц – напротив, снижение клеточности тимуса у мышей опытных групп в среднем на 25%.
Таблица 2. Сопоставление содержания клеток в тимусе животных групп сравнения и мышей, подвергнутых воздействию импульсных ЭМП частотой 2.62 ГГц и 2.78 ГГц при средней дозе 0.172 Дж/г
Table 2. Comparison of the content of cells in the thymus of animals of the comparison groups and mice exposed to pulsed EMF with a frequency of 2.62 GHz and 2.78 GHz at an average dose of 0.172 J/g
Частота ЭМП, ГГц | Количество клеток в тимусе (×108 ) | Величина р | |
контроль | опыт | ||
2.62 2.62 2.62 2.78 2.78 2.78 | 1.76 ± 0.15 2.43 ± 0.19 3.31 ± 0.26 1.22 ± 0.12 1.98 ± 0.11 2.62 ± 0.19 | 2.41 ± 0.12 2.81 ± 0.14 4.09 ± 0.14 0.83 ± 0.10 1.55 ± 0.11 2.02 ± 0.12 | 0.024 0.15 0.03 0.048 0.04 0.02 |
Примечание. В каждую контроль или опытную группу входило 6 мышей.
Выявленные зависимости СВЧ-эффекта при поглощенной дозе 0.086–0.172 Дж/г от возрастных характеристик мышей и от частоты внешнего поля привели нас к заключению, что примененный в описанных экспериментах уровень воздействия (поглощенная доза не превышала 0.172 Дж/г) позволяет установить лишь сам факт наличия ответной, причем очень вариабельной, реакции животных на СВЧ-облучение; но этот уровень недостаточен для индукции однонаправленных изменений в тимусе. В этой связи было проведено изучение изменений в тимусе мышей при повторяемых воздействиях импульсных ЭМП частотой 2.27 и 2.62 ГГц. В данной серии экспериментов мышей облучали микроволнами три или пять дней подряд по 120 мин ежедневно, что при средней ППЭ поля 60 мкВт/см2 обеспечило поглощенную дозу 0.516 и 0.86 Дж/г соответственно. Результаты, представленные в табл. 3, показывают, что независимо от частоты поля через одни или двое суток после последнего облучения во всех сериях опыта была выявлена однонаправленная реакция тимуса ─ его клеточность снижалась на 22–50%; причем различия определяемого параметра у опытных и контрольных групп животных были статистически значимы в 10 из 11 опытов.
Таблица 3. Сопоставление содержания клеток в тимусе животных групп сравнения и мышей, подвергнутых 3–5 раз 120-минутному воздействию импульсных ЭМП частотой 2.27 и 2.62 ГГц и средней ППЭ 60 мкВт/см2
Table 3. Comparison of the content of cells in the thymus of animals of the comparison groups and mice subjected to 3–5 times 120-minute exposure to pulsed EMF with a frequency of 2.27 and 2.62 GHz and an average power flux density of 60 μW/cm2
Частота ЭМП, ГГц | Поглощен- ная доза, Дж/г | Время после облучения, сут | Содержание клеток в тимусе (×108) | Величина р | |
контроль | опыт | ||||
2.27 2.27 2.27 2.62 2.62 2.62 2.62 2.62 2.62 2.62 2.62 2.62 | 0.516 0.86 0.86 0.516 0.516 0.516 0.516 0.516 0.516 0.86 0.86 0.86 | 1 1 1 1 2 2 2 2 6 1 1 1 | 1.81 ± 0.30 (3) 1.00 ± 0.09 (6) 1.40 ± 0.10 (6) 1.50 ± 0.10 (6) 0.77 ± 0.08 (8) 1.30 ± 0.06 (8) 1.51 ± 0.12 (9) 2.10 ± 0.20 (6) 1.25 ± 0.10 (6) 0.91 ± 0.09 (6) 1.02 ± 0.10 (6) 1.40 ± 0.10 (6) | 1.20 ± 0.07 (6) 0.57 ± 0.09 (6) 0.70 ± 0.07 (6) 1.10 ± 0.10 (6) 0.60 ± 0.05 (8) 1.02 ± 0.06 (8) 1.00 ± 0.02 (9) 1.50 ± 0.03 (6) 1.85 ± 0.23 (6) 0.55 ± 0.04 (6) 0.50 ± 0.09 (6) 0.76 ± 0.07 (6) | 0.05 0.01 0.005 0.046 0.07 0.04 0.017 0.01 0.04 0.01 0.01 0.003 |
Примечание. В скобках указано число мышей в группе.
Сопоставление СВЧ-эффектов, вызванных однократной экспозицией длительностью 120 мин в ЭМП частотами 2.27; 2.39; 2.62 и 2.78 ГГц, а также последствий повторяемых облучений мышей (табл. 3) позволяет заключить, что возрастание поглощенной дозы с 0.172 Дж/г до 0.516 Дж/г и выше при частоте поля 2.27 ГГц отменяет зависимость обусловленных действием поля изменений в тимусе от исходной клеточности органа; а при частоте поля 2.62 ГГц приводит к изменению знака эффекта, т.е. гиперплазия органа сменяется гипоплазией.
Установлено, что наблюдаемая через 1–2 сут после последнего облучения гипоплазия была обратима и через 6 сут после воздействия поля содержание клеток в тимусе троекратно облученных животных не просто возвращалось к норме, но и превышало ее в полтора раза (табл. 3). Такие же закономерности в динамике изменения состояния тимуса у мышей, троекратно облученных ЭМП частотой 2.62 ГГц, регистрировались при определении другого “макропоказателя” – массы органа. Сниженная до 79.7 ± 3.6% (р = 0.00045) ко вторым суткам, через 6 сут после облучения масса тимуса у мышей опытных групп достигала уже 132 ± 10% (р = 0.01) по сравнению с контролем.
Полученные нами результаты согласуются с ранее опубликованными работами, в которых отражены закономерности развития стрессреакций при воздействии на организм других раздражителей [15, 16].
С целью получения дополнительных доказательств справедливости предположения, что повторные воздействия слабого СВЧ-поля вызывают у мышей адаптивный ответ с выраженной стадией тревоги, был проведен анализ устойчивости эритроцитов облученных мышей к действию гемолитика (соляной кислоты) по методу И. А. Терского и И. И. Гительзона [7]. При этом была сопоставлена гемолитическая устойчивость эритроцитов СВЧ-облученных мышей и эритроцитов животных, которых с целью стрессирования сутки содержали без воды и пищи в условиях ограниченной подвижности. При такой модели стресса, как было определено нами, количество клеток в тимусе мышей снижалось очень значительно – почти на 60%, составляя (1.82 ± 0.13) × 108 в контроле и (0.75 ± 0,1) × 108 после стрессирования, р = 0,003.
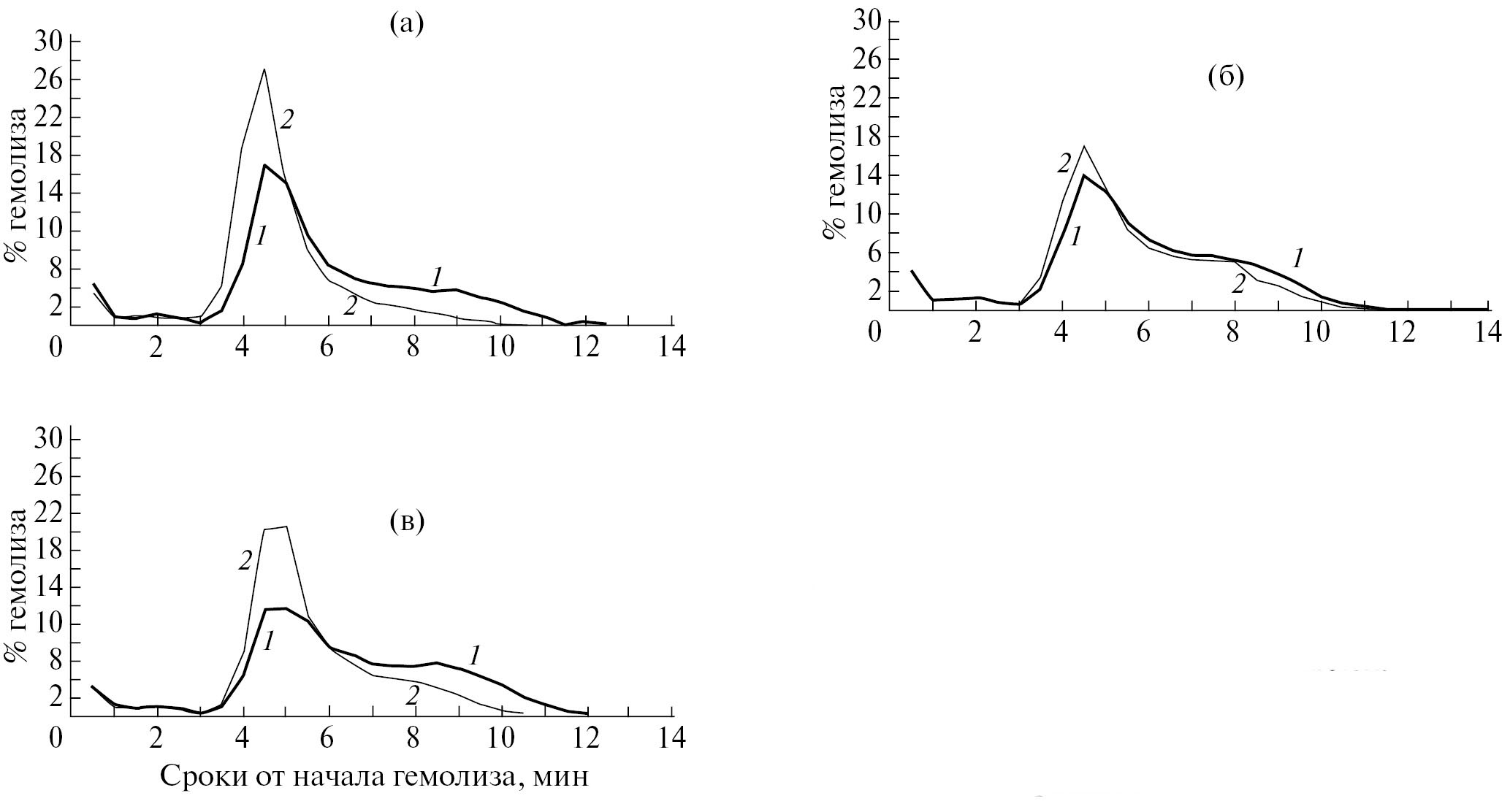
Дифференциальные эритрограммы стрессированных животных (рис. 1, а) показывают, что гемолитическая устойчивость их эритроцитов падает: уменьшается время гемолиза, эритрограммы смещаются влево, растет высота пика за счет уменьшения в крови объема фракции устойчивых к действию гемолитика эритроцитов (правое крыло эритрограмм опускается).
Величина показателя суммарной устойчивости эритроцитов Р уменьшалась с 581 ± 35 до 476 ± 20 (р = 0.003). Эти данные хорошо согласуются с имеющимися в литературе сведениями о характере изменений свойств и состава эритроцитов периферической крови во время развития стадии тревоги стресс-реакции [8, 17].
Рис. 1. Эритрограммы мышей при разных вариантах стрессирования: (а) – стрессирование иммобилизацией; (б) – один сеанс, (в) – три сеанса СВЧ-воздействия частотой 2.62 ГГц. ППЭ ср. – 60 мкВт/см2, сеанс 120 мин; 1 – контроль, 2 – опыт.
Fig. 1. Erythrograms of mice under different stress conditions: (а) – immobilization stress; (b) – one session, (c) – three sessions of microwave exposure with a frequency of 2.62 GHz. PFD – 60 μW/cm2, session 120 min; 1 – control, 2 – experience.
Однократное микроволновое воздействие (средняя ППЭ 60 мкВт/см2, 120 мин, доза 0.172 Дж/г), как показывают результаты, приводимые на рис. 1, б, вызывало сходные качественные изменения дифференциальных эритрограмм крови облученных мышей, но количественное выражение сдвигов гемолитической устойчивости эритроцитов животных опытных групп по отношению к контролю, оцениваемое по эритрограммам, было недостоверно. Так же незначимо снижалась и величина Р: с 570 ± 22 в контроле до 533 ± 20 (р = 0.29) у облученных животных.
Однако трехкратная экспозиция мышей (с интервалом в сутки) в ЭМП с указанными выше характеристиками (поглощенная доза 0.516 Дж/г), как свидетельствуют результаты, приводимые на рис. 1, в, обусловливала практически такое же снижение устойчивости их эритроцитов к действию гемолитика, как и стрессирование животных. Время гемолиза снижалось с 12 до 10.5 мин, величина пика дифференциальных эритрограмм возрастала вдвое, а объем фракции высокоустойчивых эритроцитов, гемолиз которых происходил после 6.5 мин инкубации с НCl, падал почти вдвое (с 46 до 25%). Величина Р при этом статистически значимо снижалась у мышей опытных групп на 15% по сравнению с контролем (535 ± 17 в опыте и 626 ± 28 в контроле, р = 0.02). Уровень изменения величины Р, вызываемый трехкратным действием поля, сопоставим с уровнем снижения Р при стрессировании (18%) в наших опытах или при ожоговой травме животных (16%) [18].
Как показывают результаты, представленные в табл. 4, при ежедневном СВЧ-облучении трехкратное воздействие поля, однозначно снижающее массу тимуса и количество клеток в нем, не приводило к изменению числа миелокариоцитов в бедренной кости мышей ни через сутки, ни через двое суток после последнего сеанса облучения.
Таблица 4. Влияние повторяющихся воздействий ЭМП частотой 2.62 ГГц на клеточность костного мозга и общее число лейкоцитов в периферической крови мышей
Table 4. Effect of repeated exposure to 2.62 GHz EMF on bone marrow cellularity and the total number of leukocytes in the peripheral blood of mice
Показатель | Контроль | Число сеансов облучения | ||
3 | 5 | |||
Время после окончания облучения, сут | ||||
1 | 2 | 1 | ||
Лейкоциты (×١٠9 /л) Количество клеток в бедренной кости ×106 | 19.6 ± 1.5 (16) 19.8 ± 0.8 (20) | ─ 21.0 ± 4.9 (12) | 19.9 ± 1.5 (6) 19.5 ± 0.7 (12) | 17.0 ± 1.5 (12) 24.5 ± 1.1 (12) р < 0.01 |
Примечание. В скобках указано число животных в группах.
В отличие от этого, пятикратное воздействие поля вызывало выраженную гиперплазию костного мозга – количество клеток в бедренной кости облученных мышей было выше, чем у контрольных мышей, на 24%; при этом общее число лейкоцитов в периферической крови не изменялось. Эти данные можно рассматривать как свидетельство становления на 4–5-е сутки в ходе продолжающегося облучения периода адаптации животных к стрессирующему действию поля. Такое явление характерно и для других моделей стресса, вызываемого многократным действием раздражителя. Например, при ежедневном дозированном раздражении током крыс период адаптации наступает на 5–13-е сутки, несмотря на продолжение стрессирования животных. Количество миелокариоцитов в костном мозге при этом возрастает на 19% [4].
Еще одной особенностью стадии резистентности стресс-реакции, вызываемой как однократным, так и многократным действием разнообразных экстремальных факторов на мышей, является активация кроветворения, о чем свидетельствует увеличение числа ранних потомков стволовых кроветворных клеток, способных образовывать колонии на селезенке (КОЕ-С) [19–21].
В наших экспериментах, результаты которых представлены в табл. 5, увеличение определяемой экзотестом колониеобразующей активности костного мозга у СВЧ-облученных мышей после трехкратного воздействия поля составило 57%; а после пятого сеанса облучения – уже 90%, т.е. динамика активизации кроветворения внешним полем не противоречит развиваемым в работе представлениям о стадийности развития СВЧ-индуцируемых адаптивных реакций.
Таблица 5. Количество КОЕ-С в костном мозге мышей, подвергнутых повторяемым воздействиям ЭМП частотой 2.62 ГГц
Table 5. The number of CFU-S in the bone marrow of mice subjected to repeated exposure to 2.62 GHz EMF
Показатель | Контроль | Число сеансов облучения | |
3 | 5 | ||
Время после окончания облучения, ч | |||
24 | 0 | ||
Количество КОЕ-С на ١٠5 клеток костного мозга (экзотест) Количество КОЕ-С (эндотест) | 10.4 ± 0.7 ( 30) 6.9 ± 0.7 (27) | 16.4 ± 1.2 (30) р < 0.001 | 19.8 ± 1.0 (30) р < 0.001 12.7 ± 1.1 (27) р < 0.001 |
Примечание. По всем использованным тестам представлены усредненные результаты трех опытов. В скобках указано общее число мышей.
Сходные результаты были получены и в эндотесте. Сразу после пятого воздействия поля у животных опытных групп выявлялось в среднем на 84% больше эндогенных КОЕ-С, чем у контрольных мышей (табл. 5). Метод эндогенных селезеночных колоний, характеризуя состояние кроветворения у мышей после СВЧ-воздействия, в то же время отражает чувствительность животных к действию ионизирующей радиации [21]. Поэтому полученные в работе данные о том, что слабое ЭМП при определенных условиях увеличивает количество КОЕ-С в эндотесте, являются, по сути, свидетельством протективного действия ЭМП по отношению к ионизирующему излучению и объясняют известные данные о защитном эффекте многократного повторенного атермогенного микроволнового облучения на течение лучевой болезни [22].
В проявлении адаптационного неспецифического синдрома стимуляция рецепторов вегетативной нервной системы сопровождается активацией выработки ряда рилизинг-факторов в гипоталамусе и сопряжена с последующей секрецией гормонов передней доли гипофиза – аденогипофиза, повышенный синтез которых неизбежно приводит к усилению энергетического обмена. Уровень энергетического обмена контролируется преимущественно гормонами щитовидной железы, а метаболизм тироксина осуществляется ферментативными системами, имеющими специфическое тканевое распределение. В связи с этим биотропность микроволнового излучения в атермальных режимах воздействия оценивали и по направленности изменения соотношения метаболитов гормона щитовидной железы: тироксина (T4), трийодтиронина (T3) и трийодтиронина реверсивного (rT3) согласно схеме, предложенной T.J. Visser, W. Croteau [23, 24]. Ранее описанные в литературе реакции на стресс демонстрируют высокую физиологическую роль тиреоидных гормонов в тканях, содержащих 5´-йодтиронин-дейодиназу II типа, таких как мозг и гипофиз [25]. Полученные нами результаты приведены в табл. 6.
Таблица 6. Содержание метаболитов тиреоидных гормонов сыворотки крови (М ± ЅЕm) в разные сроки после воздействия в диапазоне частот 2–4 ГГц и продолжительностью 180 мин
Table 6. The content of metabolites of thyroid hormones in blood serum (M ± SEm) at different times after microwave exposure in the frequency range of 2–4 GHz and duration of 180 min
Сроки после облучения | Группа | n | Т4 нмоль/л | Т3 нмоль/л | rT3, нмоль/л (× 10–2) |
1 ч | Контроль ЭМИ | 10 9 | 88 ± 4 88 ± 8 | 51 ± 7 66 ± 11 | 5.6 ± 0.7 5.1 ± 0.5 |
1 сут | Контроль ЭМИ | 9 9 | 98 ± 7 76 ± 9* | 83 ± 11 54 ± 7** | 5.7 ± 0.6 5.5 ± 0.5 |
3 сут | Контроль ЭМИ | 9 8 | 84 ± 3 84 ± 4 | 93 ± 11 73 ± 5 | 6.8 ± 0.8 5.9 ± 0.8 |
Примечание. Т4 – тироксин; Т3 – трийодтиронин; rТ3 – трийодтиронин реверсивный; n – число животных в группе. * р < 0.1, ** р < 0.05.
Выявленное нами транзиторное, но статистически значимое синхронное снижение концентраций Т4 и Т3 в сыворотки крови животных через 24 ч после 3-часовой экспозиции в ЭМП в диапазоне частот 2–4 ГГц, по всей вероятности, связано с изменением регуляции метаболизма тироксина на тканевом уровне. Данный эффект, по-видимому, является проявлением стресс-реакции организма на воздействие фактора.
ОБСУЖДЕНИЕ
Тимус является одним из основных органов-мишеней неспецифических реакций, развивающихся в организме при состоянии стресса [2–4], сморщивание тимуса – характерный признак первой фазы адаптационного синдрома. Поэтому в экспериментах на животных преходящее снижение массы тимуса и содержания клеток в нем в ответ на действие какого-либо раздражителя рассматривается и как свидетельство развития стадии тревоги адаптационного синдрома, и как доказательство стрессирующей природы использованного раздражителя [14–16].
В этой связи полученным в наших экспериментах результатам можно дать следующее объяснение. Интактный организм реагирует на внешние СВЧ-поля как на стрессирующий раздражитель слабой или средней силы [3]. При этом эффект облучения может кумулировать, т.е. в организме существуют определенные механизмы хранения информации об СВЧ-воздействиях.
По этой причине “субадаптационные” реакции (или реакции ориентировки), наблюдаемые у животных после однократной экспозиции в ЭМП, при повторных микроволновых воздействиях сменяются однонаправленным адаптивным ответом, при этом в тимусе развиваются изменения, характерные для стадии тревоги стресс-реакции.
В пользу справедливости предположения, что при повторных воздействиях слабого ЭМП на мышей происходит кумуляция эффекта излучения, приводящая к развитию типичного адаптивного ответа с выраженной стадией тревоги, свидетельствует не только гипоплазия тимуса, но и снижение гемолитической устойчивости эритроцитов, наблюдаемое уже после трех сеансов облучения животных.
Совокупность процессов, происходящих в организме на стадии тревоги стресс-реакции, направлена на адаптацию к новым факторам внешней среды, на повышение резистентности организма [18]. Так, снижение гемолитической устойчивости эритроцитов, обусловливающее эритродиерез в начальную фазу стресса, представляет собой неотъемлемую часть процесса регенерации крови, который переходит в эритроцитоз на стадии резистентности адаптационного синдрома Селье [17, 18]. То же самое можно сказать и о реакциях, развивающихся при стрессе в лимфомиелоидном комплексе. Уменьшение численности лимфоцитов в лимфоидных тканях и циркулирующей крови в ранний постстрессорный период обусловлено мобилизацией лимфоидных клеток и перераспределением их в пределах лимфомиелоидной системы с приходом в костный мозг [19]. Физиологическое значение перераспределения лимфоцитов, обеспечивающего увеличение иммунной компетентности костного мозга, заключается в повышении сопротивляемости организма к альтерирующему агенту и является основой развития второй стадии адаптационного синдрома – резистентности. Поэтому динамика изменений такого показателя кроветворной системы, как клеточность костного мозга, хорошо отражает смену стадий адаптивных реакций, в то время как для фазовых изменений массы и клеточности тимуса характерна большая инертность, поскольку миграция клеток из тимуса продолжается и при становлении стадии резистентности [20].
Полученные нами результаты коррелируют с данными других авторов, показавших при воздействии микроволн структурные повреждения лимфоидных тканей и функциональные нарушения со стороны иммунной системы: гиперемия и фрагментация ядер лимфоцитов, снижение концентраций цитокинов в сыворотке крови [26]. Следует отметить, что альтерирующий эффект микроволн регистрировали при относительно интенсивном, но непродолжительном (6 мин) однократном воздействии поля с частотой 2.8 ГГц и средней плотности потока энергии 30 мВт/см2.
ВЫВОДЫ
Представленный в работе анализ состояния системы крови у мышей после экспонирования в ЭМП нетермогенной интенсивности позволяет сделать следующие выводы:
- При воздействии на мышей монохроматических ЭМП частотного диапазона 2.27– 2.78 ГГц со средней ППЭ 60 мкВт/см2 при поглощенной дозе от 0.086 до 0.86 Дж/г достоверные изменения числа клеток в тимусе и его массы происходят уже при минимальной дозе и в очень ранние сроки после облучения.
- При однократном воздействии слабого ЭМП характер СВЧ-эффекта (гиперплазия, гипоплазия или отсутствие эффекта) зависит от частоты поля и исходного состояния тимуса, определяемого, в частности, возрастом животных. Однако при повторных воздействиях (3–5 раз с суточным интервалом) реакция тимуса приобретает однонаправленность – его клеточность достоверно снижается независимо от частоты действующего ЭМП.
- Кумуляция эффекта СВЧ-излучения, приводящая к гипоплазии тимуса облученных мышей, вызывает, помимо этого, такое же снижение гемолитической устойчивости эритроцитов, как и стрессирование животных обездвиживанием в течение суток.
- Пятикратное повторение воздействия слабого ЭМП на мышей приводит к увеличению содержания миелокариоцитов в костном мозге, параллельно этому количество КОЕС возрастает почти вдвое.
- Результаты экспериментов позволяют сделать обоснованное заключение, что слабые ЭМП даже при интенсивности, меньшей теплового шума животных, являются значимым раздражителем. При повторяемых воздействиях ЭМП происходит кумуляция биоэффекта, что приводит к развитию у животных стрессоподобной адаптационной реакции.
- Полученные данные важны не только для анализа фундаментальных механизмов реакций организма на слабые ЭМП, но и для оценки нормативно-гигиенической значимости таких воздействий.
About the authors
O. S. Izmestieva
A. Tsyb Medical Radiological Research Centre – branch of the National Medical Research Radiological Centre of the Ministry of Health of the Russian Federation
Author for correspondence.
Email: olgaizmestieva@mail.ru
ORCID iD: 0000-0002-2572-6145
Senior Researcher, PhD in Biology
Russian Federation, ObninskO. I. Kolganova
A. Tsyb Medical Radiological Research Centre – branch of the National Medical Research Radiological Centre of the Ministry of Health of the Russian Federation
Email: o.kolgan.obn@mail.ru
ORCID iD: 0009-0004-7951-8570
Senior Researcher, PhD in Biology
Russian Federation, ObninskO. F. Chibisova
A. Tsyb Medical Radiological Research Centre – branch of the National Medical Research Radiological Centre of the Ministry of Health of the Russian Federation
Email: olgaizmestieva@mail.ru
ORCID iD: 0009-0001-4639-5840
research fellow
Russian Federation, ObninskL. P. Zhavoronkov
A. Tsyb Medical Radiological Research Centre – branch of the National Medical Research Radiological Centre of the Ministry of Health of the Russian Federation
Email: Leonid.petrovich@inbox.ru
ORCID iD: 0000-0001-5100-9118
Prof. of the scientific and educational department, Doctor of Medical Sciences
Russian Federation, ObninskReferences
- Семин Ю.А., Жаворонков Л.П., Воронько Я.В., Рожкова О.М. Исходное состояние тимуса определяет характер изменений в организме у мышей под воздействием слабых электромагнитных волн. Радиац. биология. Радиоэкология. 2003;43(5): 524–527. [Siomin Yu.A., Zhavoronkov L.P., Voronko Ya.V., Shwarzburg L.K., Rozhkova О.М. The efficiency and direction of thymus changes after whole-body exposure of mice to weak electromagnetic field are determined by the initial status of thymus. Radiation Biology. Radioecology. 2003;43(5):524–527. (In Russ.)]
- Давыдов Б.И., Тихончук В.С., Антипов В.В. Биологическое действие, нормирование и защита от электромагнитных излучений. М.: Энергоатомиздат, 1984. 177 с. [Davydov B.I., Tikhonchuk V.S., Antipov V.V. Biologicheskoe deistvie, normirovanie i zashchita ot ehlektromagnitnykh izluchenii. Moscow: Ehnergoatomizdat, 1984. 177 р. (In Russ.)]
- Гаркави Л.Х., Квакина Е.Б., Уколова М.А. Адаптационные реакции и резистентность организма. Ростов-на-Дону: Изд-во Ростовского университета, 1990. 223 с. [Garkavi L.Kh., Kvakina E.B., Ukolova M.A. Adaptatsionnye reaktsii i rezistentnost’ organizma. Rostov-na-Donu: Izd-vo Rostovskogo universiteta, 1990. 223 р. (In Russ.)]
- Горизонтов П.Д., Белоусова О.И., Федотова М.И. Стресс и система крови. М.: Медицина, 1983. 240 с. [Gorizontov P.D., Belousova O.I., Fedotova M.I. Stress i sistema krovi. Moscow: Meditsina, 1983. 240 р. (In Russ.)]
- Лушников К.В., Гапеев А.Б., Чемерис Н.К. Влияние электромагнитного излучения крайне высоких частот на иммунную систему и системная регуляция гомеостаза. Радиац. биология. Радиоэкология. 2002;42(5): 533–545. [Lushnikov K.V., Gapeev A.B., Chemeris N.K. Effects of extremely high-frequency electromagnetic radiation on the immune system and system regulation of the homeostasis. Radiation Biology. Radioecology. 2002;42(5):533–545. (In Russ.)]
- Колганова О.И., Дрозд А.И., Жаворонков Л.П. и др. Экспериментальная оценка термогенных уровней острого микроволнового облучения для животных разных видов. Радиац. биология. Радиоэкология. 2000;40(6): 696–701. [Kolganova O.I., Drozd A.I., Zhavoronkov L.P. et al. Experimental estimation of thermogenic levels of acute microwave exposure for different animal species. Radiation Biology. Radioecology. 2000;40(6):696–701. (In Russ.)]
- Терсков И.А., Гительзон И.И. Метод химических (кислотных) эритрограмм. Биофизика. 1957;2(2):259–263. [Terskov I.A., Gitel’zon I.I. Metod khimicheskikh (kislotnykh) ehritrogramm. Biofizika. 1957;2(2):259–263. (In Russ.)]
- Вопросы биофизики, биохимии и патологии эритроцитов. М.: Наука, 1967. 348 с. [Voprosy biofiziki, biokhimii i patologii ehritrotsitov. Moscow: Nauka, 1967. 348 р. (In Russ.)]
- Изместьева О.С., Лузянина А.А., Ершова И.Л., Жаворонков Л.П. Изучение влияния низкодозового γ-облучения на функциональное состояние эритроцитов периферической крови крыс. Радиац. биология. Радиоэкология. 2014;54(5): 493–499 [Izmest’eva O.S., Luzyanina A.A., Ershova I.L., Zhavoronkov L.P. Study of the Influence of Low-Dose γ-Irradiation on the Functional State of Peripheral Blood Erythrocytes of Rat. Radiation Biology. Radioecology. 2014;54(5):493–499. (In Russ.)] https://doi.org/10.7868/S0869803114050063
- Till J.E. McCulloch. A direct measurement of the radiation sensitivity of normal mouse bone marrow cells. Radiat. Res. 1961;14:213-222.
- Jenkins V.K., Upton A.C. Odell T.T. Differences between exogenous and endogenous hemopoietic spleen colonies. J. Cell. Physiol. 1969;73(2):141–148. https://doi.org/10.1002/jcp.1040730208
- Петин В.Г., Дубовик Б.В., Рожков М.Ф., Комаров В.П. Использование дозовых характеристик СВЧ-воздействий при интерпретации летальных эффектов у лабораторных животных. Радиац. биология. Радиоэкология. 1996;36(2):310–316. [Petin V.G., Dubovik B.V., Rozhkov M.F., Komarov V.P. Application of dose parameters of UHF-irradiation for interpretation of lethal effects in laboratory animals. Radiation Biology. Radioecology. 1996;36(2):310–316. (In Russ.)]
- Хирокова К. Тимус и старение. В кн.: Макинодана Т., Юниса Э. М. Тимус и старение. М.: Мир, 1998. С. 75–101. [Khirokova K. Timus i starenie. V kn.: Makinodana T., Yunisa EH. M. Timus i starenie. Moscow: Mir, 1998. Р. 75–101. (In Russ.)]
- Мороз Б.Б., Дешевой Ю.Б., Лебедев В.Г., Лырщикова А.В., Воротникова Т.В. Реакция кроветворной системы при длительном эмоциональном стрессе на фоне действия γ-излучения в низких дозах. Радиац. биология. Радиоэкология. 1997;37(4):581–589. [Moroz B.B., Deshevoi I.B., Lebedev V.G. Reaction of the hematopoietic system under long-term emotional stress developed after preliminary gamma-irradiation with low doses. Radiation Biology. Radioecology. 1997;37(4):581–589. (In Russ.)]
- Суринов Б.П., Исаева В.Г., Токарев О.Ю. Аллелопатическая активность летучих выделений облученных животных. Радиац. биология. Радиоэкология. 2001;41(6):645–649. [Surinov B.P., Isaeva V.G., Tokarev O.Yu. Allelopathic activity of volatile secretion in irradiated animals. Radiation Biology. Radioecology. 2001;41(6):645–649. (In Russ.)]
- Мутускина Е.А., Багдасарова Л.А., Трубина И.А., Заржецкий Ю.В. Некоторые показатели стресс-реакции организма на разных этапах постреанимационного периода. Бюлл. эксперим. биол. мед. 2002;133(1):38–41. [Mutuskina E.A., Bagdasarova L.A., Trubina I.A., Zarzhetskii Yu.V. Parameters of stress response at various stages of postresuscitation period. Bulletin of Experimental Biology and Medicine. 2002;133(1):30–32.]
- Ужанский Я.Г. Стресс и гемолиз. Пробл. гематологии и переливания крови. 1973;18(11): 13–15. [Uzhansky Ya.G. Stress and hemolysis. Problemy Gematologii i Perelivaniya Krovi. 1973;18(11):13–15. (In Russ.)]
- Давыдовский И.В. Общая патология человека. М.: Медицина, 1969. 610 с. [Davydovskii I.V. Obshchaya patologiya cheloveka. Moscow: Meditsina, 1969. 610 p. (In Russ.)]
- Зимин Ю.И., Хаитов Р.М. Миграция Т-лимфоцитов в костный мозг в начальный период стресс-реакции. Бюлл. эксперим. биол. мед. 1975;80(12): 68–70. [Zimin Yu.I., Khaitov R.M. Migratsiya T-limfotsitov v kostnyi mozg v nachal’nyi period stress-reaktsii. Byulleten’ Ehksperimental’noi Biologii i Meditsiny. 1975;80(12):68–70. (In Russ.)]
- Гольдберг Е.Д., Дыгай А.М, Захарова О.Ю. Роль опиоидных пептидов в регуляции гемопоэза. Томск: Изд-во Томского ун-та, 1990. 136 с. [Gol’dberg E.D., Dygai A.M., Zakharova O.Yu. Rol’ opioidnykh peptidov v regulyatsii gemopoehza. Tomsk.: Izd-vo Tomsk. Un-ta, 1990. 136 р. (In Russ.)]
- Переверзев А.Е. Кроветворные колониеобразующие клетки и физические стресс-факторы. Ленинград: Наука, 1986. 172 с. [Pereverzev A.E. Krovetvornye kolonieobrazuyushchie kletki i fizicheskie stress-faktory. Leningrad: Nauka, 1986. 172 р. (In Russ.)]
- Григорьев Ю.Г., Степанов В.С., Батанов Г.В., Ватутин В.Д. Комбинированное действие ионизирующего и микроволнового излучений на крыс. Радиобиология. 1981;21(2):289–293. [Grigor’ev Yu.G., Stepanov V.S., Batanov G.V., Vatutin V.D. Kombinirovannoe deistvie ioniziruyushchego i mikrovolnovogo izluchenii na krys. Radiobiologiya. 1981;21(2):289–293. (In Russ.)]
- Visser Th.J. Metabolism of thyroid hormone. In book: B.A. Cooke. R.J.B. King and H.J. van der Molen. Book Hormones and their Actions. Part I. Charter 6: Elsevier Science Publishers BV (Biomedical Devision); 1988. P. 81–103
- Сroteau W., Galton V.A., Germain D.L.St. Cloning of the mammalian type II iodothyronine deiodinase. A selenoprotein differentially expressed and regulated in human and rat brain and other tissues. J. Clin. Investig. 1996;98(2):405–417 https://doi.org/10.1172/JCI118806
- Baumgartner A., Hiedra L., Pinna G. et al. Rat brain type II 5’-iodothyronine deiodinase activity is extremely sensitive to stress. J. Neurochem. 1998;71(2):817-826. https://doi.org/10.1046/j.1471–4159.1998.71020817.x
- Yao C., Dong J., Ren K. et al. Accumulative effects of multifrequency microwave exposure with 1.5 GHz and 2.8 GHz on the structures and functions of the immune system. Int. J. Environ. Res. Publ. Health. 2023;20(6):4988. https://doi.org/10.3390/ijerph20064988
Supplementary files



