ДВОЙСТВЕННОСТЬ КАРТИНЫ ОБТЕКАНИЯ ЗАТУПЛЕННОГО РЕБРА СВЕРХЗВУКОВЫМ ПОТОКОМ ВЯЗКОГО ГАЗА: ВЛИЯНИЕ МАЛОГО СКОСА ПЕРЕДНЕЙ КРОМКИ
- Авторы: Колесник Е.В.1, Смирнов Е.М.1
-
Учреждения:
- Санкт-Петербургский политехнический университет Петра Великого
- Выпуск: № 1 (2023)
- Страницы: 3-11
- Раздел: Статьи
- URL: https://journal-vniispk.ru/1024-7084/article/view/135048
- DOI: https://doi.org/10.31857/S0568528122600655
- EDN: https://elibrary.ru/AJONLC
- ID: 135048
Цитировать
Полный текст
Аннотация
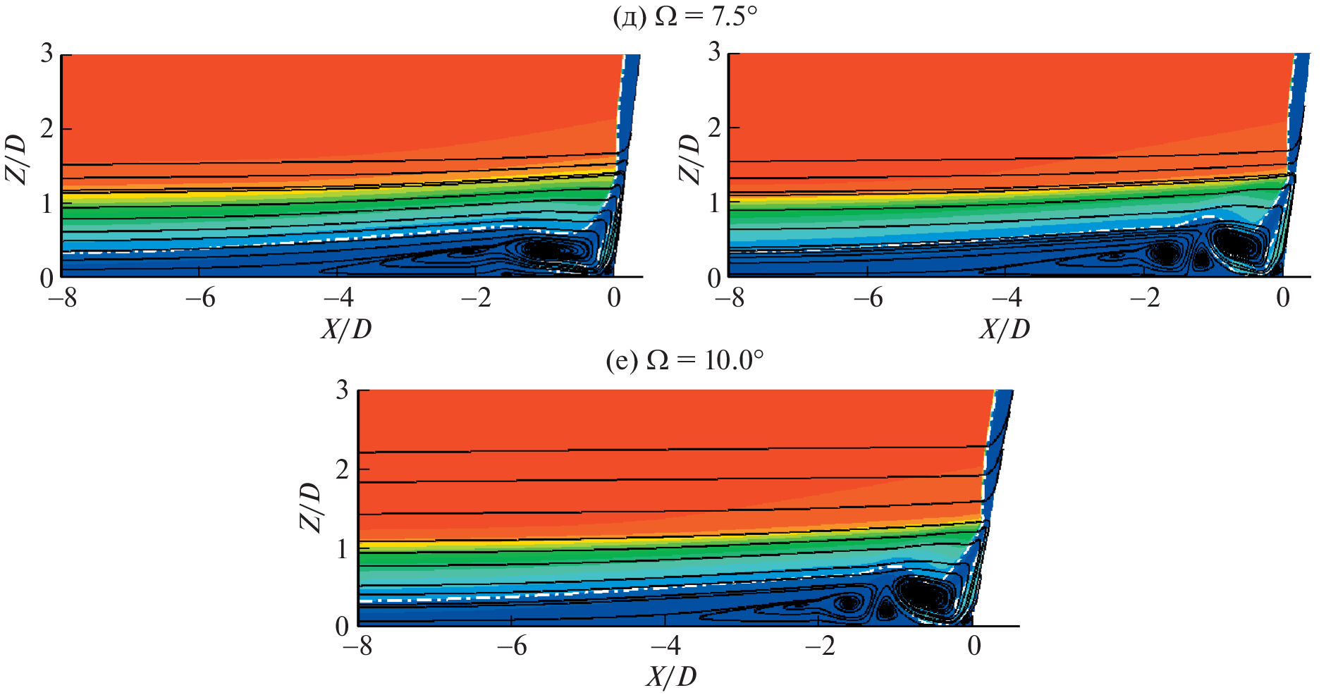
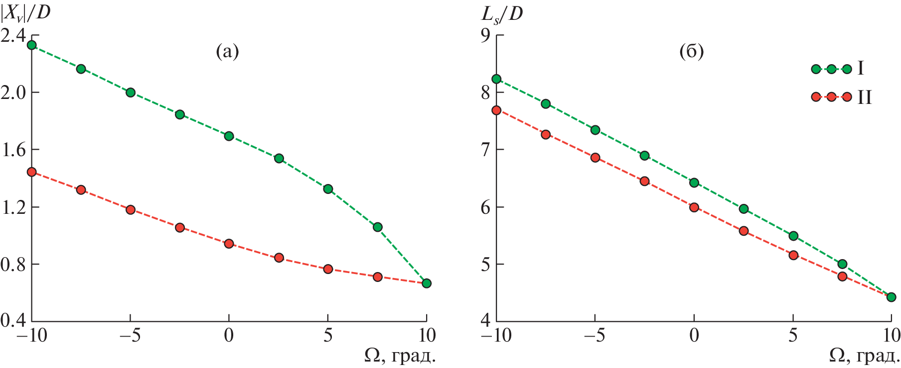
Представлены результаты численного решения задачи сверхзвукового обтекания симметричного затупленного ребра, установленного на пластине, вдоль которой развивается пограничный слой. Исходная постановка задачи основана на расчетно-экспериментальной работе Tutty и соавт. (2013), в которой изучался ламинарный режим обтекания перпендикулярного к пластине ребра при числе Маха внешнего потока, равном 6.7. Ранее авторами было показано (2020), что для данных условий существуют два устойчивых решения задачи, которые отвечают метастабильным состояниям потока с различной конфигурацией вихревой структуры и картиной локального теплообмена. В настоящей работе исследовано влияние малой скошенности передней кромки на вихревую структуру потока в отрывной области, локальный теплообмен, и на возможность получения двойственного решения. Построены бифуркационные диаграммы, определяющие для двух решений положение центра основного подковообразного вихря в плоскости симметрии и протяженность отрывной области в зависимости от угла скоса.
Об авторах
Е. В. Колесник
Санкт-Петербургский политехнический университет Петра Великого
Email: kolesnik.ev1@spbstu.ru
Россия, Санкт-Петербург
Е. М. Смирнов
Санкт-Петербургский политехнический университет Петра Великого
Автор, ответственный за переписку.
Email: kolesnik.ev1@spbstu.ru
Россия, Санкт-Петербург
Список литературы
- Korkegi R.H. Survey of viscous interactions associated with high Mach number flight // AIAA Journal. 1971. V. 9. № 5. P. 771–784.
- Zheltovodov A. Some Advances in Research of Shock Wave Turbulent Boundary Layer Interactions // 44th AIAA Aerospace Sciences Meeting and Exhibit. Reno, Nevada: American Institute of Aeronautics and Astronautics, 2006.
- Knight D. et al. Advances in CFD prediction of shock wave turbulent boundary layer interactions // Progress in Aerospace Sciences. 2003. V. 39. P. 121–184.
- Dolling D.S. Fifty Years of Shock-Wave/Boundary-Layer Interaction Research: What Next? // AIAA Journal. 2001. V. 39. № 8. P. 1517–1531.
- Schuricht P.H., Roberts G.T. Hypersonic interference heating induced by a blunt fin // AIAA J. 1998. V. 1579. P. 1–9.
- Tutty O.R., Roberts G.T., Schuricht P.H. High-speed laminar flow past a fin-body junction // J. Fluid Mech. 2013. V. 737. P. 19–55.
- Zhuang Y.Q., Lu X.Y. Quasi-periodic Aerodynamic Heating in Blunt-fin Induced Shock Wave/Boundary Layer Interaction // Procedia Eng. 2015. V. 126. P. 134–138.
- Mortazavi M., Knight D. Simulation of Hypersonic-Shock-Wave–Laminar-Boundary-Layer Interaction over Blunt Fin // AIAA Journal. 2019. V. 57. № 8. P. 3506–3523.
- Clemens N.T., Narayanaswamy V. Low-Frequency Unsteadiness of Shock Wave/Turbulent Boundary Layer Interactions // Annu. Rev. Fluid Mech. 2014. V 46. № 1. P. 469–492.
- Combs C.S. et al. Investigating Unsteady Dynamics of Cylinder-Induced Shock-Wave/Transitional Boundary-Layer Interactions // AIAA Journal. 2018. V. 56. № 4. P. 1588–1599.
- Колесник Е.В., Смирнов Е.М. Сверхзвуковое ламинарное обтекание затупленного ребра: двойственность численного решения // Журнал технической физики. 2021. Т. 91. № 5. С. 764–771.
- Гувернюк С.В., Зубков А.Ф., Экспериментальное исследование трехмерного сверхзвукового обтекания осесимметричного тела с кольцевой каверной // ИЗВ. РАН. МЖГ. 2014. Т. 4. С. 136–142.
- Guvernyuk S.V., Zubkov A.F., Simonenko M.M. Experimental Investigation of the Supersonic Flow over an Axisymmetric Ring Cavity // J. Eng. Phys. Thermophy. 2016. V. 89. № 3. P. 678–687.
- Kolesnik E.V., Smirnov E.M. Testing of various schemes with quasi-one-dimensional reconstruction of gasdynamic variables in the case of unstructured-grid calculations // St. Petersburg Polytechnical University Journal: Physics and Mathematics. 2017. V. 3. № 3. P. 259–270.
- Smirnov E.M. et al. Comparison of RANS and IDDES solutions for turbulent flow and heat transfer past a backward-facing step // Heat Mass Transfer. 2018. V. 54. № 8. P. 2231–2241.
- Liou M.-S., Steffen C.J. A New Flux Splitting Scheme // Journal of Computational Physics. 1993. V. 107. № 1. P. 23–39.
- van Albada G.D. van Leer, Roberts W.W. A Comparative Study of Computational Methods in Cosmic Gas Dynamics // Upwind and High-Resolution Schemes. Berlin, Heidelberg: Springer Berlin Heidelberg, 1997. P. 95–103.
- Kolesnik E., Smirnov E., Smirnovsky A. RANS-based numerical simulation of shock wave/turbulent boundary layer interaction induced by a blunted fin normal to a flat plate // Computers & Fluids. 2022. V. 247. P. 105622.
Дополнительные файлы










