ИССЛЕДОВАНИЕ ТЕЧЕНИЯ И СПЕКТРАЛЬНЫХ ХАРАКТЕРИСТИК В ПРОТОЧНОМ ГИДРОДИНАМИЧЕСКОМ ГЕНЕРАТОРЕ ПЛОСКОГО ТИПА ПРИ ИЗМЕНЕНИИ СТЕПЕНИ ПЕРЕКРЫТИЯ ПОТОКА
- Авторы: Ганиев С.Р.1, Крюков А.И.1, Рудаков В.П.1, Шмырков О.В.1
-
Учреждения:
- Институт машиноведения им. А.А. Благонравова РАН
- Выпуск: № 2 (2023)
- Страницы: 3-8
- Раздел: Статьи
- URL: https://journal-vniispk.ru/1024-7084/article/view/135060
- DOI: https://doi.org/10.31857/S0568528122100176
- EDN: https://elibrary.ru/NSNGTU
- ID: 135060
Цитировать
Полный текст
Аннотация
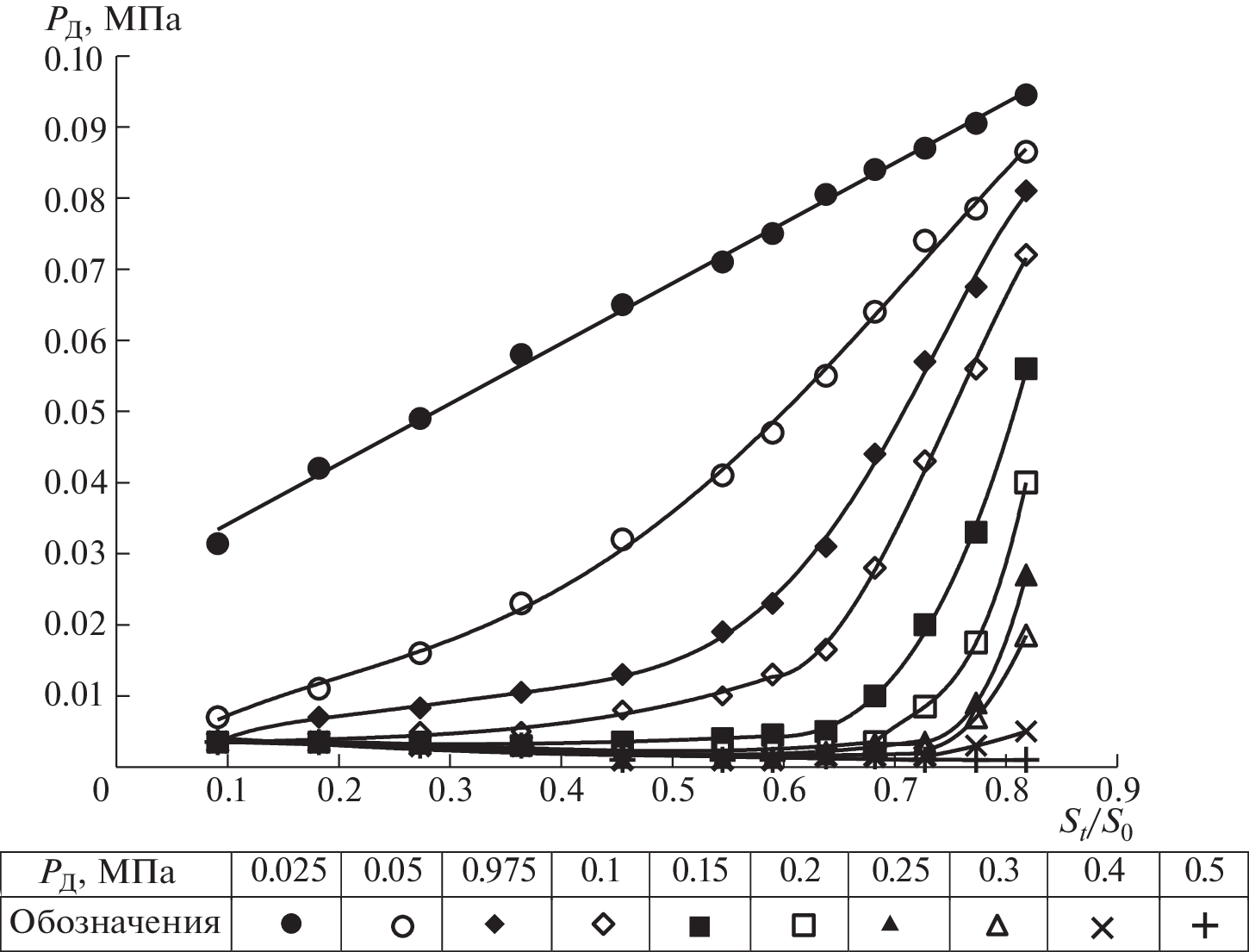
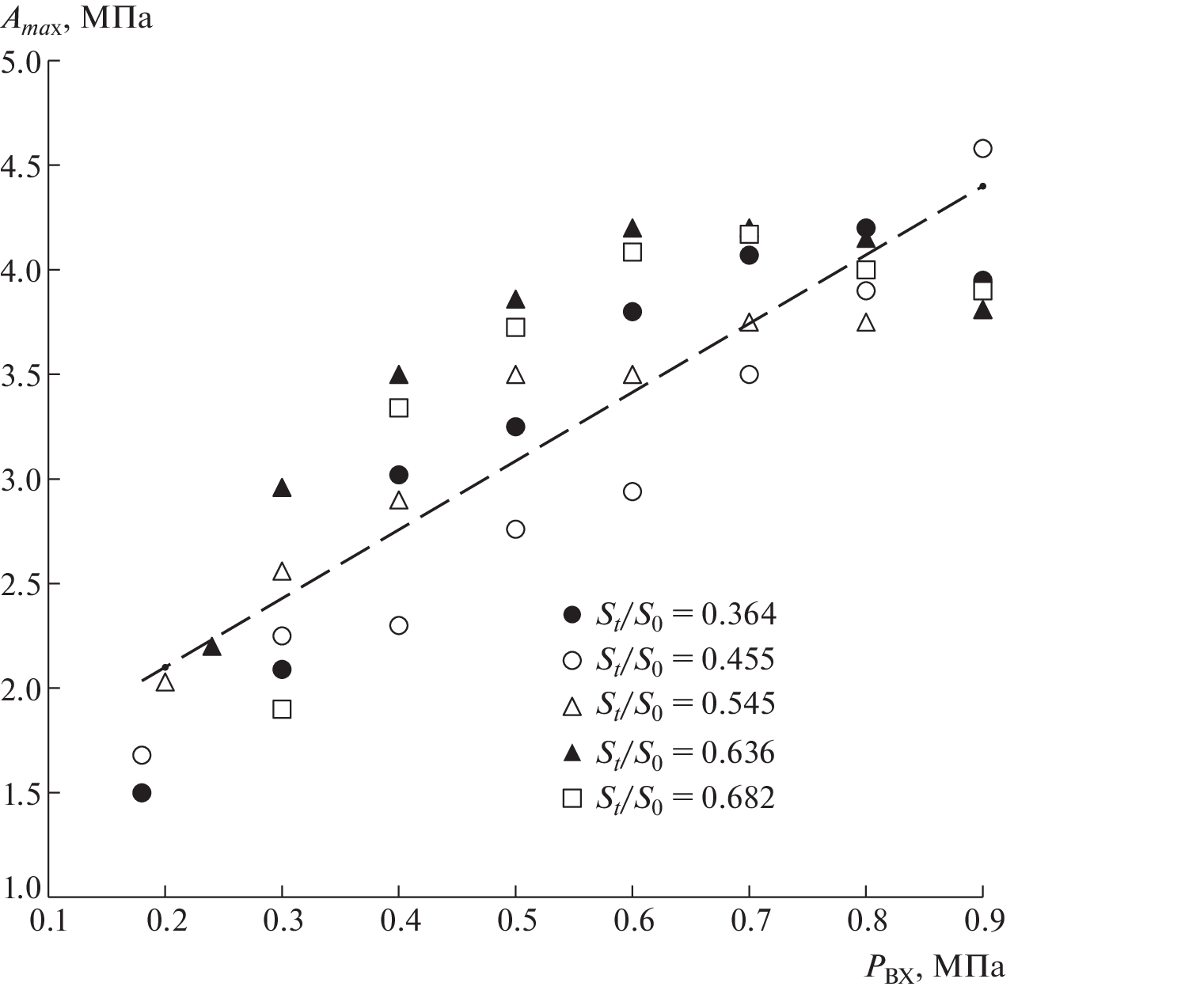
Представлены результаты исследований течения за цилиндрическими телами обтекания в проточном гидродинамическом генераторе плоского типа, полученные на гидродинамическом стенде экспериментальной базы НЦ НВМТ ИМАШ РАН при степени перекрытия потока телами обтекания St/S0 = 10–82%, числах Re = (0.5–5) × 105, давлении на входе РВХ = = 0.1–0.9 МПа. Получено, что при определенных величинах отношения входного к выходному давлению, которые являются постоянными для каждого значения степени перекрытия потока, на частотах 0.5–5 кГц возникают мощные пики давления резонансного типа с амплитудой, более чем в 4–5 раза превышающей максимальное значение входного давления.
Ключевые слова
Об авторах
С. Р. Ганиев
Институт машиноведения им. А.А. Благонравова РАН
Email: lle@bk.ru
Россия, Москва
А. И. Крюков
Институт машиноведения им. А.А. Благонравова РАН
Email: lle@bk.ru
Россия, Москва
В. П. Рудаков
Институт машиноведения им. А.А. Благонравова РАН
Email: v.p.rudakov@mail.ru
Россия, Москва
О. В. Шмырков
Институт машиноведения им. А.А. Благонравова РАН
Автор, ответственный за переписку.
Email: lle@bk.ru
Россия, Москва
Список литературы
- Ганиев Р.Ф., Украинский Л.Е. Нелинейная волновая механика и технологии. М.: Науч.-изд. Центр РХД, 2008. 712 с.
- Ганиев Р.Ф. Волновые машины и технологии (введение в волновую технологию). М.: Науч.-изд. Центр РХД, 2008. 192 с.
- Ганиев Р.Ф. Нелинейные резонансы и катастрофы. Надежность, безопасность и бесшумность. Науч.-изд. Центр РХД, 2013. 592 с.
- Ганиев Р.Ф., Кормилицын В.И., Украинский Л.Е. и др. Патент 2 306 972 МПК В01F 5/00. Устройство для гомогенизации и приготовления смесей. 2007. Бюл. № 27.
- Шальнев К.К. Критерий возникновения срывной кавитации круглого профиля // ДАН СССР. Гидромеханика. 1948 . Т. LXI. Вып. 5. С. 799–802.
- Шальнев К.К. Кинетическая структура срывной кавитации круглого профиля // ДАН СССР. Гидромеханика. 1954. Т. XCVII. Вып. 5. С. 785–788.
- Шальнев К.К. Давление и эрозия в области срывной кавитации круглого профиля // Изв. АН СССР. ОТН. 1954. Вып. 6. С. 111–119.
- Шальнев К.К. Условия интенсивности кавитационной эрозии // Изв. АН СССР, ОТН. 1956. Вып. 1. С. 3–20.
- Daily J.W. Cavitation Characteristics and Infinites Aspect – Ratio Characteristics of a Hydrofoil Section. Trans // ASME. 1949. V. 70. № 3.
- Эпштейн Л.А. Динамика каверн при течениях жидкости в трубке с пережатием // Тр. ЦАГИ им. проф. Н.Е. Жуковского. 1972.
- Пилипенко В.В. Кавитационные автоколебания. Киев: Наукова Думка, 1989. 314 с.
- Шмырков О.В., Юшков Н.Б., Кормилицын В.И. Исследование характеристик плоского генератора проточного типа с различными телами обтекания // Инж. журн. 2013. № 2. С. 12–19.
- Кормилицын В.И., Шмырков О.В., Юшков Н.Б. Особенности течения жидкости в плоском канале переменного сечения при высокой загроможденности препятствиями различного вида // ДАН. 2015. Т. 461. № 3. С. 277–280.
Дополнительные файлы









