Дестабилизация генома клеток гиппокампа и костного мозга самцов мышей после действия иммобилизации и феромонального стрессора
- Авторы: Щербинина В.Д.1,2, Бакулевский Б.В.1, Глинин Т.С.1, Даев Е.В.1,2
-
Учреждения:
- Санкт-Петербургский государственный университет
- Институт физиологии им. И.П. Павлова РАН
- Выпуск: Том 109, № 7 (2023)
- Страницы: 844-861
- Раздел: ЭКСПЕРИМЕНТАЛЬНЫЕ СТАТЬИ
- URL: https://journal-vniispk.ru/0869-8139/article/view/137963
- DOI: https://doi.org/10.31857/S0869813923070129
- EDN: https://elibrary.ru/XIJRPZ
- ID: 137963
Цитировать
Полный текст
Аннотация
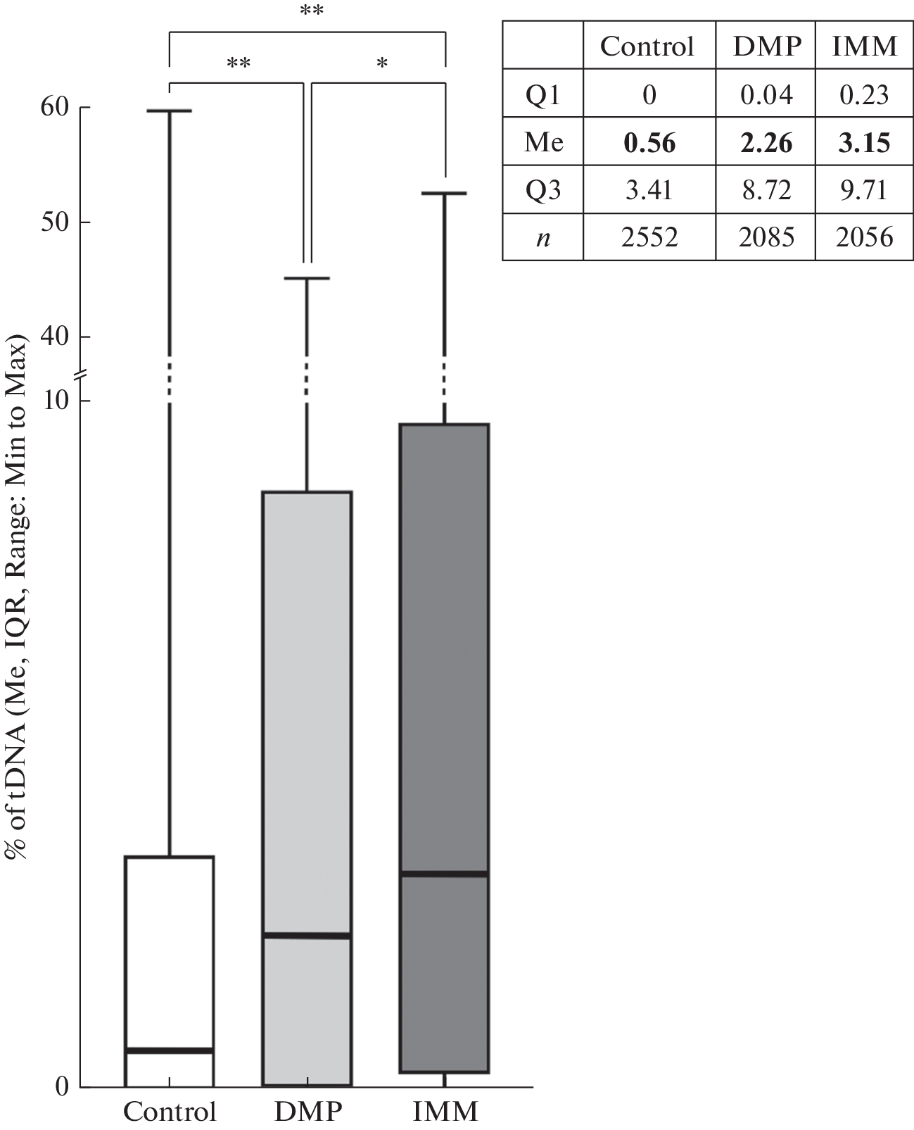
Стрессоры различной природы, воздействуя на клетки органов-мишеней, способны приводить к геномной нестабильности и даже дезинтеграции, что может играть роль в формировании постстрессорных патологий. На самцах лабораторных мышей различных линий (CD-1, CBA, C3H) цитогенетическими методами (щелочным кометным гель-электрофорезом, ана-телофазным анализом нарушений митоза и иммуноцитохимическим анализом фокусов γH2AX) изучали влияние психоэмоциональных стрессоров (иммобилизации и феромона стресса – 2,5-диметилпиразина) на целостность ДНК клеток гиппокампа и костного мозга. Показано, что как классический стрессор мышей – иммобилизация, так и 2,5-диметилпиразин повреждают геном клеток обоих исследованных органов. Дестабилизация генома клеток различных органов рассматривается как необходимый этап развития стресс-реакции в попытке организма приспособиться к экстремальным воздействиям среды.
Об авторах
В. Д. Щербинина
Санкт-Петербургский государственный университет; Институт физиологии им. И.П. Павлова РАН
Email: mouse_gene@mail.ru
Россия, Санкт-Петербург; Россия, Санкт-Петербург
Б. В. Бакулевский
Санкт-Петербургский государственный университет
Email: mouse_gene@mail.ru
Россия, Санкт-Петербург
Т. С. Глинин
Санкт-Петербургский государственный университет
Email: mouse_gene@mail.ru
Россия, Санкт-Петербург
Е. В. Даев
Санкт-Петербургский государственный университет; Институт физиологии им. И.П. Павлова РАН
Автор, ответственный за переписку.
Email: mouse_gene@mail.ru
Россия, Санкт-Петербург; Россия, Санкт-Петербург
Список литературы
- Anand KS, Dhikav V (2012) Hippocampus in health and disease: An overview. Ann Indian Acad Neurol 15: 239–246. https://doi.org/10.4103/0972-2327.104323
- Goldfarb EV, Rosenberg MD, Seo D, Constable RT, Sinha R (2020) Hippocampal seed connectome-based modeling predicts the feeling of stress. Nat Commun 11: 2650. https://doi.org/10.1038/s41467-020-16492-2
- Youssef MM, Hamada HT, Lai ESK, Kiyama Y, El-Tabbal M, Kiyonari H, Nakano K, Kuhn B, Yamamoto T (2022) TOB is an effector of the hippocampus-mediated acute stress response. Transl Psychiatry 12: 302. https://doi.org/10.1038/s41398-022-02078-7
- Love J, Zelikowsky M (2020) Stress Varies Along the Social Density Continuum. Front Syst Neurosci 14: 582985. https://doi.org/10.3389/fnsys.2020.582985
- Conrad CD, Magariños AM, LeDoux JE, McEwen BS (1999) Repeated restraint stress facilitates fear conditioning independently of causing hippocampal CA3 dendritic atrophy. Behav Neurosci 113: 902–913. https://doi.org/10.1037/0735-7044.113.5.902
- Ortiz JB, Conrad CD (2018) The impact from the aftermath of chronic stress on hippocampal structure and function: Is there a recovery? Front Neuroendocrinol 49: 114–123. https://doi.org/10.1016/j.yfrne.2018.02.005
- Levone BR, Cryan JF, O’Leary OF (2015) Role of adult hippocampal neurogenesis in stress resilience. Neurobiol Stress 1: 147–155. https://doi.org/10.1016/j.ynstr.2014.11.003
- Poller WC, Downey J, Mooslechner AA, Khan N, Li L, Chan CT, McAlpine CS, Xu C, Kahles F, He S, Janssen H, Mindur JE, Singh S, Kiss MG, Alonso-Herranz L, Iwamoto Y, Kohler RH, Wong LP, Chetal K, Russo SJ, Sadreyev RI, Weissleder R, Nahrendorf M, Frenette PS, Divangahi M, Swirski FK (2022) Brain motor and fear circuits regulate leukocytes during acute stress. Nature 607: 578–584. https://doi.org/10.1038/s41586-022-04890-z
- Rentscher KE, Carroll JE, Polsky LR, Lamkin DM (2022) Chronic stress increases transcriptomic indicators of biological aging in mouse bone marrow leukocytes. BBI – Health 22: 100461. https://doi.org/10.1016/j.bbih.2022.100461
- Duric V, Clayton S, Leong ML, Yuan LL (2016) Comorbidity Factors and Brain Mechanisms Linking Chronic Stress and Systemic Illness. Neural Plast 2016: 5460732. https://doi.org/10.1155/2016/5460732. Epub 2016 Feb 8
- Novotny MV, Ma W, Zidek L, Daev E (1999) Recent Biochemical Insights into Puberty Acceleration, Estrus Induction, and Puberty Delay in the House Mouse. In: Johnston RE, Müller-Schwarze D, Sorensen PW (eds) Advances in Chemical Signals in Vertebrates. Springer. Boston. MA. https://doi.org/10.1007/978-1-4615-4733-4_7
- Koyama S (2004) Primer effects by conspecific odors in house mice: a new perspective in the study of primer effects on reproductive activities. Hormones and Behavior 46: 303–310. https://doi.org/10.1016/j.yhbeh.2004.03.002
- Даев ЕВ (2011) Генетические эффекты ольфакторного стресса: исследования на домовой мыши. Saarbrucken. Germany: Lambert Acad Publ. [Daev EV (2011) Genetic effects of olfactory stress: house mouse studies. Lambert Acad Publ. Saarbrucken. Germany. (In Russ)].
- Shcherbinina VD, Petrova MV, Glinin TS, Daev EV (2021) Genotoxic effect of restraint and stress pheromone on somatic and germ cells of mouse males Mus musculus L. Ecol Genetics 19: 169–179. https://doi.org/10.17816/ecogen65208
- Higashimoto M, Isoyama N, Ishibashi S, Ogawa N, Takiguchi M, Suzuki S, Ohnishi Y, Sato M (2013) Preventive effects of metallothionein against DNA and lipid metabolic damages in dyslipidemic mice under repeated mild stress. J Med Invest 60: 240–248. https://doi.org/10.2152/jmi.60.240
- Дурнев АД, Жанатаев АК, Анисина ЕА, Сиднева ЕС, Никитина ВА, Оганесянц ЛА, Середин СБ, Бекиш ВЯ, Чернуха ИМ (2006) Применение метода щелочного гель-электрофореза изолированных клеток для оценки генотоксических свойств природных и синтетических соединений: Метод рекомендации. Москва. [Durnev AD, Zhanataev AK, Anisina EA, Sidneva ES, Nikitina VA, Oganesyants LA, Seredin SB, Bekish VYa, Chernukha IM (2006) Application of alkaline gel electrophoresis of isolated cells to assess the genotoxic properties of natural and synthetic compounds: Guidelines. Moscow. (In Russ)].
- Dhawan A, Bajpayee M (eds.) (2019) Genotoxicity Assessment: Methods and Protocols MIMB 2031. https://doi.org/10.1007/978-1-4939-9646-9
- Глинин ТС (2018) Пути стабилизации и дестабилизации генома клеток костного мозга мыши при действии ольфакторных хемосигналов. Дис. ... канд. биол. наук, СПбГУ, Санкт-Петербург [Glynin TS (2018) Pathways of stabilization and destabilization of bone marrow cell genome under olfactory chemosignals action in mice. PhD thesis in Biology, SPBU, Saint-Petersubrg. (In Russ)].
- Sannino G, Pasqualini L, Ricciardelli E, Montilla P, Soverchia L, Ruggeri B, Falcinelli S, Renzi A, Ludka C, Kirchner T, Grünewald TG, Ciccocioppo R, Ubaldi M, Hardiman G (2016) Acute stress enhances the expression of neuroprotection- and neurogenesis-associated genes in the hippocampus of a mouse restraint model. Oncotarget 7: 8455–8465. https://doi.org/10.18632/oncotarget.7225
- Ubaldi M, Ricciardelli E, Pasqualini L, Sannino G, Soverchia L, Ruggeri B, Falcinelli S, Renzi A, Ludka C, Ciccocioppo R, Hardiman G (2015) Biomarkers of hippocampal gene expression in a mouse restraint chronic stress model. Pharmacogenomics 16: 471–482. https://doi.org/10.2217/pgs.15.3
- Tomczak A, Mortensen JM, Winnenburg R, Liu C, Alessi DT, Swamy V, Vallania F, Lofgren S, Haynes W, Shah NH, Musen MA, Khatri P (2018) Interpretation of biological experiments changes with evolution of the Gene Ontology and its annotations. Sci Rep 8: 5115. https://doi.org/10.1038/s41598-018-23395-2
- Cembrowski MS, Wang L, Sugino K, Shields BC, Spruston N (2016) Hipposeq: a comprehensive RNA-seq database of gene expression in hippocampal principal neurons. eLife 5: e14997. https://doi.org/10.7554/eLife.14997
- Saxe MD, Battaglia F, Wang JW, Malleret G, David DJ, Monckton JE, Garcia AD, Sofroniew MV, Kandel ER, Santarelli L, Hen R, Drew MR (2006) Ablation of hippocampal neurogenesis impairs contextual fear conditioning and synaptic plasticity in the dentate gyrus. Proc Natl Acad Sci U S A 103: 17501–17506. https://doi.org/10.1073/pnas.0607207103
- Leuner B, Gould E (2010) Structural Plasticity and Hippocampal Function. Annu Rev Psychol 61: 111–140. https://doi.org/10.1146/annurev.psych.093008.100359
- Hunter RG, Seligsohn M, Rubin TG, Griffiths BB, Ozdemir Y, Pfaff DW, Datson NA, McEwen BS (2016) Stress and corticosteroids regulate rat hippocampal mitochondrial DNA gene expression via the glucocorticoid receptor. Proc Natl Acad Sci U S A 113: 9099–9104. https://doi.org/10.1073/pnas.1602185113
- Picard M, McEwen BS (2018) Psychological Stress and Mitochondria: A Systematic Review. Psychosom Med 80: 141–153. https://doi.org/10.1097/PSY.0000000000000545
- Malvandi AM, Haddad F, Moghimi A (2010) Acute restraint stress increases the frequency of vinblastine-induced micronuclei in mouse bone marrow cells. Stress 13: 276–280. https://doi.org/10.3109/10253890903296710
- Newman AEM, Edmunds NB, Ferraro S, Heffell Q, Merritt GM, Pakkala JJ, Schilling CR, Schorno S (2015). Using ecology to inform physiology studies: implications of high population density in the laboratory. Am J Physiol Regul Integr Comp Physiol 308: R449–R454. https://doi.org/10.1152/ajpregu.00328.2014
- Bronson FH (1979) The reproductive ecology of the house mouse. Q Rev Biol 54: 265–299. https://doi.org/10.1086/411295
- Wilhelm T, Said M, Naim V (2020) DNA Replication Stress and Chromosomal Instability: Dangerous Liaisons. Genes (Basel) 11: 642. https://doi.org/10.3390/genes11060642
- Maldung A, Comai L (2004) The Effect of Stress on Genome Regulation and Structure. Ann Bot 94: 481–495. https://doi.org/10.1093/aob/mch172
- Dumoulin O (2021) The Role of Stress in the Spread of Transposable Elements. MSURJ 16: 67–73. https://doi.org/10.26443/msurj.v16i1.63
- Кайданов ЛЗ (1981) Об адаптивном значении скорости мутационного процесса. Исследования по генетике. 9: 105-112. [Kaidanov LZ (1981) On the adaptive value of the rate of the mutation process. Res Genet 9: 105–112. (In Russ)].
- Hoffmann AA, Hercus MJ (2000) Environmental Stress as an Evolutionary Force. BioScience 50: 217–226. https://doi.org/10.1641/0006-3568(2000)050[0217:esaaef]2.3.co;2
Дополнительные файлы










