Radio-Frequency Electromagnetic Background Created by Mobile (Cellular) Communications
- Authors: Mordachev V.I.1
-
Affiliations:
- Belarusian State University of Informatics and Radioelectronics
- Issue: Vol 64, No 3 (2024)
- Pages: 305-323
- Section: НЕИОНИЗИРУЮЩИЕ ИЗЛУЧЕНИЯ
- URL: https://journal-vniispk.ru/0869-8031/article/view/272265
- DOI: https://doi.org/10.31857/S0869803124030074
- EDN: https://elibrary.ru/MBCFNX
- ID: 272265
Cite item
Full Text
Abstract
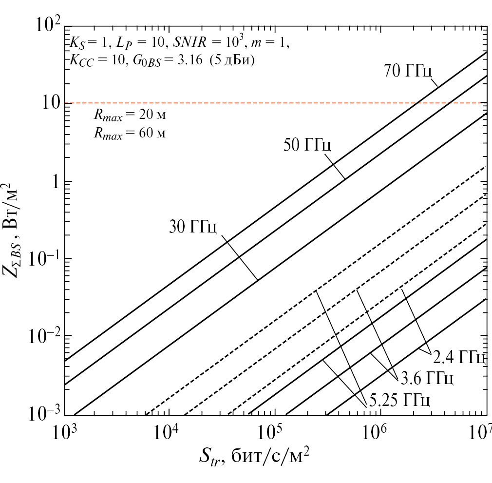
The technique of integral assessment of the radio frequency electromagnetic background (EMB) intensity created by wireless information services is presented, based on the forecast of the average electromagnetic loading on area created by radiations of spatially distributed base stations and mobile terminal devices. This loading can be determined both on the basis of a direct estimate of the average total irradiation power of the Earth’s surface by base stations or the average total radiation power of terminal devices per unit of its area, and on the basis of an estimate of the average area traffic capacity and known parameters of equipment and topology of mobile communication networks. Expressions to estimate the conditional average levels of EMB generated by stationary and mobile components of mobile communication systems, and the results of calculations illustrating the processes of its generation by these systems in different frequency ranges with different average area traffic capacity and different sizes of service areas of base stations are given. These calculations confirm the real danger of an unacceptable decrease in the level of electromagnetic safety of the population and deterioration of the ecology of the habitat without the implementation of scientifically based restrictions on the characteristics of mobile communication systems and services.
About the authors
V. I. Mordachev
Belarusian State University of Informatics and Radioelectronics
Author for correspondence.
Email: mordachev@bsuir.by
ORCID iD: 0000-0002-2036-3066
Belarus, Minsk
References
- Ozdemir A.R., Alkan M., Gulsen M. Time Dependence of Environmental Electric Field Measurements and Analysis of Cellular Base Stations. IEEE EMC Magazine. 2014;3: 43–48.
- Burgi A., Theis G., Siegenthaler A., Roosli M. Exposure modeling of high-frequency electromagnetic fields. J. Expo Sci. Environ. Epidemiol. 2008;18: 183–191.
- Gajsek P., Ravazzani P., Wiart J., Grellier J. et al. Electromagnetic field exposure assessment in Europe radiofrequency fields (10 MHz–6 GHz). J. Expo Sci. Environ. Epidemiol, 2015;25:37–44.
- Ibrani M., Hamiti E., Ahma L., Halili R., Dragusha B. Comparative Analysis of Downlink Signal Levels Emitted by GSM 900, GSM 1800, UMTS, and LTE Base Stations. 16th Annual Mediterranean Ad Hoc Networking Workshop, June 28–30, 2017, Budva, Montenegro, 5 p.
- Joseph W., Verloock L., Goeminne F., Vermeeren G., Martens L. Assessment of RF exposures from emerging wireless communication technologies in different environments. Health Phys. 2012;102(2):161–172.
- Rowley J.T., Joyner K.H. Comparative international analysis of radiofrequency exposure surveys of mobile communication radio base stations. J. Expo Sci. Environ. Epidemiol. 2012;22: 304–315.
- Gotsis A., Papanikolaou N., Komnakos D. et al. Non-ionizing electromagnetic radiation monitoring in Greece. Ann. Telecommun. 2008;63:109–123.
- Troisi F., Boumis M., Grazioso P. The Italian national electromagnetic field monitoring network. Ann. Telecommun. 2008; 63:97–108.
- Tomitsch J., Dechant E., Frank W. Survey of Electromagnetic Field Exposure in Bedrooms of Residences in Lower Austria. Bioelectromagn. 2010;31:200–208, Wiley InterScience, www.interscience.wiley.com.
- Rufo M., Paniagua J., Jimenez A., Antolín A. Exposure to high-frequency electromagnetic fields (100 KHz–2 GHz) in Extremadura (Spain). Health Phys. 2011; 6(101):739–745, www.health-physics.com.
- Karpowicz J., Miguel-Bilbao S., Ramos V. et al. The evaluation of Stationary and Mobile Components of Radiofrequency Electromagnetic Exposure in the Public Accessible Environment. Proc. of the Int. Symp. “EMC Europe 2017”, Angers, France, 2017, 4 p.
- Стаценко Л.Г., Бахвалова А.А., Жмакина И.Д. Электромагнитный фон на территории кампуса ДВФУ на о. Русский: инструментальные измерения. Вестн. инженерной школы Дальневост. федеральн. ун-та. 2021;3(48): 124–132 [Statsenko L., Bakhvalova A., Zhmakina I. Electromagnetic background on the FEFU campus on the Russky Island: instrumental measurements. Fefu: School of Engineering Bulletin. 2021;3(48):124–132 (In Russ.)] https://doi.org/10.24866/2227-6858/2021-3-14.
- Григорьев О.А., Гошин М.Е., Прокофьева А.В., Алексеева В.А. Особенности национальной политики, определяющей подходы к гигиеническому нормированию электромагнитного поля радиочастот в различных странах. Гигиена и санитария. 2019;98(11):1184–1190 [Grigoriev O., Goshin M., Prokofyeva А., Alekseeva V. Features of national policy in approaches to electromagnetic field safety of radio frequencies radiation in different countries. Gigiena i Sanitari. 2019;98(11):1184–1190 (In Russ.)]. https://doi.org/10.18821/0016-9900-2019-98-11-
- Григорьев О.А., Никитина В.Н., Носов В.Н. и др. Электромагнитная безопасность населения. Национальные и международные нормативы электромагнитных полей радиочастотного диапазона. Здоровье населения и среда обитания, 2020;10(331):28–33 [Grigoriev O.A., Nikitina V.N., Nosov V.N. et al. Electromagnetic safety of the population. National and international standards for electromagnetic fields of the radio frequency range. Public Health and Habitat. 2020;10(331):28–33 In Russ.)]. https://doi.org/10.35627/2219-5238/2020-331-10-28-33
- International Commission on Non-Ionizing Radiation Protection (ICNIRP). Guidelines for limiting exposure to electromagnetic Fields (100 kHz to 300 GHz). Health Phys. 2020;118:483–524.
- Confédération suisse. Initiative populaire fédérale “Pour une téléphonie mobile respectueuse de la santé et économe en énergie”. https://www.admin.ch/opc/fr/federal-gazette/2019/6525.pdf.
- Effets sanitaires éventuels liés aux valeurs élevées de débit d’absorption spécifique de téléphones mobiles portés près du corps. Anses Rapport d’expertise collective. Téléphones mobiles portés près du corps et santé. Édition scientifique. Juillet 2019, p.128.
- Le Gouvernement agit pour limiter l’exposition aux émissions de certains téléphones mobiles et mieux informer le public. Communiqué de Presse Paris, le 25 octobre, https://solidarites-sante.gouv.fr/IMG/pdf/191025-_cp_anses.pdf.
- On Petitions for Review of an Order of the Federal Communications Commission. United States Court of Appeals, Decision; 2021 Aug 13 No. 20–1025. Consolidated with 20-1138.
- EMF scientist: International Appeal: Scientists call for Protection from Non-ionizing Electromagnetic Field Exposure. https:// www.emfscientist.org/index.php/emf-scientist-appeal. Accessed Oct 11, 2022.
- Hardell L., Carlberg M. Health risks from radiofrequency radiation, including 5G, should be assessed by experts with no conflicts of interest. Oncol. Lett. 2020; 20(15):1-11. https://doi.org/10.3892/ol.2020.11876.
- Guidelines for evaluation of radio interface technologies for IMT-Advanced. Report ITU-R M.2135-1, 2009.
- Guidelines for evaluation of radio interface technologies for IMT-2020. Report ITU-R M.2412-0, 2017.
- Evolved Universal Terrestrial Radio Access (E-UTRA); Base Station (BS) radio transmission and reception. 3GPP TS 36.104 V12.10.0 (2016-01).
- IMT Vision – Framework and overall objectives of the future development of IMT for 2020 and beyond. Rec. ITU-R M.2083, 2015.
- Тихвинский В.О., Бочечка Г.С. Концептуальные аспекты создания 5G. Электросвязь,. 2013;10: 29–33 [Tikhvinsky V.O., Bochechka G.S. Conceptual aspects of 5G. Electrosvyaz. 2013;10:29–33 (in Russ.)]
- Dahlman E., Parkvall S., Skold J. 5G NR: The Next Generation Wireless Access Technology. Academic Press, 2018, 441 p.
- Zhang Z., Xiao Y., Ma Z. et al. 6G Wireless Networks: Vision, Requirements, Architecture, and Key Technologies. IEEE VT Magazine.2019;3(14):28–41.
- Calvanese E., Strinati E.C., Barbarossa S. et al. 6G: The Next Frontier: From Holographic Messaging to Artificial Intelligence Using Subterahertz and Visible Light Communication. IEEE VT Magazine. 2019;3(14):42–50.
- Mordachev V. Mathematical Models for Radiosignals Dynamic Range Prediction in Space-Scattered Mobile Radiocommunication Networks. The IEEE Semi Annual VTC Fall, 2000; 8 p.
- Мордачев В.И. Системная экология сотовой радиосвязи. Минск, Изд. центр БГУ, 2009, 319 с. [Mordachev V. System ecology of cellular communications. Belarus State University Publishers, 2009, 319 p. (In Russ.)].
- Mordachev V., Loyka S. On Node Density – Outage Probability Tradeoff in Wireless Networks. IEEE JSAC. 2009;7(27):11201131.
- Mordachev V. Worst-Case Models of Electromagnetic Background Created by Cellular Base Stations. Proc. of the 9th Int. Wireless Communications & Mobile Computing Conf. (IWCMC 2013). Cagliari, Italy, 2013. P. 590–595.
- Mordachev V. Worst-Case Estimation of Electromagnetic Background Created by Cellular Mobile Stations Near Ground Surface. Proc. of the Int. Symp. “EMC Europe 2014”. Gothenburg, Sweden, 2014. P. 1275–1280.
- Mordachev V. Worst-Case Estimation of Electromagnetic Background Near Ground Surface Created by Heterogeneous Radioelectronic Environment. Proc. of the Joint IEEE Int. Symp. on Electromagnetic Compatibility and EMC EUROPE. Dresden, Germany, 2015. P. 1147–1152.
- Mordachev V. Electromagnetic Background Created by Base and Mobile Radio Equipment of Cellular Communications. Proc. of the Int. Symp. “EMC Europe 2016”. Wroclaw, Poland, 2016. P. 590–595.
- Mordachev V., Svistunov A. Required Levels of Radiation Power of GSM Base Stations on Urban Area Taking Into Account Attenuation in Buildings and Intrasystem EMC. Proc. of the Int. Symp. “EMC Europe 2016”. Wroclaw, Poland, 2016. P. 596–601.
- Mordachev V. System-Level Estimation of Prevailing Levels of EM Fields of Mobile Phones Considering Near-Field Zone Limitations of Their Antennas. Proc. of the Int. Symp. “EMC Europe 2017”. Angers, France, 2017. 6 p. (No. 64).
- Mordachev V. Restrictions on Wideband Systems of Mobile Communications of New Generations at Declared Expansion of Data Transfer Rates. Proc. of the Int. Symp. “EMC Europe 2018”. Amsterdam, The Netherlands, 2018. P. 202–207.
- Mordachev V. Estimation of Electromagnetic Background Intensity Created by Wireless Systems in Terms of the Prediction of Area Traffic Capacity. Proc. of the Int. Symp. “EMC Europe 2019”. Barcelona, Spain, 2019. P. 82–87.
- Mordachev V. Verification of Worst-Case Analytical Model for Estimation of Electromagnetic Background Created by Mobile (Cellular) Communications, Proc. of the Int. Virtual Conf. “EMC Europe 2020”. Rome, Italy, 2020. 6 p.
- Mordachev V. Electromagnetic Background Generated by Mobile (Cellular) Communications. Proc. of the Asia Pacific Int. Symp. on EMC “APEMC-2021”. Bali-Indonesia, 2021. P. 37–40.
- Мордачев В.И. Оценка вклада излучений пользовательского оборудования в антропогенный электромагнитный фон, создаваемый системами мобильной (сотовой) связи. Докл. БГУИР, 2023;21(5):50–58 [Mordachev V.I. Assessment of the Contribution of Radiations of User Equipment to the Anthropogenic Electromagnetic Background Created by Mobile (Cellular) Communications. Doklady BGUIR. 2023;21(5):50–58 (In Russ.) https://doi.org/10.35596/1729-7648-2023-21-5-50-58.
- Мордачев В.И., Ционенко Д.А. Влияние пространственной избирательности излучения базовых станций мобильной связи на уровень создаваемого ими электромагнитного фона. Докл. БГУИР. 2022;20(7):56–64 [Mordachev V.I., Tsyanenka D.A. Influence of spatial selectivity of radiation of base stations on the level of electromagnetic background created by mobile communications. Doklady BGUIR. 2022;20(7):56–64 (In Russ.)]. https://doi.org/10.35596/1729-7648-2022-20-7-56-64.
- Review of the harmonised technical conditions applicable to the 3.4–3.8 GHz (‘3.6 GHz’) frequency band. CEPT Report 67, 2018. P.17.
- Hillert L., Ahlbom A., Neasham D. et al. Call-related factors influencing output power from mobile phones. J. Expo Sci. Environ. Epidemiol. 2006;16:507–514.
- Kelsh M.A., Shum M., Sheppard A.R. et al. Measured radiofrequency exposure during various mobile-phone use scenarios. J. Expo Sci. Environ. Epidemiol. 2011;21:343–354.
- Propagation data and prediction methods for the planning of short-range outdoor radiocommunication systems and radio local area networks in the frequency range 300 MHz to 100 GHz. Rec. ITU-R P.1411-11.
- Shannon C.E. Communication in the presence of noise. Proc. IRE. 1949;1(37):10–21.
- Propagation data and prediction methods for the planning of indoor radiocommunication systems and radio local area networks in the frequency range 300 MHz to 450 GHz. Rec. ITU-R P.1238-10.
- Prediction of building entry loss. Rec. ITU-R P.2109-1.
- Тихвинский В.О., Терентьев С.В., Высочин В.П. Сети мобильной связи LTE/LTE Advanced: технологии 4G, приложения и архитектура. М.: Медиа Паблишер, 2014. 384 с. [Tikhvinskiy V., Terentiev S., Visochin V. LTE/LTE Advanced Mobile Networks: 4G technologies, applications architecture. Moscow: Media Publisher, 2014. 384 p. (In Russ.)].
- Ericsson Mobility Reports. 2011-2022. https://www.ericsson.com/en/reports-and-papers/mobility-report/reports. Accessed July 09, 2024.
- Оценка риска для здоровья населения от воздействия электромагнитных полей, создаваемых базовыми станциями сотовой подвижной электросвязи и широкополосного беспроводного доступа. Инструкция по применению. Утв. Министерством здравоохр. Респ. Беларусь 28.10.2010, Рег. № 093-0610 [Estimation of risk for population health from electromagnetic fields created by base stations of cellular mobile communications and broadband wireless access. Application instructions. Belarus Ministry of Health, No.093-0610, 2010 (In Russ.)].
- Svistunov A. Estimation of Electromagnetic Background Created by Equipment of Cellular Radio Networks in Urban Areas with High Spatial Density of Subscribers. Proc. of the Int. Symp. “EMC Europe 2018”. Amsterdam, The Netherlands, 2018. P. 184–189.
- Девятков, Н.Д., Голант М.Б., Бецкий О.В. Миллиметровые волны и их роль в процессах жизнедеятельности. М.: Радио и связь, 1991, 168 с. [Devyatkov N.D., Golant M.B., Betsky O.V. Millimeter waves and their role in life processes. Moscow: Radio & Svias., 1991. 168 p. (In Russ.)].
- Кураев А.А. Особенности распространения электромагнитных волн КВЧ в живых биологических объектах. Вести Нац. Акад. Наук Беларуси, сер. физ.-техн. наук. 2004;4:71–74 [Kuraev A.A. The pecularities of EHF electromagnetic waves propagation in alive biological objects. News of the National Academy of Sciences of Belarus, series of physical and technical sciences.2004;4:71–74 (In Russ.)].
- Григорьев О.А., Зубарев Ю.Б. Управление электромагнитной обстановкой: баланс между здоровьем и технологиями. Вестник связи. 2020;12:20–27 [Grigoriev O.A., Zubarev Yu.B. Electromagnetic Environment Management: Balance between Public Health and New Communication Technology. Vestnik Sviasy. 2020;12:20–27 (In Russ.)].
- Лукьянова С.Н. Электромагнитное поле СВЧ диапазона нетепловой интенсивности как раздражитель для центральной нервной системы. М.: ФМБЦ им. А.И. Бурназяна ФМБА России, 2015. 200 с. [Lukyanova S.N. The microwave range electromagnetic field of non-thermal intensity as a stimulus to the central nervous system. Moscow: FMBC Burnazyana FMBA Russia, 2015. 200 p. (In Russ.)].
- Предельно допустимые уровни (ПДУ) плотности потока энергии (ППЭ), создаваемой радиолокационными станциями в прерывистом режиме воздействия на население. Гигиенические нормативы 2.1.8. 11-34-2005, Утв. Постановлением Гл. гос. сан. врача Респ. Беларусь № 197 28.11.2005 [Maximum permissible levels (MPL) of energy flux density (EFD) created by radar stations in intermittent mode of exposure to the population. Hygienic standards 2.1.8.11-34-2005. Minsk: Belarus, 2005. (In Russ.)].
- Гигиенические нормативы и требования к обеспечению безопасности и(или) безвредности для человека факторов среды обитания. СанПиН 1.2.3685-21, Рос. Федерация, 2021. 469 с. [Hygienic standards and requirements for ensuring the safety and/or harmlessness of environmental factors for population. SanPiN 1.2.3685-21. Moscow, Russia, 2021. 469 p. (In Russ.)]
- Жаворонков Л.П., Петин В.Г. Количественные критерии микроволнового поражения. М.: ГЕОС, 2018, 232 с. [Zhavoronkov L.P., Petin V.G. Quantitative criteria of microwave damage. Moscow: GEOS Publ. 2018, 232 p. (In Russ.)]
- Григорьев О.А., Зубарев Ю.Б. Действие электромагнитной энергии беспроводной связи на человека: прогнозы роста обусловленной заболеваемости, их реализация и проблемы оценки. КОНЦЕПЦИИ. 2022;1 (41): 3–17 [Grigoriev O.A., Zubarev Yu.B. The effects of wireless communication electromagnetic energy influence on persons: predictions of the growth for conditioned morbidity, their implementation and problems of evaluation. CONCEPCII. 2022;1(41):3–17 (In Russ.)].
- Maes B. Standard of building biology testing methods. Inst. Building Biol. + Sustainability IBN, Rosenheim, Germany, Tech. Rep. SBM-2008, 2008.
- Guideline of the Austrian Medical Association for the Diagnosis and Treatment of EMF-Related Health Problems and Illnesses (EMF Syndrome), Standard, 2012. P. 1–17. [Online]. Available: https://www.magdahavas.com/wp-content/uploads/ 2012/06/Austrian-EMF-Guidelines-2012.pdf.
- Mordachev V. System analysis of electromagnetic environment created by radiating 4G/5G user equipment inside buildings. Proc. of the Int. Symp. “EMC Europe 2022”. Gothenburg, Sweden, 2022. P.525–530.
- Mordachev V. Influence of the Radiating UE Distribution Irregularity in Building Internal Space on the Level of Indoor Electromagnetic Background. Proc. of the Int. Symp. “EMC Europe 2023”.Krakow, Poland. 2023. 6 p.
- Мордачев В.И., Свистунов А.С., Синькевич Е.В. Электромагнитная безопасность систем мобильной связи 4G/5G. Докл. БГУИР. 2024;2(22):80–91 [Mordachev V., Svistunou A., Sinkevich E. Electromagnetic Safety of 4G/5G Mobile Communications. Doklady BGUIR. 2024;2(22):80–91. (In Russ.) https://doi.org/10.35596/1729-7648-2024-22-2-80-91.
Supplementary files








