Comparative Analysis of Disorders of Heart Rhythm Regulation Mechanisms Induced in Newborn Rats by Nickel Chloride and the Acetylcholinesterase Inhibitor Physostigmine (Eserine)
- Authors: Kuznetsov S.V.1, Kuznetsova N.N.1
-
Affiliations:
- Sechenov Institute of Evolutionary Physiology and Biochemistry Russian Academy of Sciences
- Issue: Vol 109, No 8 (2023)
- Pages: 1124-1139
- Section: EXPERIMENTAL ARTICLES
- URL: https://journal-vniispk.ru/0869-8139/article/view/137983
- DOI: https://doi.org/10.31857/S0869813923080058
- EDN: https://elibrary.ru/LQQYSP
- ID: 137983
Cite item
Full Text
Abstract
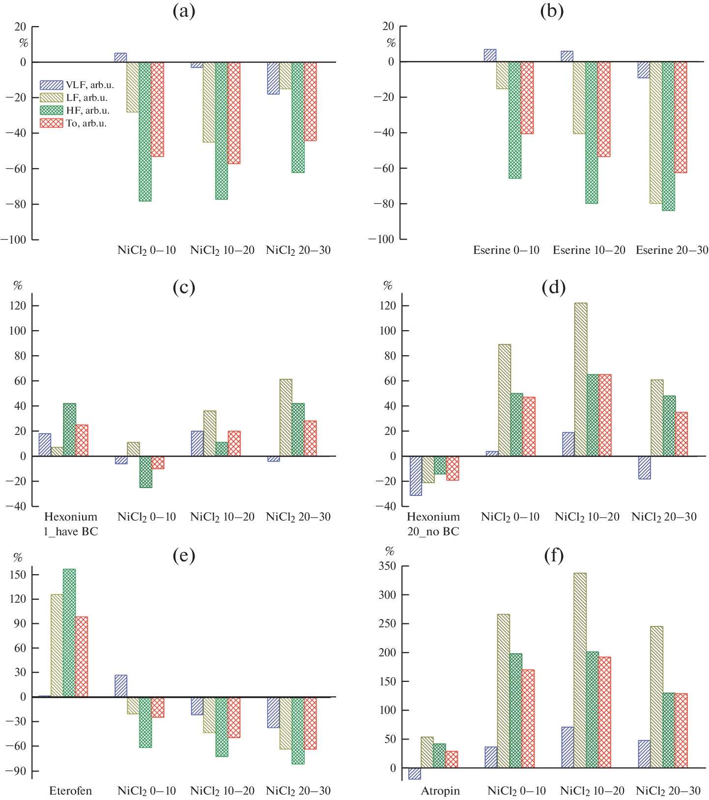
A comparative analysis of heart rate variability (HRV) indices after injection of the acetylcholinesterase inhibitor (AChE) physostigmine (¾ LD50) and the T-type calcium channel blocker (T-VDCC) Ni2+ (ED100) into animals was performed in experiments on 3-day-old newborn rats. Both drugs cause phenomenologically similar pathological heart rhythm with significant bradycardia complexes (PHRBC). Analysis of HRV indices showed that the disturbance of heart rhythm regulation mechanisms in NiCl2 poisoning of rats and in cholinoreactive structure activation caused by AChE inhibition develop according to a similar pattern. In both cases there is a decrease in the total power of the spectrum and the absolute power values of the LF (predominantly sympathetic) and HF (parasympathetic influences) bands. Significant decrease in the level of nerve influences leads to the fact that the dominant role in the regulation of heart rhythm begins to play neurohumoral factors (VLF-band). It was found that under conditions of premedication with H- or M-cholinolytics, when rats do not develop cardiac rhythm disturbances, the initial decrease in the severity of neurohumoral and subsequent increase in sympathetic and, to a lesser extent, parasympathetic influences is common. In this case, vagosympathetic balance is not decisive. In case the influence of neurohumoral factors increases after premedication, then later there is a decrease in the proportion of nerve influences and the occurrence of PHRBC. The obtained data suggest that in newborn rats both direct blockade of T-VDCC and changes in ICaT current mediated through M3-subtype muscarinic cholinoreceptors lead to disruption of pacing and development of PHRBC.
About the authors
S. V. Kuznetsov
Sechenov Institute of Evolutionary Physiology and Biochemistry Russian Academy of Sciences
Author for correspondence.
Email: ksv@iephb.ru
Russia, Saint Petersburg
N. N. Kuznetsova
Sechenov Institute of Evolutionary Physiology and Biochemistry Russian Academy of Sciences
Email: ksv@iephb.ru
Russia, Saint Petersburg
References
- Timopheeva OP, Vdovichenko ND, Kuznetsov SV (2012) Dynamics of the formation of rhythmic activity of the heart in fetuses and newborn rats. Bull Exp Biol Med 152 (4): 397–401. https://doi.org/10.1007/s10517-012-1537-7
- Sizonov VA, Dmitrieva LE (2018) Heart Rhythm Disturbances Caused by Injection of Cholinesterase Inhibitor Physostigmine to Rats during the Early Ontogeny. Bull Exp Biol Med 165(1): 44–47. https://doi.org/10.1007/s10517-018-4095-9
- Kuznetsov SV, Goncharov NV, Glashkina LM (2005) Change of parameters of functioning of the cardiovascular and respiratory systems in rats of different ages under effects of low doses of the cholinesterase inhibitor phosphacol. J Evol Biochem Physiol 41(2): 201–210. https://doi.org/10.1007/s10893-005-0055x
- Kuznetsov SV, Kuznetsova NN (2022) Effects of Ni2+ on Heart and Respiratory Rhythms in Newborn Rats. J Evol Biochem Physiol 58(5): 1367–1380. https://doi.org/10.1134/S0022093022050088
- Chuang HC, Hsueh TW, Chang CC, Hwang JS, Chuang KJ, Yan YH, Cheng TJ (2013) Nickel-regulated heart rate variability: the roles of oxidative stress and inflammation. Toxicol Appl Pharmacol 266(2): 298–306. https://doi.org/10.1016/j.taap.2012.11.006
- Hu J, Fan H, Li Y, Li H, Tang M, Wen J, Huang C, Wang C, Gao Y, Kan H, Lin J, Chen R (2020) Fine particulate matter constituents and heart rate variability: A panel study in Shanghai, China. Sci Total Environ 747: 141199. https://doi.org/10.1016/j.scitotenv.2020.141199
- Liberda EN, Zuk AM, Tsuji LJS (2021) Heart rate variation and human body burdens of environmental mixtures in the Cree First Nation communities of Eeyou Istchee, Canada. Environ Int 146: 106220. https://doi.org/10.1016/j.envint.2020.106220
- Sizonov VA, Dmitrieva LE, Kuznetsov SV (2019) The Effect of M-Cholinoreceptor Blockade on Functional Activity of Somatomotor, Cardiovascular and Respiratory Systems in Newborn Rats upon Activation of Cholinoreactive Structures. J Evol Biochem Physiol 55(3): 198–207. https://doi.org/10.1134/S0022093019030050
- Sizonov VA, Dmitrieva LE (2019) Changes in Activities of Somatovisceral Systems in Newborn Rats under Conditions of Nicotinic Cholinoreceptor Blockage and Activation of Cholinoreactive Structures. Bull Exp Biol Med 167(2): 220–226.
- Baevsky RM, Chernikova AG (2017) Heart rate variability analysis: physiological foundations and main methods. Cardiometry 10: 66–76. https://doi.org/10.12710/CARDIOMETRY.2017.10.6676
- Robinson RB (1996) Autonomic receptor – effector coupling during post-natal development. Cardiovasc Res 31 (Issue supp1): E68–E76. https://doi.org/10.1016/S0008-6363(95)00151-4
- Zefirov TL, Gibina AE, Salman MAH, Ziyatdinova NI, Zefirov AL (2007) M3 cholinergic receptors are involved in postnatal development of cholinergic regulation of cardiac activity in rats. Bull Exp Biol Med 144(8): 171–173. https://doi.org/10.1007/s10517-007-0281-x
- Ziyatdinova NI, Sergeeva AM, Dementieva RE, Zefirov TL (2012) Peculiar Effects of Muscarinic M1, M2, and M3 Receptor Blockers on Cardiac Chronotropic Function in Neonatal Rats. Bull Exp Biol Med 154(1): 1–2. https://doi.org/10.1007/s10517-012-1859-5
- Tapilina SV, Abramochkin DV (2016) Decrease in the Sensitivity of Myocardium to M3 Muscarinic Receptor Stimulation during Postnatal Ontogenisis. Acta Naturae 8(2): 127–131. https://doi.org/10.32607/20758251-2016-8-2-127-131
- Wang Y, Morishima M, Ono K (2022) Protein Kinase C Regulates Expression and Function of the Cav3.2 T-Type Ca2+ Channel during Maturation of Neonatal Rat Cardiomyocyte. Membranes (Basel) 12(7): 686. https://doi.org/10.3390/membranes12070686
- Alvarez C, Bladé C, Cartañà J (1993) α2-adrenergic blockade prevents hyperglycemia and hepatic glutathione depletion in nickel-injected rats. Toxicol Appl Pharmacol 121(1): 112–117. https://doi.org/10.1006/taap.1993.1135
- De Diego AM, Gandía L, García AG (2008) A physiological view of the central and peripheral mechanisms that regulate the release of catecholamines at the adrenal medulla. Acta Physiol (Oxf) 192(2): 287–301. https://doi.org/10.1111/j.1748-1716.2007.01807.x
- Criado M (2018) Acetylcholine nicotinic receptor subtypes in chromaffin cells. Pflugers Arch – Eur J Physiol 470: 13–20. https://doi.org/10.1007/s00424-017-2050-7
- Giancippoli A, Novara M, de Luca A, Baldelli P, Marcantoni A, Carbone E, Carabelli V (2006) Low-threshold exocytosis induced by cAMP-recruited CaV3.2 (alpha1H) channels in rat chromaffin cells. Biophys J 90(5): 1830–1841. https://doi.org/10.1529/biophysj.105.071647
- Bournaud R, Hidalgo J, Yu H, Jaimovich E, Shimahara T (2001) Low threshold T-type calcium current in rat embryonic chromaffin cells. J Physiol 537(1): 35–44. https://doi.org/10.1111/j.1469-7793.2001.0035k.x
- Sallam MY, El-Gowilly SM, Fouda MA, Abd-Alhaseeb MM, El-Mas MM (2019) Brainstem cholinergic pathways diminish cardiovascular and neuroinflammatory actions of endotoxemia in rats: Role of NFκB/α7/α4β2AChRs signaling. Neuropharmacology 157: 107683. https://doi.org/10.1016/j.neuropharm.2019.107683
- Лосев НА, Сапронов НС, Хныченко ЛК, Шабанов ПД (2015) Фармакология новых холинергических средств (фармакология – клинике). СПб. Арт-Экспресс. [Losev NA, Sapronov NS, Khnychenko LK, Shabanov PD (2015) Pharmacology of new cholinergic agents (pharmacology to the clinic). SPb. Art-Express. (In Russ)].
- Wang Z, Shi H, Wang H (2004) Functional M3 muscarinic acetylcholine receptors in mammalian hearts. Br J Pharmacol 142(3): 395–408. https://doi.org/10.1038/sj.bjp.0705787
- Денисенко ПП (1959) Ганглиолитики. Л. Медгиз. [Denisenko PP (1959) Gangliolitiki. L. Medgiz. (In Russ)].
- Nagayama T, Matsumoto T, Kuwakubo F, Fukushima Y, Yoshida M, Suzuki-Kusaba M, Hisa H, Kimura T, Satoh S (1999) Role of calcium channels in catecholamine secretion in the rat adrenal gland. J Physiol 520(2): 503–512. https://doi.org/10.1111/j.1469-7793.1999.00503.x
- Kimura J, Miyamae S, Noma A (1987) Identification of sodium-calcium exchange current in single ventricular cells of guinea-pig. J Physiol 384: 199–222. https://doi.org/10.1113/jphysiol.1987.sp016450
- Reppel M, Fleischmann BK, Reuter H, Pillekamp F, Schunkert H, Hescheler J (2007) Regulation of Na+/Ca2+ exchange current in the normal and failing heart. Ann N Y Acad Sci 1099: 361–372. https://doi.org/10.1196/annals.1387.065
- Cheng H, Smith GL, Hancox JC, Orchard CH (2011) Inhibition of spontaneous activity of rabbit atrioventricular node cells by KB-R7943 and inhibitors of sarcoplasmic reticulum Ca2+ ATPase. Cell Calcium 49(1): 56–65. https://doi.org/10.1016/j.ceca.2010.11.008
- Torrente AG, Zhang R, Zaini A, Giani JF, Kang J, Lamp ST, Philipson KD, Goldhaber JI (2015) Burst pacemaker activity of the sinoatrial node in sodium-calcium exchanger knockout mice. Proc Natl Acad Sci U S A 112(31): 9769–9774. https://doi.org/10.1073/pnas.1505670112
Supplementary files





