ТУРБУЛЕНТНЫЕ ПУЛЬСИРУЮЩИЕ ТЕЧЕНИЯ В ТРУБЕ КВАДРАТНОГО СЕЧЕНИЯ
- Авторы: Никитин Н.В.1, Попеленская Н.В.1
-
Учреждения:
- МГУ имени М.В. Ломоносова, Научно-исследовательский институт механики
- Выпуск: № 2 (2023)
- Страницы: 55-71
- Раздел: Статьи
- URL: https://journal-vniispk.ru/1024-7084/article/view/135065
- DOI: https://doi.org/10.31857/S0568528122600886
- EDN: https://elibrary.ru/NTOIHM
- ID: 135065
Цитировать
Полный текст
Аннотация
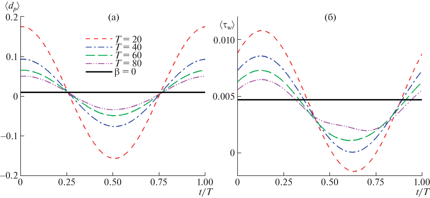
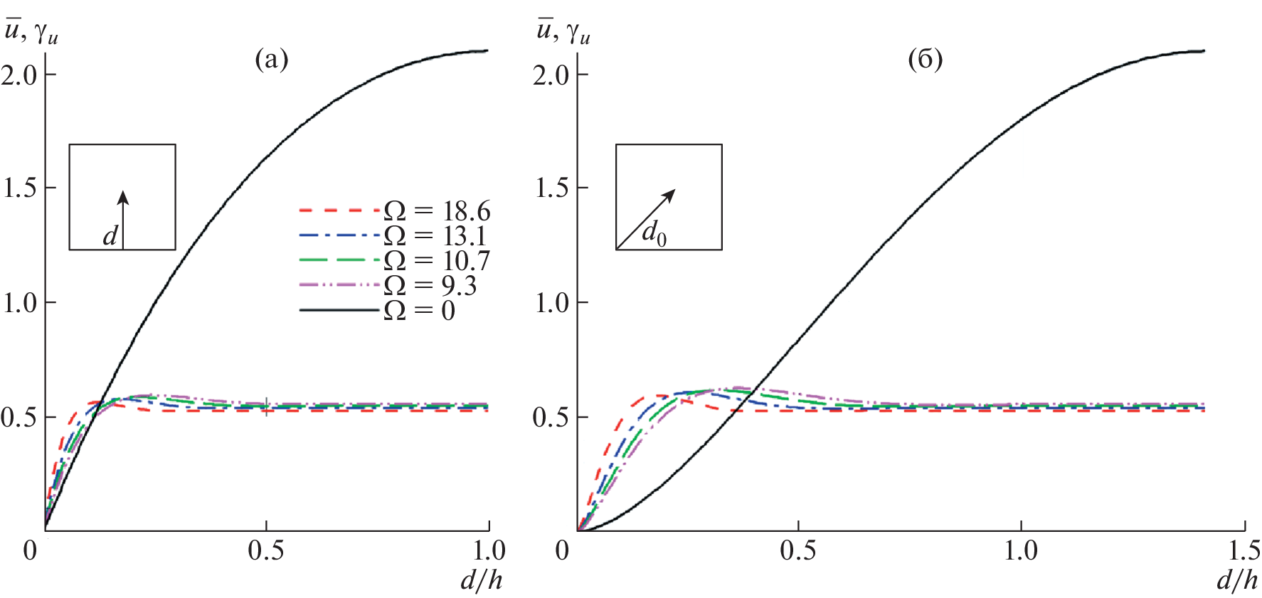
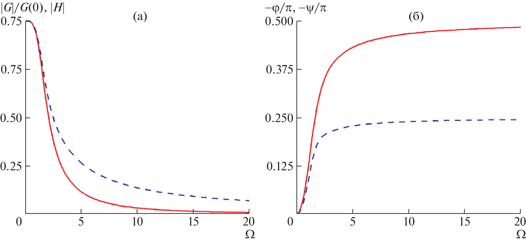
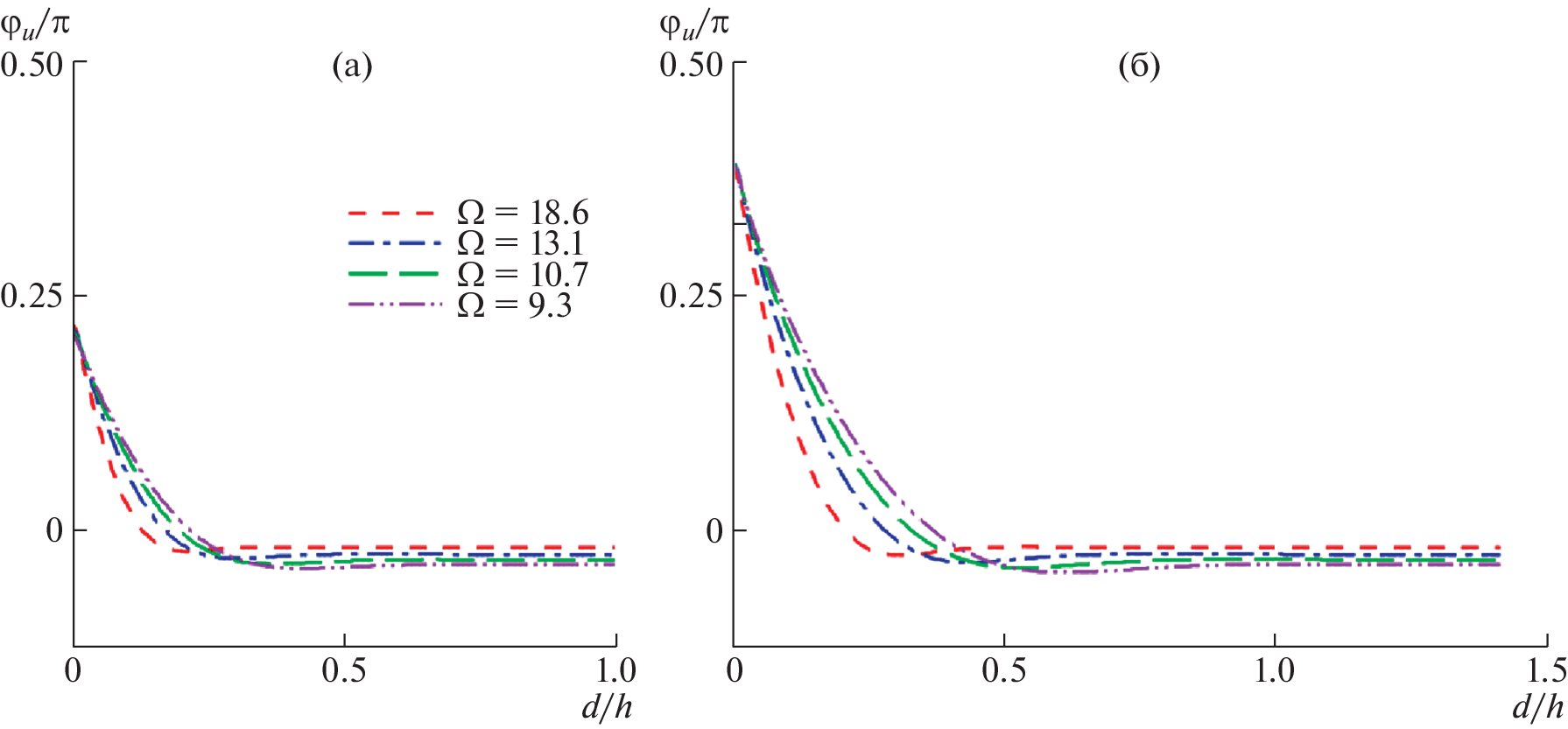
Численно исследуются турбулентные пульсирующие течения в трубе квадратного сечения. Рассматривается режим доминирования потока, когда расход жидкости остается положительным во всех фазах осцилляционного цикла. Изучены течения при нескольких значениях частоты осцилляций. Результаты сопоставляются с ламинарными осциллирующими течениями и турбулентным стационарным течением в квадратной трубе, а также пульсирующими турбулентными течениями в круглой трубе. Определены интегральные и пульсационные характеристики турбулентности, их зависимость от частоты осцилляций. Обнаружено, в частности, что при рассмотренном числе Рейнольдса Re = 2200 коэффициент сопротивления в пульсирующих течениях оказывается ниже, чем в стационарном. Снижение сопротивления увеличивается с ростом периода осцилляций, достигая величины в 14.7%. Характерной особенностью турбулентных течений в трубах прямоугольного сечения является возникновение вторичных течений Прандтля 2-го рода. В работе подробно изучены детали вторичных течений в условиях пульсирующего потока.
Об авторах
Н. В. Никитин
МГУ имени М.В. Ломоносова, Научно-исследовательский институт механики
Email: nvnikitin@mail.ru
Россия, Москва
Н. В. Попеленская
МГУ имени М.В. Ломоносова, Научно-исследовательский институт механики
Автор, ответственный за переписку.
Email: aero.natap@mail.ru
Россия, Москва
Список литературы
- Brereton G.J., Mankbadi R.R. Review of recent advances in the study of unsteady turbulent internal flows // Appl. Mech. Rev. 1995. V. 48. № 4. P. 189–212.
- Carpinlioglu M.O., Gundogdu M.Y. A critical review on pulsatile pipe flow studies directing towards future research topics // Flow Meas. Instrum. 2001. V. 12. P. 163–174.
- Manna M., Vacca A., Verzicco R. Pulsating pipe flow with large-amplitude oscillations in the very high frequency regime. Part 1. Time-averaged analysis // J. Fluid Mech. 2012. V. 700. P. 246–282.
- Papadopoulos P.K., Vouros A.P. Pulsating turbulent pipe flow in the current dominated regime at high and very-high frequencies // Int. J. Heat Fluid Flow. 2016. V. 58. P. 54–67.
- Stokes G.G. On the effect of the internal friction of fluids on the motion of pendulums // Cambridge Philos. Soc. 1850. V. 9. P. 1–86.
- Ramaprian B.R., Tu S.W. Fully developed periodic turbulent pipe flow. Part 2. The detailed structure of the flow // J. Fluid Mech. 1983. V. 137. P. 59–81.
- Tardu S.F., Binder G. Wall shear stress modulation in unsteady turbulent channel flow with high imposed frequencies // Phys. Fluids. 1993. V. 5. P. 2028–2034.
- Никитин Н.В., Попеленская Н.В., Stroh A. Вторичные течения Прандтля 2-го рода. Проблемы описания, предсказания, моделирования // Изв. РАН. МЖГ. 2021. № 4. С. 73–99.
- Gavrilakis S. Numerical simulation of low-Reynolds-number turbulent flow through a straight square duct // J. Fluid Mech. 1992. V. 244. P. 101–129.
- Никитин Н.В., Пиманов В.О., Попеленская Н.В. К вопросу об образовании вторичных течений Прандтля 2-го рода // ДАН. 2019. Т. 484. № 4. С. 420–425.
- Uhlmann M., Pinelli A., Kawahara G., Sekimoto A. Marginally turbulent flow in a square duct // J. Fluid Mech. 2007. V. 588. P. 153–162.
- Nikitin N. Finite-difference method for incompressible Navier–Stokes equations in arbitrary orthogonal curvilinear coordinates // J. Comput. Phys. 2006. V. 217. P. 759–781.
- Yakhot A., Arad M., Ben-Dor G. Numerical investigation of a laminar pulsating flow in a rectangular duct // Int. J. Numer. Meth. Fluids. 1999. V. 29. P. 935–950.
- Валуева Е.П., Пурдин М.С. Пульсирующее ламинарное течение в прямоугольном канале // Теплофизика и аэромеханика. 2015. Т. 22. № 6. С. 761–773.
- White F.M. Viscous fluid flow, 3rd edition. International edition: McGraw-Hill publication, 2006. 629 p.
- Uchida S. Pulsating viscous flow superposed on the steady laminar motion // Z. angew. Math. Phys. 1956. V. 7. P. 403–422.
- Richardson E.G., Tyler E. The transfer velocity gradient near the mouths of pipes in which an alternating or continuous flow of air is established // Proc. Phys. Soc. Lond. 1929. V. 42. P. 1–15.
- Lodahl C.R., Sumer B.M., Fredosoe J. Turbulent combined oscillatory flow and current in a pipe // J. Fluid Mech. 1998. V. 373. P. 313–348.
- Manna M., Vacca A. Spectral dynamic of pulsating turbulent pipe flow // Comput. Fluids. 2007. V. 37. P. 825–835.
- Gerrard J.H. An experimental investigation of pulsating turbulent water flow in a tube // J. Fluid Mech. 1971. V. 46. P. 43–64.
- Nikitin N. Turbulent secondary flows in channels with no-slip and shear-free boundaries // J. Fluid Mech. 2021. V. 917. P. A24.
Дополнительные файлы















