Снижение мышечной массы при диет-индуцированном висцеральном ожирении у крыс-самцов линии Вистар: связь с гормонально-метаболическими показателями
- Авторы: Митюкова Т.А.1, Басалай А.А.1, Чудиловская Е.Н.1, Полулях О.Е.1, Щербаков Я.В.1, Костюченко Н.С.1
-
Учреждения:
- Институт физиологии Национальной академии наук Беларуси
- Выпуск: Том 109, № 7 (2023)
- Страницы: 921-932
- Раздел: ЭКСПЕРИМЕНТАЛЬНЫЕ СТАТЬИ
- URL: https://journal-vniispk.ru/0869-8139/article/view/137968
- DOI: https://doi.org/10.31857/S0869813923070099
- EDN: https://elibrary.ru/XMVPMR
- ID: 137968
Цитировать
Полный текст
Аннотация
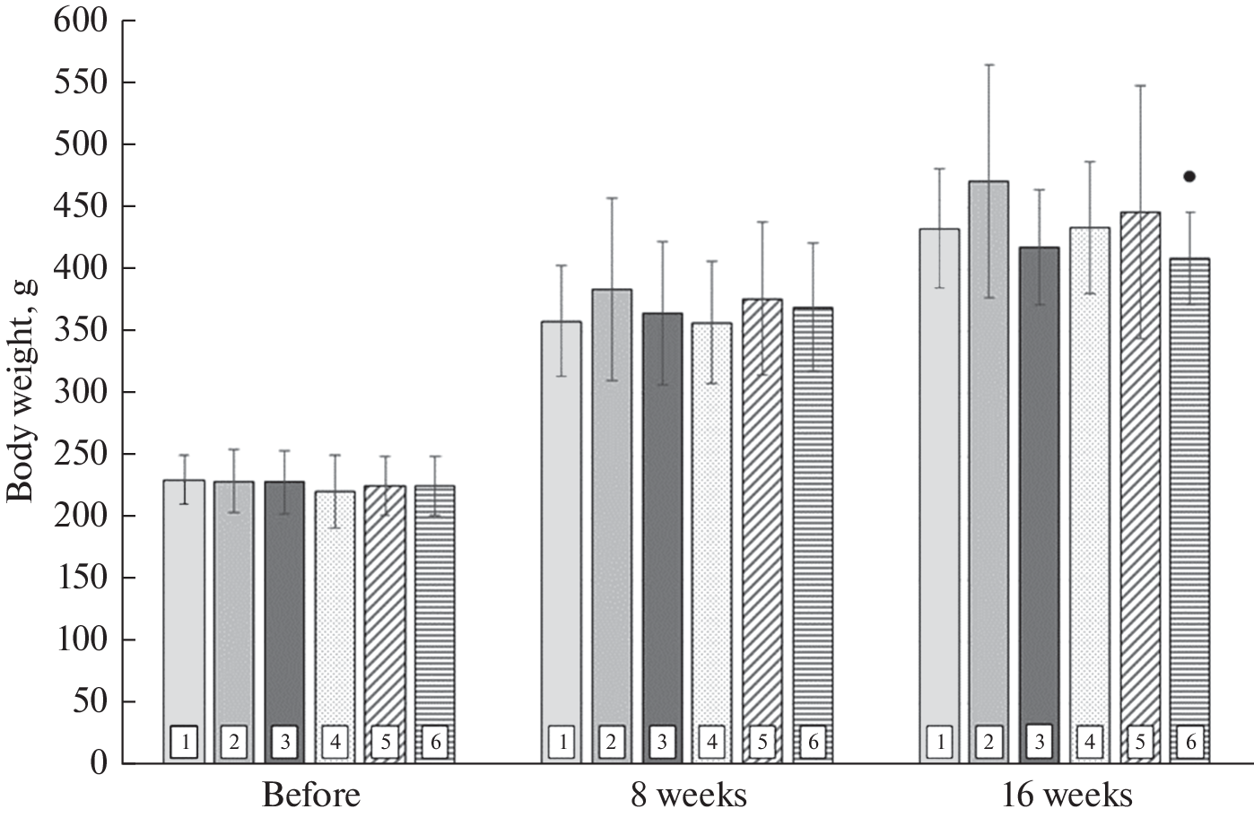
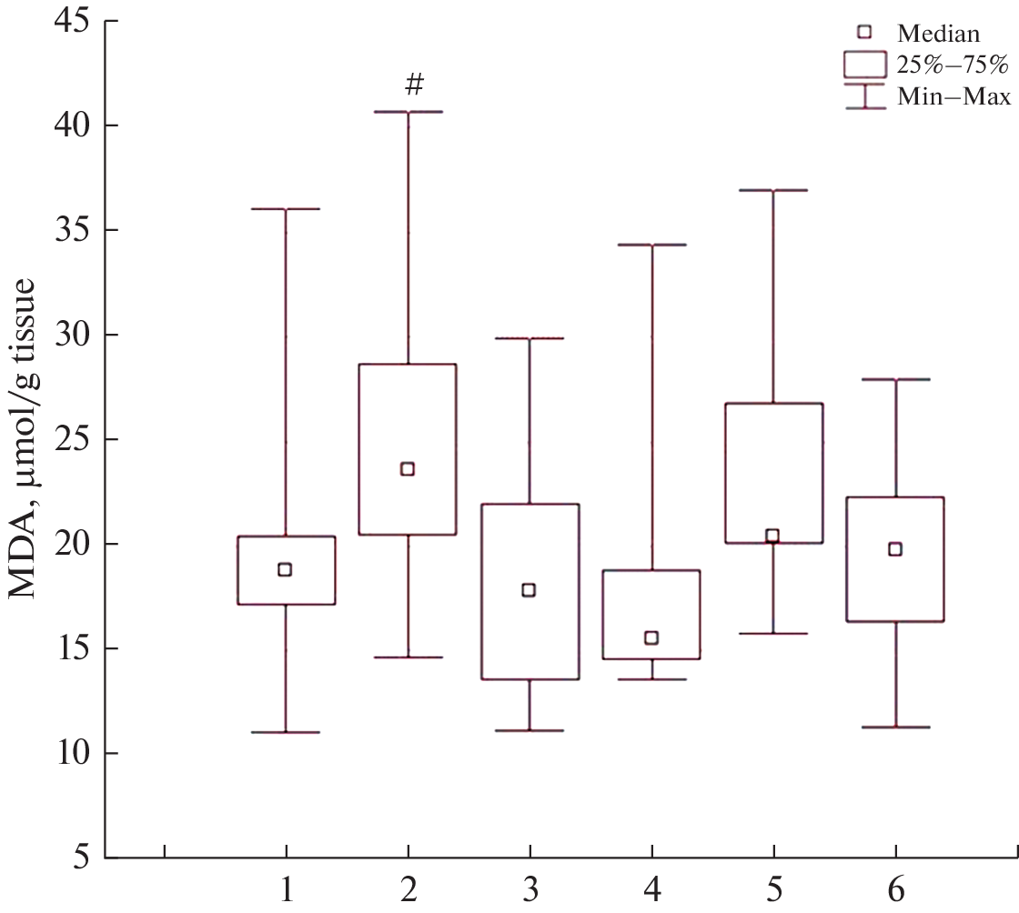
Снижение мышечной массы, как правило, развивается при старении организма, однако при ожирении также регистрируются признаки снижения массы и функциональной активности скелетной мускулатуры, что требует экспериментальных исследований. Цель работы – изучить влияние диет-индуцированного ожирения и оздоровительных вариантов его коррекции на масс-метрические и метаболические показатели тканей трехглавых мышц голени у крыс-самцов линии Вистар. Опыты проводились на половозрелых крысах и включали изучение масс-метрических, метаболических и гормональных показателей, характеризующих состояние мышечной ткани при стандартной (СтД, 16 нед) и высококалорийной диетах (ВКД, 16 нед), при переходе от ВКД к стандартной диете (ВКД/СтД, 8/8 нед), при подключении физических нагрузок в виде бега на тредмиле (СтД + бег, ВКД + бег и ВКД/СтД + бег, 8/8). Длительная высококалорийная диета приводила к развитию висцерального ожирения и снижению массы трехглавой мышцы голени у исследуемых животных. При ВКД в скелетных мышцах регистрировались метаболические сдвиги – нарастание содержания глюкозы, лактата, активности лактатдегидрогеназы и перекисного окисления липидов. Висцеральное ожирение сопровождалось снижением содержания тестостерона в сыворотке крови, но при этом в мышечной ткани сохранялась относительно стабильная концентрации гормона. Применение умеренных физических нагрузок при ВКД не приводило к коррекции массы висцерального жира, не предупреждало снижения мышечной массы, но вызывало нормализацию биохимических показателей в мышечной ткани и уровня тестостерона в сыворотке крови. Наиболее адекватная коррекция висцерального ожирения, мышечной массы и биохимических показателей в мышечной ткани у крыс-самцов достигалась при переходе от высококалорийной к сбалансированной диете независимо от физических нагрузок. Таким образом, коррекция диет-индуцированного висцерального ожирения, мышечной массы и сопряженных метаболических сдвигов у крыс-самцов линии Вистар требует перехода к сбалансированному питанию.
Об авторах
Т. А. Митюкова
Институт физиологии Национальной академии наук Беларуси
Автор, ответственный за переписку.
Email: mityukovat@gmail.com
Беларусь, Минск
А. А. Басалай
Институт физиологии Национальной академии наук Беларуси
Автор, ответственный за переписку.
Email: anastasiya.basalay@gmail.com
Беларусь, Минск
Е. Н. Чудиловская
Институт физиологии Национальной академии наук Беларуси
Email: anastasiya.basalay@gmail.com
Беларусь, Минск
О. Е. Полулях
Институт физиологии Национальной академии наук Беларуси
Email: anastasiya.basalay@gmail.com
Беларусь, Минск
Я. В. Щербаков
Институт физиологии Национальной академии наук Беларуси
Email: anastasiya.basalay@gmail.com
Беларусь, Минск
Н. С. Костюченко
Институт физиологии Национальной академии наук Беларуси
Email: anastasiya.basalay@gmail.com
Беларусь, Минск
Список литературы
- The European Health Report 2021. Taking stock of the health-related Sustainable Development Goals in the COVID-19 era with a focus on leaving no one behind. Copenhagen: WHO Regional Office for Europe; 2022. Licence: CC BY-NC-SA 3.0 IGO.
- Tomlinson DJ, Erskine RM, Morse CI, Winwood K, Pearson GO (2016) The impact of obesity on skeletal muscle strength and structure through adolescence to old age. Biogerontology 17(3): 467–483. https://doi.org/10.1007/s10522-015-9626-4
- Mercier S, Mosoni L, Obled C, Patureau Mirand P, Breuille D (2002) Chronic inflammation alters protein metabolism in several organs of adult rats. J Nutr 132(7): 1921–1928. https://doi.org/10.1093/jn/132.7.1921
- Романцова ТИ, Сыч ЮП (2019) Иммунометаболизм и метавоспаление при ожирении. Ожирение и метаболизм 16(4): 3–17. [Romantsova TR, Sych YuP (2019) Immunometabolism and metainflammation in obesity. Obesity and metabolism 16(4): 3–17. (In Russ)]. https://doi.org/10.14341/omet12218
- Van den Beld AW, De Jong FH, Grobbee DE, Pols HA, Lamberts SW (2000) Measures of bioavailable serum testosterone and estradiol and their relationships with muscle strength, bone density, and body composition in elderly men. J Clin Endocrinol Metab 85(9): 3276–3282. https://doi.org/10.1210/jcem.85.9.6825
- Auyeung TW, Lee JS, Kwok T, Leung J, Ohlsson C, Vandenput L, Leung PC, Woo J (2011) Testosterone but not estradiol level is positively related to muscle strength and physical performance independent of muscle mass: a cross-sectional study in 1489 older men. Eur J Endocrinol 164(5): 811–817. https://doi.org/10.1530/EJE-10-0952
- Gharahdaghi N, Phillips BE, Szewczyk NJ, Smith K, Wilkinson DJ, Atherton PJ (2021) Links between testosterone, oestrogen, and the growth hormone/insulin-like growth factor axis and resistance exercise muscle adaptations. Front Physiol 11: 621226. https://doi.org/10.3389/fphys.2020.621226
- Salucci S, Falcieri E (2020) Polyphenols and their potential role in preventing skeletal muscle atrophy. Nutr Res 74: 10–22. https://doi.org/10.1016/j.nutres.2019.11.004
- Gupta P, Kumar S (2022) Sarcopenia and endocrine ageing: Are they related? Cureus 14(9): 1–10. https://doi.org/10.7759/cureus.28787
- Aizawa K, Iemitsu M, Otsuki T, Maeda S, Miyauchi T, Mesaki N (2008) Sex differences in steroidogenesis in skeletal muscle following a single bout of exercise in rats. J Appl Physiol 104: 67–74. https://doi.org/10.1152/japplphysiol.00558.2007
- Gancheva S, Zhelyazkova-Savova M, Galunska B, Chervenkov T (2015) Experimental models of metabolic syndrome in rats. Scripta Sci Med 47(2): 14–21. https://doi.org/10.14748/ssm.v47i2.1145
- Wang R, Tian H, Guo D, Tian Q, Yao T, Kong X (2020) Impacts of exercise intervention on various diseases in rats. J Sport Health Sci 9(3): 211–227. https://doi.org/10.1016/j.jshs.2019.09.008
- Стальная ИД, Гаришвили ТГ (1977) Метод определения малонового диальдегида с помощью тиобарбитуровой кислоты. В кн.: Современные методы в биохимии. M. Медицина. 66–68. [Stalnaya ID, Garishvili TG (1977) Method for the determination of malondialdehyde using thiobarbituric acid. In: Modern methods in biochemistry. M. Medicine. 66–68. (In Russ)].
- Aizawa K, Iemitsu M, Maeda S, Jesmin S, Otsuki T, Mowa CN, Miyauchi T, Mesaki N (2007) Expression of steroidogenic enzymes and synthesis of sex steroid hormones from DHEA in skeletal muscle of rats. Am J Physiol Endocrinol Metab 292(2): E577–E584. https://doi.org/10.1152/ajpendo.00367.2006
- Jîtcă G, Ősz BE, Tero-Vescan A, Miklos AP, Rusz C-M, Bătrînu M-G, Vari CE (2022) Positive aspects of oxidative stress at different levels of the human body: a review. Antioxidants (Basel) 11(3): 572. https://doi.org/10.3390/antiox11030572
- Zhai L, Zhao J, Zhu Y, Liu Q, Niu W, Liu C, Wang Y (2018) Downregulation of leptin receptor and kisspeptin/GPR54 in the murine hypothalamus contributes to male hypogonadism caused by high-fat diet-induced obesity. Endocrine 62: 195–206. https://doi.org/10.1007/s12020-018-1646-9
- Sato K, Iemitsu M (2018) The role of Dehydroepiandrosterone (DHEA) in skeletal muscle. Vitam Horm 108: 205–221. https://doi.org/10.1016/bs.vh.2018.03.002
- Sato K, Iemitsu M (2015) Exercise and sex steroid hormones in skeletal muscle. J Steroid Biochem Mol Biol 145: 200–205. https://doi.org/10.1016/j.jsbmb.2014.03.009
- Комольцев ИГ, Франкевич СО, Широбокова НИ, Костюнина ОВ, Волкова АА, Башкатова ДА, Шальнева ДВ, Кострюков ПА, Салып ОЮ, Новикова МР, Гуляева НВ (2022) Время суток нанесения удара влияет на выраженность немедленных судорог и повышение уровня кортикостерона при моделировании черепно-мозговой травмы. Рос физиол журн им ИМ Сеченова 108(12): 1668–1679. [Komoltsev IG, Frankevich SO, Shirobokova NI, Kostyunina OV, Volkova AA, Bashkatova DA, Shalneva DV, Kostrukov PA, Salyp OYu, Novikova MR, Gulyaeva NV (2022) Acute corticosterone elevation and immediate seizure expression in rats depends on the time of the day when lateral fluid percussion brain injury has been applied. Russ J Physiol 108(12): 1668–1679. (In Russ)]. https://doi.org/10.31857/S086981392212007X
- Mengeste AM, Rustan AC, Lund J (2021) Skeletal muscle energy metabolism in obesity. Obesity 29(10): 1582–1595. https://doi.org/10.1002/oby.23227
Дополнительные файлы




