Влияние холода на адренореактивность верхней брыжеечной артерии крысы
- Авторы: Ярцев В.Н.1
-
Учреждения:
- Институт физиологии им. И.П. Павлова РАН
- Выпуск: Том 110, № 3 (2024)
- Страницы: 469-479
- Раздел: ЭКСПЕРИМЕНТАЛЬНЫЕ СТАТЬИ
- URL: https://journal-vniispk.ru/0869-8139/article/view/262814
- DOI: https://doi.org/10.31857/S0869813924030096
- EDN: https://elibrary.ru/CPGHHZ
- ID: 262814
Цитировать
Полный текст
Аннотация
В опытах на сегментах верхней брыжеечной артерии (ВБА) крысы в изометрических условиях изучалось влияние холода на реактивность этой артерии, оцениваемую по величине сократительной реакции ее сегментов на норадреналин (НА) в концентрации 0.01–10.0 мкМ, а также на стимуляцию периваскулярных нервов электрическим полем с частотой 3, 10 и 40 Гц как при отсутствии, так и при наличии НА в среде и температуре 37°С или 25°С. Было обнаружено, что охлаждение не изменяет тонус ВБА, вызванный НА при всех использованных нами концентрациях. В отсутствие и на фоне действия НА в низкой концентрации (0.01–0.10 мкМ) охлаждение вызывает значительное уменьшение нейрогенного ответа ВБА при всех частотах электростимуляции (ЭС), в то время как на фоне НА в высокой концентрации (1–10 мкМ) охлаждение не оказывает статистически значимого действия на этот ответ. На фоне НА в низкой концентрации охлаждение при низких частотах ЭС не оказывает влияния на незначительное изменение нейрогенного ответа ВБА под действием данного гормона, а при высокой частоте существенно уменьшает потенцирующее действие НА на этот ответ. НА в высокой концентрации в условиях нормальной температуры оказывает угнетающее действие на нейрогенное сокращение при всех частотах ЭС, в то время как в условиях охлаждения при низких частотах оказывает на него потенцирующее, а при высокой частоте ЭС угнетающее действие. Полученные результаты показывают, что наблюдаемое при низкой и исчезающее при высокой концентрации НА угнетающее действие холода на нейрогенную констрикцию ВБА крысы, а также на потенцирование НА нейрогенной вазоконстрикции не связано с уменьшением сократительного действия НА, являющегося основным нейромедиатором в этой артерии.
Ключевые слова
Полный текст
ВВЕДЕНИЕ
Такой фактор внешней среды, как холод, с которым живым организмам приходится часто встречаться, особенно в северных широтах, может значительно и по-разному изменять реактивность различных кровеносных сосудов [1, 2]. Большинство исследований на эту тему проводилось на поверхностно расположенных сосудах (см. обзоры [3, 4]), которые в большей степени подвержены действию данного фактора. Однако при патологической, а также при терапевтической гипотермии, которая у человека используется в лечебных целях [5, 6], холод могут испытывать и глубоко расположенные кровеносные сосуды. Тем не менее работы по выяснению действия холода на реактивность этих сосудов крайне немногочисленны. В частности, на брыжеечных сосудах исследования на эту тему были проведены в единичных работах на собаках [1], кроликах [7] и крысах [8, 9]. Имеются также две работы на подвздошной артерии крысы [2, 10]. Следует заметить, что влияние холода на нейрогенный тонус глубоко расположенных кровеносных сосудов изучалось только в работах Yamamoto и соавт., причем в них проводилась перфузия всех сосудов брыжейки. Как известно, нейрогенный тонус сосудов может значительно изменяться в зависимости от концентрации норадреналина [11–13], уровень которого существенно повышается в различных стрессорных ситуациях, включая действие холода [14, 15]. Однако сведения об изменении нейрогенного тонуса глубоко расположенных сосудов на фоне действия норадреналина в условиях холода отсутствуют. Учитывая все вышесказанное, мы провели данное исследование, целью которого было изучить влияние холода на вызванный норадреналином, а также нейрогенный тонус изолированной брыжеечной артерии крысы при разной концентрации норадреналина в среде.
МЕТОДЫ ИССЛЕДОВАНИЯ
Опыты проводили на самцах крыс линии Вистар массой тела 150–200 г, полученных из Центра коллективного пользования Биоколлекция Института физиологии им. И.П. Павлова РАН.
Эвтаназию животных осуществляли посредством CO2. После эвтаназии отпрепарировали верхнюю брыжеечную артерию (ВБА), от которой отрезали кольцевой участок длиной 1.2 мм, надеваемый на две вольфрамовые иголочки (диаметром 70 мкм каждая), одна из которых была соединена со штоком устройства растяжения, а вторая – с механотроном 6МХ1С, сигнал от которого, отражающий изменение натяжения в стенке сосудистого сегмента, усиливался и поступал на вольтметр самопишущий S-Recorder-L (ADSlab, Россия), а далее на ПК для обработки в программе S-Recorder (ADSlab, Россия). Наличие функционального эндотелия в наших методических условиях при работе на верхней брыжеечной артерии крысы было показано нами ранее при действии ацетилхолина на эту артерию, предсокращенную фенилэфрином [16]. Иголочки с кольцевым участком помещали в проточную термостатируемую (37 oC) ванночку объемом 10 мл, заполненную бикарбонатным раствором Кребса следующего состава (в мМ): NaCl – 115, KCl – 4.7, CaCl2 – 2.6, MgSO4.7H2O – 1.2, NaHCO3 – 25, KH2PO4 – 1.2, глюкоза – 10. рН раствора поддерживали на уровне 7.4 ± 0.05 в течение всего эксперимента, проводя измерения каждые 15 мин с помощью рН-метра рН-150МА и, в случае необходимости, пропуская через раствор соответствующее количество СО2 или комнатного воздуха. После погружения в раствор иголочки миографа ступенчато разводили до значения натяжения, при котором наблюдался максимальный ответ сосудистого сегмента на стимуляцию электрическим полем (30 В, 3 мс, в течение 3 с) с частотой 10 Гц, после чего с интервалом 3 мин проводили стимуляцию с частотой 3 и 40 Гц. Электростимуляция (ЭС) осуществлялась с помощью двух платиновых электродов, расположенных на расстоянии 2 мм от сосудистого сегмента. В течение последующих 30 мин сосуд стимулировали через каждые 3 мин с частотой 10 Гц, а по прошествии 30 мин с интервалом 3 мин проводили стимуляцию с частотой 3 и 40 Гц, после чего на термостате выставляли значение температуры 25°С. Температура раствора в ванночке с сосудом снижалась с 37°С до 25°С за 10 мин. От каждого животного брали один сосудистый сегмент. Контрольная серия экспериментов (n = 11, где n – количество животных) отличалась от опытной (n = 7) только отсутствием изменения температуры. В течение последующих 60 мин, необходимых для стабилизации ответа на ЭС после смены температурного режима термостата, сосуд стимулировали через каждые 3 мин с частотой 10 Гц, а по прошествии 60 мин вводили норадреналин битартрат (Merck, Германия), концентрацию которого кумулятивно увеличивали от 0.01 до 10 мкМ (в ванночке). Перед введением норадреналина после стимуляции с частотой 10 Гц проводили стимуляцию с частотой 3 и 40 Гц, затем ЭС прекращалась, а после достижения максимального (для каждой данной концентрации норадреналина) значения тонического напряжения стенки сосуда проводили серию стимуляций с частотой 10, 3 и 40 Гц с интервалом 3 мин. Ранее в опытах с применением тетродотоксина (0.1 мкМ) нами было показано, что в наших методических условиях при указанных параметрах ЭС сокращение сосуда происходит преимущественно за счет раздражения его периваскулярных нервов, судя по отсутствию сократительного ответа на ЭС после добавления тетродотоксина в перфузионный раствор [17].
При статистическом анализе результатов использовали программу Statistica v. 12. Оценку нормальности распределения выборок проводили с помощью критерия Шапиро–Уилка. Вследствие нормальности распределения полученные данные представляли в виде среднего значения ± стандартная ошибка среднего. Достоверность отличий реакций сосуда определяли, применяя однофакторный и двухфакторный дисперсионный анализ с поправкой Бонферрони при последующем post-hoc анализе. Кроме того, проводился линейный корреляционный анализ. Различия считали статистически значимыми при р < 0.05.
РЕЗУЛЬТАТЫ ИССЛЕДОВАНИЯ
Было обнаружено, что охлаждение не изменяет сократительную реакцию на норадреналин при всех использованных нами концентрациях (рис. 1). В частности, реакция на норадреналин, наблюдавшаяся при его максимальной концентрации 10.0 мкМ, составляла при температуре 37°С и 25°С 2.9 ± 0.5 и 3.1 ± 0.4 мН (р > 0.05) соответственно.
Рис. 1. Величина тонического напряжения, развиваемого сегментом верхней брыжеечной артерии крысы в ответ на введение норадреналина (NA) в концентрации 0.01–10.0 мкМ при температуре 37°С (n = 11) и 25°С (n = 7).
Понижение температуры приводило к значительному уменьшению нейрогенного сократительного ответа на ЭС как в отсутствие норадреналина, так и при его наличии в концентрации 0.01–0.1 мкМ при всех использованных нами частотах ЭС (рис. 2). Однако при высоких концентрациях норадреналина, равных 0.5–10.0 мкМ для частоты 3 и 10 Гц и 1.0–10.0 мкМ для частоты 40 Гц, величина нейрогенного сократительного ответа при охлаждении не изменялась, причем для низких частот ЭС наблюдалась даже тенденция увеличения этого ответа (рис. 2 и 3). Оригинальные записи опытов, приведенные на рис. 3, показывают существенное снижение величины нейрогенного сокращения под действием холода по сравнению с имевшейся непосредственно перед началом охлаждения и отсутствие какого-либо значительного влияния охлаждения на динамику сократительного ответа, вызванного как норадреналином, так и ЭС.
Рис. 2. Сократительная реакция сегмента верхней брыжеечной артерии на электростимуляцию с частотой 3, 10 и 40 Гц через 5–10 мин (С1) и 90 мин (С2) после растяжения этого сегмента в контроле (С), а также на фоне действия норадреналина (NA) при температуре 37°С (n = 11) и 25°С (n = 7). Для серии с охлаждением данные в точке С1 получены при температуре 37°С, а в точке С2 через 60 мин после начала холодового воздействия. Результаты выражены в % к первоначальной величине сокращения на электростимуляцию с частотой 10 Гц через 5–10 мин после растяжения сегмента. * р < 0.05; ** р < 0.01 при сравнении с соответствующей точкой кривой для 25°С.
Рис. 3. Оригинальная запись изменения напряжения сегмента верхней брыжеечной артерии в ответ на электростимуляцию (отмечена стрелками) с частотой 3, 10 и 40 Гц до, а также на фоне действия норадреналина (NA) при температуре 37°С и 25°С. На врезках показана величина реакции на электростимуляцию при температуре 37°С через 30 мин после растяжения сегмента.
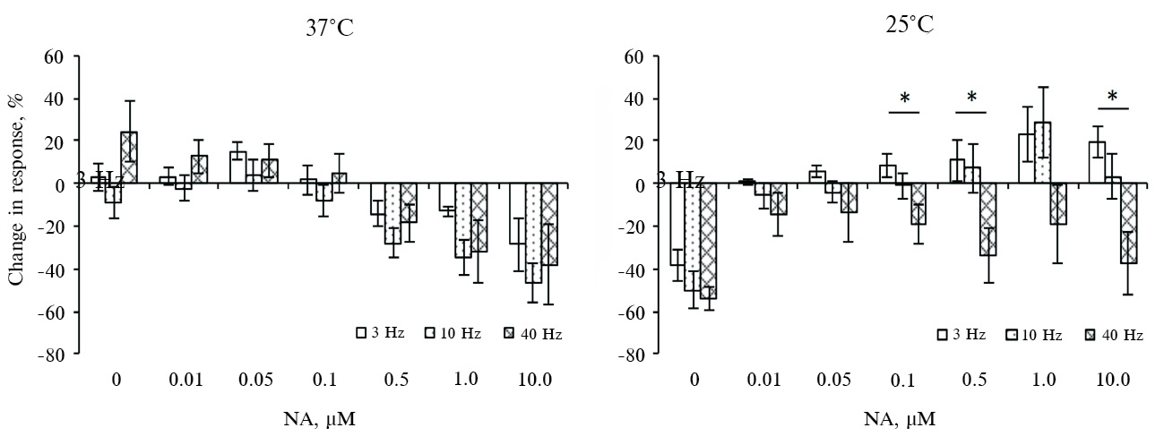
С целью более наглядного отображения направления (угнетающего/потенцирующего) действия норадреналина на нейрогенную констрикцию на основании данных, представленных на рис. 2, были построены графики, отражающие изменение величины нейрогенного ответа артерии после введения норадреналина (рис. 4), которые позволяют оценить и сравнить влияние этого гормона на нейрогенную сократительную реакцию сосуда при разной температуре.
Рис. 4. Изменение сократительной реакции сегмента верхней брыжеечной артерии на электростимуляцию с частотой 3, 10 и 40 Гц через 90 мин после растяжения этого сегмента в контроле (0), а также на фоне действия норадреналина (NA) при температуре 37°С (n = 11) и 25°С (n = 7). Результаты выражены в % изменения реакции (в контроле – по сравнению с первоначальной величиной, а на фоне действия NA – по сравнению с величиной реакции непосредственно перед его введением). * р < 0.05; ** р < 0.01 при сравнении с соответствующей точкой кривой для 37°С. # р < 0.05 при сравнении с NА 0.05 мкМ при температуре 37°С.
Из этих графиков видно, что холод, существенно уменьшая нейрогенный ответ брыжеечной артерии в отсутствие норадреналина, не оказывает влияния на незначительное изменение этого ответа под действием низких концентраций данного гормона (0.01–0.1 мкМ) и частоте ЭС, равной 3 и 10 Гц. В то же время при высоких концентрациях (0.5–10.0 мкМ) норадреналина влияние холода становится существенным: при таких концентрациях норадреналин в условиях нормальной температуры значительно угнетает нейрогенную реакцию сосуда (о чем, в частности, свидетельствует статистически значимое отличие отрицательных значений изменения реакции на ЭС с частотой 3 и 10 Гц при последних двух концентрациях норадреналина по сравнению с положительными значениями, составлявшими при концентрации норадреналина 0.05 мкМ 15.0 ± 4.2 и 3.8 ± 7.5% соответственно), а в условиях низкой температуры при частоте ЭС, равной 3 и 10 Гц, ее увеличивает (потенцирует), причем угнетение и потенцирование коррелировало с концентрацией норадреналина в соответствующем диапазоне. Коэффициент корреляции Пирсона (r), рассчитанный для оценки корреляционной связи между изменением реакции на ЭС и концентрацией норадреналина, при частоте ЭС 3 и 10 Гц в условиях нормальной температуры в диапазоне концентраций 0.1–10 мкМ был отрицательным и составлял –0.412 (р < 0.01) и –0.414 (р < 0.01), а в условиях низкой температуры в диапазоне концентраций 0.01–1.0 мкМ был положительным и составлял 0.399 (р < 0.05) и 0.455 (р < 0.01) соответственно. Таким образом, между этими величинами имеется умеренная статистически значимая корреляционная связь, которая в условиях нормальной температуры была отрицательной, а в условиях низкой температуры – положительной. При частоте ЭС, равной 40 Гц, в условиях нормальной температуры и низкой концентрации гормона наблюдалось потенцирующее действие норадреналина на нейрогенный ответ (при концентрации 0.01–0.1 мкМ среднее значение изменения ответа на ЭС было положительным), в то время как при более высоких концентрациях, а также в условиях холода при всех концентрациях норадреналин оказывал угнетающее действие на этот ответ, судя по отрицательным значениям величин изменения реакции на ЭС.
Для выяснения вопроса о зависимости действия норадреналина на нейрогенный ответ от частоты ЭС данные, представленные на рис. 4, были перегруппированы и построены графики (рис. 5), которые наглядно показывают, что в условиях нормальной температуры действие норадреналина на нейрогенную сократительную реакцию брыжеечной артерии крысы не зависит от частоты ЭС, в то время как в условиях низкой температуры при минимальной частоте ЭС норадреналин в диапазоне концентраций 0.1–10.0 мкМ увеличивает нейрогенный ответ, а при максимальной – его уменьшает, и эта разница является статистически значимой.
Рис. 5. Зависимость действия норадреналина (NA) на сократительную реакцию сегмента верхней брыжеечной артерии крысы, вызванную электростимуляцией, от частоты стимуляции через 90 мин после растяжения этого сегмента в контроле (0), а также на фоне действия NA при температуре 37°С (n = 11) и 25°С (n = 7). Результаты выражены в % изменения реакции (в контроле – по сравнению с первоначальной величиной, а на фоне действия NA – по сравнению с величиной реакции непосредственно перед его введением). * р < 0.05 при сравнении 3 Hz c 40 Hz.
ОБСУЖДЕНИЕ РЕЗУЛЬТАТОВ
Для холодового воздействия в нашей работе использовалась температура 25°С. Аналогичная температура (24–27°С) применялась и в работах других авторов на брыжеечной и подвздошной артериях [1, 2, 7–10]. Выбор такой температуры оправдан, в частности, тем, что эти артерии могут подвергаться ее воздействию при гипотермии, после которой большинство крыс выживает. Было показано, что LD50 (полулетальная доза) для внутренней температуры тела крысы составляет 23°С [18], а при прекращении ингаляции анестетика изофлурана по достижении ректальной температуры 25°С у большинства крыс происходило спонтанное возвращение ректальной температуры до нормы [19], хотя согласно имеющимся данным даже после снижения ректальной температуры крыс до 13.5–17°С повышение температуры окружающей среды до комнатной приводило к возвращению ректальной температуры до нормы [18, 19].
Нами было показано отсутствие какого-либо значительного изменения сократительной реакции брыжеечной артерии крысы на норадреналин под действием холода, в то время как в экспериментах на хвостовой артерии крысы, поставленных нами [20], а также другими авторами [2, 21] в аналогичных условиях наблюдалось значительное усиление реакции на адреномиметики. Эта разница физиологически оправдана необходимостью уменьшения тепловыделения за счет сокращения поверхностных сосудов и связанного с этим перераспределения крови, которому способствует отсутствие сокращения сосудов, расположенных глубоко. В опытах на подвздошной артерии крысы [2] и брыжеечной артерии собаки [1] понижение температуры до 24–27°С приводило даже к угнетению сокращения, вызванного фенилэфрином и метоксамином соответственно, которые, в отличие от норадреналина, действуют только на α1-адренорецепторы, что, в частности, может объяснять отличие этих данных от полученных нами. В опытах на брыжеечной артерии кролика [7] охлаждение повышало чувствительность этой артерии к норадреналину, однако, как и в наших опытах, не приводило к изменению величины сократительной реакции на высокие концентрации данного вещества.
Увеличение сократительной реакции поверхностных артерий на норадреналин в условиях холода связано с транслокацией α2-адренорецепторов из аппарата Гольджи в мембрану гладкомышечных клеток [3, 4]. Следует заметить, что в условиях нормальной температуры реакция как хвостовой, так и брыжеечной артерии крысы на норадреналин обуславливается в основном активацией α1-адренорецепторов, однако в брыжеечной артерии, судя по действию блокатора этих рецепторов – празозина, их вклад в эту реакцию выше, чем в хвостовой артерии [22]. Хотя α2-адренорецепторы на поверхности гладкомышечных клеток брыжеечной артерии крысы присутствуют и обеспечивают значительную констрикцию этой артерии при их стимуляции соответствующими агонистами [23], однако, судя по отсутствию усиления ответа брыжеечной артерии на норадреналин при снижении температуры, в ней при этом не происходит увеличения общего количества α-адренорецепторов за счет транслокации α2-адренорецепторов из аппарата Гольджи.
Нами было показано, что холод значительно ослабляет нейрогенную вазоконстрикцию при всех частотах ЭС в условиях как отсутствия, так и наличия норадреналина в концентрации 0.01–0.1 мкМ. Аналогичные данные были нами получены на хвостовой артерии крысы [24], а также другими исследователями на центральной ушной [25] и сонной [26] артериях кролика в условиях отсутствия норадреналина. Такое ослабление нейрогенной вазоконстрикции под действием холода может быть связано со снижением образования норадреналина в нервных окончаниях, а также его выброса из этих окончаний [9, 4].
В опытах, поставленных Yamamoto и соавт. на перфузируемом участке кишечника крысы, было показано значительное усиление сократительной реакции кровеносных сосудов этого участка на ЭС сосудодвигательных нервов в условиях холода. Отличие от результатов, полученных нами, может объясняться тем, что в указанных опытах в реакции кроме брыжеечной артерии участвовали и другие, в том числе венозные участки сосудистого русла, сократительная реакция которых на норадреналин при охлаждении усиливается [27]. Кроме того, усиление вазоконстрикции в тех опытах было связано с уменьшением обратного захвата норадреналина, выделяющегося из нервных окончаний, который в наших экспериментах на изолированном сегменте брыжеечной артерии мог легче вымываться из этого сегмента длиной 1.2 мм, чем из сосудов, лежащих в ткани перфузируемого участка кишечника крысы, и в меньшей степени влиять на сократительный ответ вследствие значительно меньшего количества норадреналина, выделяющегося из периваскулярных нервов в сегменте, чем в участке кишечника. Как и другими авторами [8, 9], нами не было отмечено какого-либо значительного влияния охлаждения на динамику сократительного ответа брыжеечной артерии крысы, вызванного как норадреналином, так и ЭС, однако для точной оценки этого влияния требуется проведение дополнительного исследования.
Нами было показано, что при высоких концентрациях норадреналина холод перестает оказывать угнетающее действие на нейрогенный тонус брыжеечной (рис. 2), но продолжает его оказывать на тонус хвостовой артерии крысы, который значительно уменьшается [24], что должно приводить к констрикции брыжеечной и дилатации хвостовой артерии. Можно предположить, что это служит для перераспределения крови к поверхности тела в целях предотвращения отморожения конечностей при низкой температуре, сопровождающейся значительным повышением концентрации норадреналина в крови [14, 15].
В наших опытах на брыжеечной артерии крысы норадреналин в небольших концентрациях не оказывал влияния на нейрогенное сокращение этого сосуда в условиях как нормальной, так и низкой температуры при всех частотах ЭС, за исключением максимальной. При высоких же концентрациях норадреналин значительно уменьшал нейрогенное сокращение в условиях нормальной температуры, но увеличивал его в условиях холода. Во всех предыдущих исследованиях, за исключением работы Su [11], норадреналин в условиях нормальной температуры уменьшал нейрогенную констрикцию различных сосудов либо вызывал появление нейрогенной дилатации. В частности, он уменьшал констрикцию хвостовой артерии крысы [28], желудочно-сальниковой [13] и маточной [12] артерий человека, причем у последней реакция становилась двухфазной. Известно, что экзогенный норадреналин уменьшает выброс эндогенного норадреналина из нервных окончаний [29]. Кроме того, такое изменение нейрогенного сокращения под действием норадреналина связывали с уменьшением чувствительности постсинаптических рецепторов [28], а также с выделением оксида азота [13], что может являться также причиной отмеченного нами снижения нейрогенного ответа в условиях нормальной температуры.
В опытах на брыжеечной артерии кролика в условиях нормальной температуры было отмечено вызванное норадреналином в концентрации 0.3–3 мкМ увеличение нейрогенной констрикции [11], которое сопровождалось уменьшением его выброса из нервных окончаний и не зависело от обратного захвата норадреналина, а также от пресинаптических β-адренорецепторов. Автор делает вывод о том, что возможной причиной описанного потенцирующего эффекта норадреналина является частичная деполяризация мембраны гладкомышечных клеток артерии, облегчающая нейрогенное сокращение этих клеток. Не исключено, что этот же механизм может лежать в основе отмеченного нами увеличения нейрогенной констрикции брыжеечной артерии крысы в условиях холода.
Угнетающее действие норадреналина на нейрогенное сокращение при температуре 25°С и высокой частоте ЭС, не наблюдаемое при минимальной частоте ЭС (рис. 4), вероятно, обусловлено его связыванием с пресинаптическими α2-адренорецепторами, вызывающими угнетение выброса норадреналина, являющегося основным нейромедиатором при высокой частоте ЭС, в то время как при низкой частоте ЭС значительно возрастает доля другого медиатора – АТФ [30].
Таким образом, нами впервые показано, что в присутствии норадреналина в низких концентрациях холод значительно уменьшает нейрогенное сокращение брыжеечной артерии крысы и не изменяет действие норадреналина на это сокращение при частоте ЭС, не достигающей 40 Гц, в то время как при высоких концентрациях норадреналина холод не изменяет величину такого сокращения и значительно усиливает потенцирующее действие норадреналина на него. Это может иметь значение для терморегуляции, так как способствует оттоку крови с поверхности вглубь тела при низкой температуре и отсутствии сильного стрессорного воздействия, в то время как при наличии такого воздействия, сопровождающегося значительным повышением концентрации норадреналина в крови, обнаруженные реакции способствуют перераспределению крови в более жизненно важные области.
ФИНАНСИРОВАНИЕ РАБОТЫ
Данная работа выполнена за счет средств бюджета Госпрограммы 47 ГП «Научно-технологическое развитие Российской Федерации» (2019–2030), тема 64.1. «Раскрытие механизмов взаимодействия молекулярно-клеточных и системных регуляций функций внутренних органов» (0134-2019-0001).
СОБЛЮДЕНИЕ ЭТИЧЕСКИХ СТАНДАРТОВ
Эксперименты с животными проводились в соответствии с международными рекомендациями по проведению биомедицинских исследований с лабораторными животными и были одобрены Комиссией по биоэтике Института физиологии им. И.П. Павлова РАН (протокол № 03/04/2020 от 10.04.2020 г.).
КОНФЛИКТ ИНТЕРЕСОВ
Автор данной работы заявляет, что у него нет конфликта интересов.
Об авторах
В. Н. Ярцев
Институт физиологии им. И.П. Павлова РАН
Автор, ответственный за переписку.
Email: yartsevv@infran.ru
Россия, Санкт-Петербург
Список литературы
- Tsukada M, Chiba S (2000) Enhancement of vasoconstrictor responses to 5-HT but no to methoxamine by cooling in isolated dog lingual and mesenteric arteries. Tohoku J Exp Med 191(3): 139–144. https://doi.org/10.1620/tjem.191.139
- Ishida H, Saito SY, Hishinuma E, Kitayama T, Ishikawa T (2018) Differential contribution of calcium channels to α(1)-adrenoceptor-mediated contraction is responsible for diverse responses to cooling between rat tail and iliac arteries. Eur J Pharmacol 826: 9–16. https://doi.org/10.1016/j.ejphar.2018.02.023
- Johnson JM, Kellogg DL, Jr (2018) Skin vasoconstriction as a heat conservation thermoeffector. Handb Clin Neurol 156: 175–192. https://doi.org/10.1016/b978-0-444-63912-7.00011-4
- Alba BK, Castellani JW, Charkoudian N (2019) Cold-induced cutaneous vasoconstriction in humans: Function, dysfunction and the distinctly counterproductive. Exp Physiol 104(8): 1202–1214. https://doi.org/10.1113/ep087718
- Johnson NJ, Danielson KR, Counts CR, Ruark K, Scruggs S, Hough CL, Maynard C, Sayre MR, Carlbom DJ (2020) Targeted Temperature Management at 33 Versus 36 Degrees: A Retrospective Cohort Study. Crit Care Med 48(3): 362–369. https://doi.org/10.1097/ccm.0000000000004159
- You JS, Kim JY, Yenari MA (2022) Therapeutic hypothermia for stroke: Unique challenges at the bedside. Front Neurol 13: 951586. https://doi.org/10.3389/fneur.2022.951586
- Allen S, Kumar M, Arnfeh B, Chester A, Dzimiri N, Duran CM, Yacoub M (1996) Influence of cooling on mesenteric vascular reactivity. Eur J Cardiothorac Surg 10(11): 1015–1020. https://doi.org/10.1016/s1010-7940(96)80407-6
- Yamamoto R, Cline WH, Jr., Takasaki K (1989) Effect of moderate cooling on endogenous noradrenaline release from the mesenteric vasculature of rats. J Auton Pharmacol 9(5): 347–355. https://doi.org/10.1111/j.1474-8673.1989.tb00071.x
- Yamamoto R, Takasaki K, Nickols GA (1992) Purinergic vasoconstrictor component revealed by moderate cooling in the isolated mesenteric vasculature of Sprague-Dawley rats. J Pharmacol Exp Ther 262(3): 1133–1138.
- Ishida H, Saito SY, Ishikawa T (2018) α(1A)-Adrenoceptors, but not α(1B)- or α(1D)-adrenoceptors, contribute to enhanced contractile response to phenylephrine in cooling conditions in the rat tail artery. Eur J Pharmacol 838: 120–128. https://doi.org/10.1016/j.ejphar.2018.09.004
- Su C (1980) Potentiative effects of alpha agonistic sympathomimetic amines on vasoconstriction by adrenergic nerve stimulation. J Pharmacol Exp Ther 215(2): 377–381.
- Nelson SH, Steinsland OS, Johnson RL, Suresh MS, Gifford A, Ehardt JS (1995) Pregnancy-induced alterations of neurogenic constriction and dilation of human uterine artery. Am J Physiol 268(4 Pt 2): H1694–H1701. https://doi.org/10.1152/ajpheart.1995.268.4.H1694
- Medina P, Segarra G, Peiro M, Flor B, Martínez-León JB, Vila JM, Lluch S (2003) Influence of nitric oxide on neurogenic contraction and relaxation of the human gastroepiploic artery. Am J Hypertens 16(1): 28–32. https://doi.org/10.1016/s0895-7061(02)03156-4
- Pacak K, Palkovits M, Yadid G, Kvetnansky R, Kopin IJ, Goldstein DS (1998) Heterogeneous neurochemical responses to different stressors: a test of Selye’s doctrine of nonspecificity. Am J Physiol 275(4): R1247–R1255. https://doi.org/10.1152/ajpregu.1998.275.4.R1247
- Zhang S, Kuang Z, Zhang X (2015) Effects of Simulated Heat Waves with Strong Sudden Cooling Weather on ApoE Knockout Mice. Int J Environ Res Public Health 12(6): 5743–5757. https://doi.org/10.3390/ijerph120605743
- Ярцев ВН, Иванова ГТ, Лобов ГИ (2020) Влияние нефрэктомии на реактивность артерий крыс линии Wistar-Kyoto. Рос физиол журн им ИМ Сеченова 106(12): 1553–1563. [Yartsev VN, Ivanova GT, Lobov GI (2020) Effect of nephrectomy on the reactivity of arteries from the Wistar-Kyoto rats. Russ J Physiol 106(12): 1553–1563. (In Russ)]. https://doi.org/10.31857/S0869813920120092
- Dvoretsky DP, Yartsev VN, Karachentseva OV, Granstrem MP (2000) Changes in reactivity of rat arteries subjected to dynamic stretch. Acta Physiol Scand 169(1): 13–19. https://doi.org/10.1046/j.1365-201x.2000.00693.x
- Gordon CJ (1990) Thermal biology of the laboratory rat. Physiol Behav 47(5): 963–991. https://doi.org/10.1016/0031-9384(90)90025-y
- Shimaoka H, Shiina T, Suzuki H, Horii Y, Horii K, Shimizu Y (2021) Successful induction of deep hypothermia by isoflurane anesthesia and cooling in a non-hibernator, the rat. J Physiol Sci 71(1): 10. https://doi.org/10.1186/s12576-021-00794-1
- Yartsev VN (2021) Paradoxical effects of acidosis on the noradrenaline-induced and neurogenic constriction of the rat tail artery at low temperatures. Can J Physiol Pharmacol 99(10): 1036–1047. https://doi.org/10.1139/cjpp-2020-0740
- Jantschak F, Popp AM, Hofmann RA, Villalón CM, Centurión D, Pertz HH (2010) Postjunctional α2C-adrenoceptors mediate vasoconstriction in rat tail artery: influence of precontraction and temperature on vasoreactivity. Naunyn Schmiedebergs Arch Pharmacol 382(5-6): 487–497. https://doi.org/10.1007/s00210-010-0564-z
- Liao JF, Yu PC, Lin HC, Lee FY, Kuo JS, Yang MC (1994) Study on the vascular reactivity and alpha 1-adrenoceptors of portal hypertensive rats. Br J Pharmacol 111(2): 439–444. https://doi.org/10.1111/j.1476-5381.1994.tb14755.x
- Wong ES, Man RY, Vanhoutte PM, Ng KF (2010) Dexmedetomidine induces both relaxations and contractions, via different {alpha}2-adrenoceptor subtypes, in the isolated mesenteric artery and aorta of the rat. J Pharmacol Exp Ther 335(3): 659–664. https://doi.org/10.1124/jpet.110.170688
- Ярцев ВН, Караченцева ОВ, Дворецкий ДП (2013) Потенцирующее действие норадреналина на нейрогенную вазореактивность, сниженную в результате охлаждения. Рос физиол журн им ИМ Сеченова 99(8): 960–967. [Yartsev VN, Karachentseva OV, Dvoretsky DP (2013) Potentiative effects of noradrenaline on the neurogenic vasoreactivity diminished by cooling. Russ J Physiol 99(8): 960–967. (In Russ)].
- García-Villalón AL, Padilla J, Fernández N, Monge L, Martínez MA, Gómez B, Diéguez G (2000) Effect of neuropeptide Y on the sympathetic contraction of the rabbit central ear artery during cooling. Pflugers Arch 440(4): 548–555. https://doi.org/10.1007/s004240000323
- Mustafa S, Thulesius O (2002) Cooling-induced carotid artery dilatation: an experimental study in isolated vessels. Stroke 33(1): 256–260. https://doi.org/10.1161/hs0102.101545
- Rusch NJ, Shepherd JT, Vanhoutte PM (1981) The effect of profound cooling on adrenergic neurotransmission in canine cutaneous veins. J Physiol 311: 57–65. https://doi.org/10.1113/jphysiol.1981.sp013572
- Atkinson J, Boillat N, Fouda AK, Guillain H, Sautel M, Sonnay M (1987) Noradrenaline inhibits vasoconstriction induced by electrical stimulation. Gen Pharmacol 18(3): 219–223. https://doi.org/10.1016/0306-3623(87)90002-4
- Kalsner S, Abdali SA (2002) Neurotransmitter release in an arterial preparation and the action of alpha-adrenoceptor antagonists. Auton Autacoid Pharmacol 22(5-6): 241–246. https://doi.org/10.1046/j.1474-8673.2002.00250.x
- Tripovic D, McLachlan EM, Brock JA (2013) Removal of half the sympathetic innervation does not reduce vasoconstrictor responses in rat tail artery. J Physiol 591(11): 2867–2884. https://doi.org/10.1113/jphysiol.2012.250365
Дополнительные файлы








