Оценка зависимости “доза–ответ” при генотоксическом воздействии митомицина С на примере ApoE-нокаутных мышей
- Авторы: Асанов М.А.1, Шишкова Д.К.1, Поддубняк А.О.1, Синицкий М.Ю.1, Синицкая А.В.1, Хуторная М.В.1, Понасенко А.В.1
-
Учреждения:
- Научно-исследовательский институт комплексных проблем сердечно-сосудистых заболеваний
- Выпуск: Том 109, № 9 (2023)
- Страницы: 1273-1281
- Раздел: ЭКСПЕРИМЕНТАЛЬНЫЕ СТАТЬИ
- URL: https://journal-vniispk.ru/0869-8139/article/view/229424
- DOI: https://doi.org/10.31857/S0869813923090029
- EDN: https://elibrary.ru/OSJMIA
- ID: 229424
Цитировать
Полный текст
Аннотация
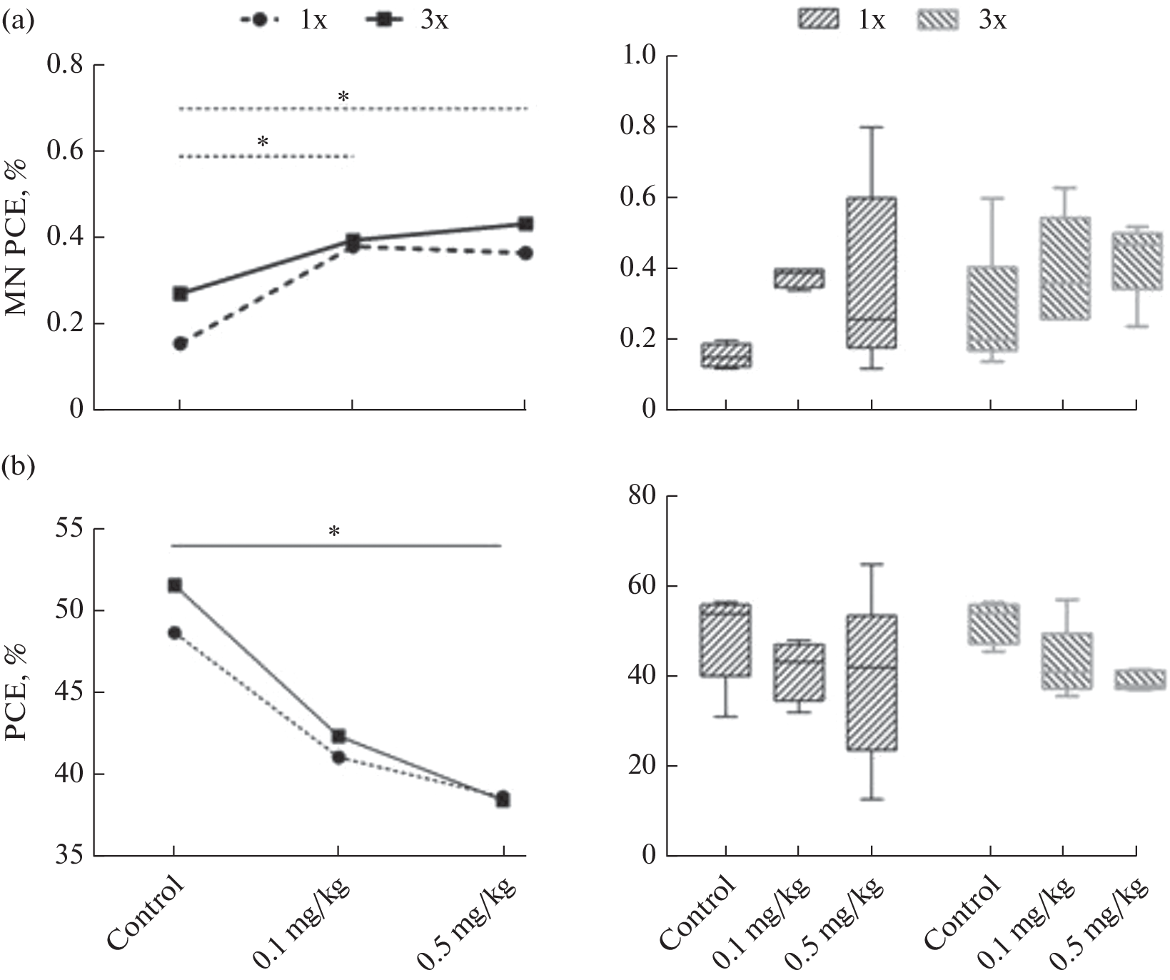
Полихроматофильные эритроциты (ПХЭ) являются подходящей мишенью для оценки уровня острого и хронического генотоксического стресса в моделях in vivo. Для индукции генотоксического стресса в эксперименте широко применяется митомицин С (ММС) – алкилирующий агент, приводящий к образованию поперечных сшивок молекулы ДНК. Микроядерный тест в полихромных эритроцитах хорошо зарекомендовал себя в качестве стандартного анализа для оценки генотоксических эффектов на хромосомном уровне у мышей. Вместе с тем большинство имеющихся исследований направлено на изучение острого генотоксического стресса, обусловленного высокими дозами мутагенов, в то время как исследований, направленных на изучение хронического воздействия ММС, крайне мало. Цель данного исследования – определение генотоксического потенциала ММС без цитотоксического эффекта при хроническом воздействии на мышей, нокаутных по гену аполипопротеина Е (ApoE–/–). В исследование были включены четыре группы ApoE-нокаутных мышей, получавших инъекции двух различных доз ММС (0.1 и 0.5 мг/кг) в хвостовую вену один и три раза в неделю, а также две контрольные группы. Каждая группа состояла из четырех самок и одного самца. Для оценки генотоксических эффектов готовили препараты костного мозга, на каждом образце подсчитывали 1000 ПХЭ, выявляли ПХЭ с микроядрами и рассчитывали долю ретикулоцитов. Доза 0.5 мг/кг показала явный цитотоксический эффект, выраженный в нарушении эритропоэза, а именно в уменьшении доли ретикулоцитов. Доза 0.1 мг/кг вызывала выраженный генотоксический, но не цитотоксический эффект. Полученные в ходе настоящего исследования результаты могут быть полезны при выборе дозы ММС для проведения экспериментов, требующих моделирования хронического генотоксического стресса у лабораторных животных.
Ключевые слова
Об авторах
М. А. Асанов
Научно-исследовательский институт комплексных проблем сердечно-сосудистых заболеваний
Автор, ответственный за переписку.
Email: asmaks988@gmail.com
Россия, Кемерово
Д. К. Шишкова
Научно-исследовательский институт комплексных проблем сердечно-сосудистых заболеваний
Email: asmaks988@gmail.com
Россия, Кемерово
А. О. Поддубняк
Научно-исследовательский институт комплексных проблем сердечно-сосудистых заболеваний
Email: asmaks988@gmail.com
Россия, Кемерово
М. Ю. Синицкий
Научно-исследовательский институт комплексных проблем сердечно-сосудистых заболеваний
Email: asmaks988@gmail.com
Россия, Кемерово
А. В. Синицкая
Научно-исследовательский институт комплексных проблем сердечно-сосудистых заболеваний
Email: asmaks988@gmail.com
Россия, Кемерово
М. В. Хуторная
Научно-исследовательский институт комплексных проблем сердечно-сосудистых заболеваний
Email: asmaks988@gmail.com
Россия, Кемерово
А. В. Понасенко
Научно-исследовательский институт комплексных проблем сердечно-сосудистых заболеваний
Email: asmaks988@gmail.com
Россия, Кемерово
Список литературы
- Sassi A, Boubaker J, Loussaief A, Jomaa K, Ghedira K, Chekir-Ghedira L (2021) Protective effect of chrysin, a dietary flavone against genotoxic and oxidative damage induced by Mitomycin C in Balb/C mice. Nutr Cancer 73(2): 329–338. https://doi.org/10.1080/01635581.2020.1749289
- Mokdad Bzeouich I, Mustapha N, Maatouk M, Ghedira K, Ghoul M, Chekir-Ghedira L (2016) Genotoxic and anti-genotoxic effects of esculin and its oligomer fractions against mitomycin C-induced DNA damages in mice. Regul Toxicol Pharm 82: 48–52. https://doi.org/10. 1016/j.yrtph.2016.11.002
- Timocin T, Arslan M, Basri Ila H (2021) Evaluation of in vitro and in vivo genotoxic and antigenotoxic effects of Rhus coriaria. Drug Chem Toxicol 44(4): 409–417. https://doi.org/10.1080/01480545.2019.1593433
- Yuzbasioglu D, Mamur S, Avuloglu-Yilmaz E, Erikel E, Celebi-Keskin A, Unal F (2021) Evaluation of the genotoxic and antigenotoxic effects of exopolysaccharide pullulan in human lymphocytes in vitro. Mutat Res Genet Toxicol Environ Mutagen 870–871: 503391. https://doi.org/10.1016/j.mrgentox.2021.503391
- Lin LT, Chen JT, Lu DW, Tai MC, Liang CM, Chen CL, Pao SI, Hsu CK, Chen YH (2020) Antifibrotic role of low-dose mitomycin-c-induced cellular senescence in trabeculectomy models. PLoS One 15(6): e0234706. https://doi.org/10.1371/journal.pone.0234706
- Itoh K, Masumori S, Mukai D, Sakakibara H, Yasuda M, Shimoi K (2019) Dosage time affects alkylating agents induced micronuclei in mouse peripheral blood reticulocytes through the function of erythropoietin. J Toxicol Sci 44(4): 273–282. https://doi.org/10.2131/jts.44.273
- Digkas EN, Chrisafi S, Passadaki T, Tsalkidis A, Hatzimichail A, Vargemezis V, Lialiaris TS (2010) In vitro and in vivo cytogenetic effects of recombinant human erythropoietin on the frequency of sister chromatid exchanges alone or in combination with mitomycin C. Chemotherapy 56(3): 239–247. https://doi.org/10.1159/000316849
- Díez-Quijada L, Llana-Ruiz-Cabello M, Cătunescu GM, Puerto M, Moyano R, Jos A, Cameán AM (2019) In vivo genotoxicity evaluation of cylindrospermopsin in rats using a combined micronucleus and comet assay. Food Chem Toxicol 132: 110664. https://doi.org/10.1016/j.fct.2019.110664
- Jain AK, Pandey AK (2019) In Vivo Micronucleus Assay in Mouse Bone Marrow. Methods Mol Biol 2031: 135–146. https://doi.org/10.1007/978-1-4939-9646-9_7
- Roque CR, Sampaio LR, Ito MN, Pinto DV, Caminha JSR, Nunes PIG, Raposo RS, Santos FA, Windmöller CC, Crespo-Lopez ME, Alvarez-Leite JI, Oriá RB, Pinheiro RF (2021) Methylmercury chronic exposure affects the expression of DNA single-strand break repair genes, induces oxidative stress, and chromosomal abnormalities in young dyslipidemic ApoE knockout mice. Toxicology 464: 152992. https://doi.org/10.1016/j.tox.2021.152992
- Jacobsen NR, Møller P, Jensen KA, Vogel U, Ladefoged O, Loft S, Wallin H (2009) Lung inflammation and genotoxicity following pulmonary exposure to nanoparticles in ApoE-/- mice. Part Fibre Toxicol 6: 2. https://doi.org/10.1186/1743-8977-6-2
- Кутихин АГ, Синицкий МЮ, Понасенко АВ (2017) Роль мутагенеза в развитии атеросклероза. Комплексные проблемы сердечно-сосудистых заболеваний 1: 92–101. [Kutikhin AG, Sinitsky MY, Ponasenko AV (2017) The role of mutagenesis in atherosclerosis. Complex Issues Cardiovasc Diseases 1: 92–101. (In Russ)]. https://doi.org/10.17802/2306-1278-2017-1-92-101
- Sinitsky MY, Tsepokina AV, Kutikhin AG, Shishkova DK, Ponasenko AV (2021) The gene expression profile in endothelial cells exposed to mitomycin C. Biochemistry (Moscow) Series B: Biomed Chem 15(3): 255–261. https://doi.org/10.1134/S1990750821030100
- Adikesavan AK, Barrios R, Jaiswal AK (2007) In vivo role of NAD(P)H:quinone oxidoreductase 1 in metabolic activation of mitomycin C and bone marrow cytotoxicity. Cancer Res 67(17): 7966–7971. https://doi.org/10.1158/0008-5472
- Cammerer Z, Elhajouji A, Suter W (2007) In vivo micronucleus test with flow cytometry after acute and chronic exposures of rats to chemicals. Mutat Res 626(1–2): 26–33. https://doi.org/10.1016/j.mrgentox.2006.08.004
- Chen Q, Riviere JE, Lin Z (2022) Toxicokinetics, dose-response, and risk assessment of nanomaterials: Methodology, challenges, and future perspectives. Wiley Interdiscip Rev Nanomed Nanobiotechnol 14(6): e1808.https://doi.org/10.1002/wnan.1808
- ГОСТ 34660-2020. Микроядерный анализ на эритроцитах млекопитающих.
- Quezada-Vidal J, Ortíz-Muñiz R, Cervantes-Ríos E, Cruz-Vallejo V, Morales-Ramírez P (2020) In vivo kinetics of the genotoxic and cytotoxic activities of cladribine and clofarabine. Environ Mol Mutagen 61(9): 922–927. https://doi.org/10.1002/em.22394
- Cammerer Z, Elhajouji A, Suter W (2006) In vivo micronucleus test with flow cytometry after acute and chronic exposures of rats to chemicals. Mutat Res 626(1–2): 26–33. https://doi.org/10.1016/j.mrgentox.2006.08.004
- Morales-Ramírez P, Vallarino-Kelly T, Cruz-Vallejo V (2014) Kinetics of micronucleus induction and cytotoxicity caused by distinct antineoplastics and alkylating agents in vivo. Toxicol Lett 224(3): 319–325. https://doi.org/10.1016/j.toxlet.2013.11.012
- Adikesavan AK, Barrios R, Jaiswal AK (2007) In vivo role of NAD(P)H:quinone oxidoreductase 1 in metabolic activation of mitomycin C and bone marrow cytotoxicity. Cancer Res 67(17): 7966–7971. https://doi.org/10.1158/0008-5472.CAN-06-4480
- Anbumani S, Mohankumar MN (2015) Nucleoplasmic bridges and tailed nuclei are signatures of radiation exposure in Oreochromis mossambicus using erythrocyte micronucleus cytome assay (EMNCA). Environ Sci Pollut Res 22: 18425–18436. https://doi.org/10.1007/s11356-015-5107-1
- Mendez SE, Quero AAM, Gorla NBM (2022) Erythrocyte micronucleus cytome assay in Passer domesticus and environmental remote sensing for inferring the quality of wild, rural, and urban areas. Environ Monit Assess 194: 852. https://doi.org/10.1007/s10661-022-10488-9
- El-Alfy NZ, Alqosaibi AI, Mahmoud MF, El-Ashry SR (2016) An analysis of micronuclei and DNA damage induced by metotrexate treatment of male albino mice. Egypt J Hospit Med 65: 504–514.
- Labash C, Avlasevichм SL, Carlson K, Berg A, Torous DK (2016) Mouse Pig-a and micronucleus assays respond to N-ethyl- N-nitrosourea, benzo[a]pyrene, and ethyl carbamate, but not pyrene or methyl carbamate. Environment Mol Mutagen 57(1): 28–40. https://doi.org/10.1002/em.21965
Дополнительные файлы




