Role of L-Type Calcium Channels in the Increased Fatigue of Rat Soleus Muscle under Functional Unloading
- Authors: Sharlo K.A.1, Lvova I.D.1, Tyganov S.A.1, Sidorenko D.A.1, Shenkman B.S.1
-
Affiliations:
- Institute of Biomedical Problems of the Russian Academy of Sciences RAS
- Issue: Vol 109, No 4 (2023)
- Pages: 517-529
- Section: EXPERIMENTAL ARTICLES
- URL: https://journal-vniispk.ru/0869-8139/article/view/137929
- DOI: https://doi.org/10.31857/S086981392304009X
- EDN: https://elibrary.ru/VJOVIZ
- ID: 137929
Cite item
Full Text
Abstract
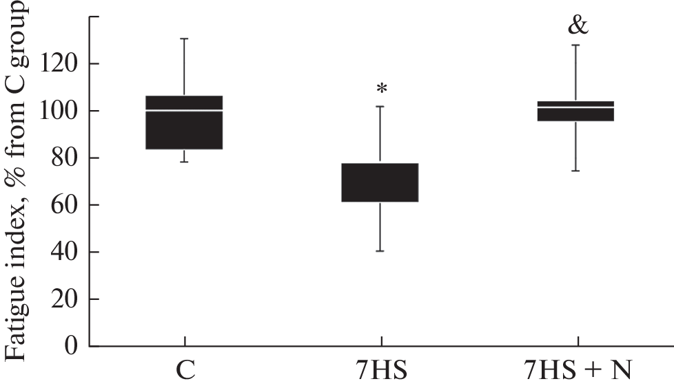
Excessive long-term accumulation of calcium ions in the myoplasm of skeletal muscles can negatively affect mitochondria and lead to muscle dysfunction. The aim of our study was to identify the role of L-type calcium channels in the development of increased fatigue rat soleus muscle under functional unloading. Young male Wistar rats were divided into three groups of 8 animals each: the vivarium control group (C), the group subjected to hind limb unloading for 7 days (7HS) and the group with 7 days of hindlimb unloading with daily intraperitoneal injections of nifedipine (7 mg/kg body weight). The administration of nifidipine during hindlimb unloading prevented the upregulation of calcium-dependent phosphorylation of calcium-calmodulin kinase II (CaMK II), prevented the increase in fatigue and contributed to the preservation of mitochondrial proteins, DNA and mRNA expression of a number of genes that regulate mitochondrial biogenesis.
About the authors
K. A. Sharlo
Institute of Biomedical Problems of the Russian Academy of Sciences RAS
Author for correspondence.
Email: sharlokris@gmail.com
Russia, Moscow
I. D. Lvova
Institute of Biomedical Problems of the Russian Academy of Sciences RAS
Email: sharlokris@gmail.com
Russia, Moscow
S. A. Tyganov
Institute of Biomedical Problems of the Russian Academy of Sciences RAS
Email: sharlokris@gmail.com
Russia, Moscow
D. A. Sidorenko
Institute of Biomedical Problems of the Russian Academy of Sciences RAS
Email: sharlokris@gmail.com
Russia, Moscow
B. S. Shenkman
Institute of Biomedical Problems of the Russian Academy of Sciences RAS
Email: sharlokris@gmail.com
Russia, Moscow
References
- Sharlo K, Tyganov SA, Tomilovskaya E, Popov DV, Saveko AA, Shenkman BS (2021) Effects of Various Muscle Disuse States and Countermeasures on Muscle Molecular Signaling. Int J Mol Sci 23(1): 468. https://doi.org/10.3390/ijms23010468
- Shenkman BS, Kozlovskaya IB (2019) Cellular Responses of Human Postural Muscle to Dry Immersion. Front Physiol 10: 187.https://doi.org/10.3389/fphys.2019.00187
- Ingalls CP, Warren GL, Armstrong RB (1999) Intracellular Ca2+ transients in mouse soleus muscle after hindlimb unloading and reloading. J Appl Physiol 87(1): 386–390. https://doi.org/10.1152/jappl.1999.87.1.386
- Ingalls CP, Wenke JC, Armstrong RB (2001) Time course changes in [Ca2+]i, force, and protein content in hindlimb-suspended mouse soleus muscles. Aviat Space Envir Med 72 (5): 471-476.
- Krivoi II, Kravtsova VV, Altaeva EG, Kubasov IV, Prokof’ev AV, Drabkina TM, Nikol’skii EE, Shenkman BS (2008) Decrease in the electrogenic contribution of Na,K-ATPase and resting membrane potential as a possible mechanism of calcium ion accumulation in filaments of the rat musculus soleus subjected to the short-term gravity unloading. Biofizika 53 (6): 1051-1057.
- Kravtsova VV, Matchkov VV, Bouzinova EV, Vasiliev AN, Razgovorova IA, Heiny JA, Krivoi II (2015) Isoform-specific Na,K-ATPase alterations precede disuse-induced atrophy of rat soleus muscle. Biomed Res Int 2015: 720172. https://doi.org/10.1155/2015/720172
- Andersson DC, Betzenhauser MJ, Reiken S, Meli AC, Umanskaya A, Xie W, Shiomi T, Zalk R, Lacampagne A, Marks AR (2011) Ryanodine receptor oxidation causes intracellular calcium leak and muscle weakness in aging. Cell Metab 14 (2): 196–207. https://doi.org/10.1016/j.cmet.2011.05.014
- Yu Z, Wang H, Tang W, Wang S, Tian X, Zhu Y, He H (2021) Mitochondrial Ca(2+) oscillation induces mitophagy initiation through the PINK1-Parkin pathway. Cell Death & Disease 12 (7): 632. https://doi.org/10.1038/s41419-021-03913-3
- Morey-Holton ER, Globus RK (2002) Hindlimb unloading rodent model: technical aspects. J Appl Physiol 92(4): 1367–1377. https://doi.org/10.1152/japplphysiol.00969.2001
- Gordon AM, Huxley AF, Julian FJ (1966) The variation in isometric tension with sarcomere length in vertebrate muscle fibres. J Physiol 184(1): 170–192.
- Burke RE, Levine DN, Salcman M, Tsairis P (1974) Motor units in cat soleus muscle: physiological, histochemical and morphological characteristics. J Physiol 238(3): 503–514. https://doi.org/10.1113/jphysiol.1974.sp010540
- Roy RR, Zhong H, Monti RJ, Vallance KA, Edgerton VR (2002) Mechanical properties of the electrically silent adult rat soleus muscle. Muscle & Nerve 26(3): 404–412. https://doi.org/10.1002/mus.10219
- Pfaffl MW (2001) A new mathematical model for relative quantification in real-time RT-PCR. Nucleic Acids Res 29(9): e45. https://doi.org/10.1093/nar/29.9.e45
- Matoba TWY, Ohira Y (1993) β-Guanidinopropionic acid suppresses suspension-induced changes in myosin expression in rat skeletal muscle. Med Sci Sports Exer 25: 157.
- Mulder ER, Kuebler WM, Gerrits KH, Rittweger J, Felsenberg D, Stegeman DF, de Haan A (2007) Knee extensor fatigability after bedrest for 8 weeks with and without countermeasure. Muscle Nerve 36(6): 798-806. https://doi.org/10.1002/mus.20870
- Sharlo K, Lvova I, Turtikova O, Tyganov S, Kalashnikov V, Shenkman B (2022) Plantar stimulation prevents the decrease in fatigue resistance in rat soleus muscle under one week of hindlimb suspension. Arch Biochem Biophys 718: 109150. https://doi.org/10.1016/j.abb.2022.109150
- Aлтаева ЕГ, Огнева ИВ, Шенкман БС (2010) Динамика уровня кальция и изменения содержания SERCA в мышечных волокнах крыс и монгольских песчанок при разгрузке задних конечностей различной продолжительности. Цитология 52(9): 770–775. [Altaeva EG, Ogneva IV, Shenkman BS (2010) Dynamics of calcium levels and changes SERCA content in muscle fibers of rats and Mongolian gerbils during hind limb unloadings of various duration. Tsitologiia 52 (9): 770–775. (In Russ)].
- Altamirano F, Valladares D, Henriquez-Olguin C, Casas M, Lopez JR, Allen PD, Jaimovich E (2013) Nifedipine treatment reduces resting calcium concentration, oxidative and apoptotic gene expression, and improves muscle function in dystrophic mdx mice. PloS One 8(12): e81222. https://doi.org/10.1371/journal.pone.0081222
- Andersson DC, Meli AC, Reiken S, Betzenhauser MJ, Umanskaya A, Shiomi T, D’Armiento J, Marks AR (2012) Leaky ryanodine receptors in beta-sarcoglycan deficient mice: a potential common defect in muscular dystrophy. Skelet Muscle 2(1): 9. https://doi.org/10.1186/2044-5040-2-9
- Yutaka Kano TS, Inagaki T, Sudo M, Poole DC (2012) Mechanisms of exercise-induced muscle damage and fatigue: Intracellular calcium accumulation. J Phys Fitness Sports Med 1 (3): 505–512. https://doi.org/10.7600/jpfsm.1.505
- Zhang Y, Marsboom G, Toth PT, Rehman J (2013) Mitochondrial respiration regulates adipogenic differentiation of human mesenchymal stem cells. PloS One 8(10): e77077. https://doi.org/10.1371/journal.pone.0077077
- Fernandez-Marcos PJ, Auwerx J (2011) Regulation of PGC-1alpha, a nodal regulator of mitochondrial biogenesis. Am J Clin Nutrit 93(4): 884S–890S. https://doi.org/10.3945/ajcn.110.001917
- Perrone M, Patergnani S, Di Mambro T, Palumbo L, Wieckowski M, Giorgi C, Pinton P (2022) Calcium homeostasis in the control of mitophagy. Antioxid Redox Signal 38(7-9): 581–598. https://doi.org/10.1089/ars.2022.0122
- Walsh M. ZQ, Musci RV, Hamilton KL (2022) The combination of NRF1 and Nrf2 activators in myoblasts stimulate mechanisms of proteostasis without changes in mitochondrial respiration. Redox Muscle Physiol Exerc Sport 1. https://doi.org/10.1016/j.rimpes.2022.100001
- Kasai S, Shimizu S, Tatara Y, Mimura J, Itoh K (2020) Regulation of Nrf2 by Mitochondrial Reactive Oxygen Species in Physiology and Pathology. Biomolecules 10 (2): 320. https://doi.org/10.3390/biom10020320
- Reynolds JC, Lai RW, Woodhead JST, Joly JH, Mitchell CJ, Cameron-Smith D, Lu R, Cohen P, Graham NA, Benayoun BA, Merry TL, Lee C (2021) MOTS-c is an exercise-induced mitochondrial-encoded regulator of age-dependent physical decline and muscle homeostasis. Nat Commun 12(1): 470. https://doi.org/10.1038/s41467-020-20790-0
- Мухина АМ, Алтаева ЕГ, Немировская ТЛ, Шенкман БС (2006) Роль Ca-каналов L-типа в накоплении Ca2+ и изменениях в распределении тяжелой цепи миозина и изоформ SERCA у M. soleus крысы при гравитационной разгрузке. Рос физиол журн им ИМ Сеченова 92(11): 1285–1295. [Mukhina AM, Altaeva EG, Nemirovskaia TL, Shenkman BS (2006) Role of L-type Ca-channels in Ca2+ accumulation and changes in distribution of myosin heavy chain and SERCA isoforms in rat M. soleus under gravitational unloading. Russ J Physiol 92 (11): 1285–1295. (In Russ)].
Supplementary files









