Experimental Study of Energy Separation in Compressible Air Cross Flow Over a Pair of Side-by-Side Circular Cylinders
- Authors: Vinogradov Y.A.1, Zditovets A.G.1, Kiselev N.A.1, Popovich S.S.1
-
Affiliations:
- Moscow State University, Institute of Mechanics
- Issue: No 2 (2023)
- Pages: 102-112
- Section: Articles
- URL: https://journal-vniispk.ru/1024-7084/article/view/135079
- DOI: https://doi.org/10.31857/S0568528122600904
- EDN: https://elibrary.ru/NTSOFA
- ID: 135079
Cite item
Full Text
Abstract
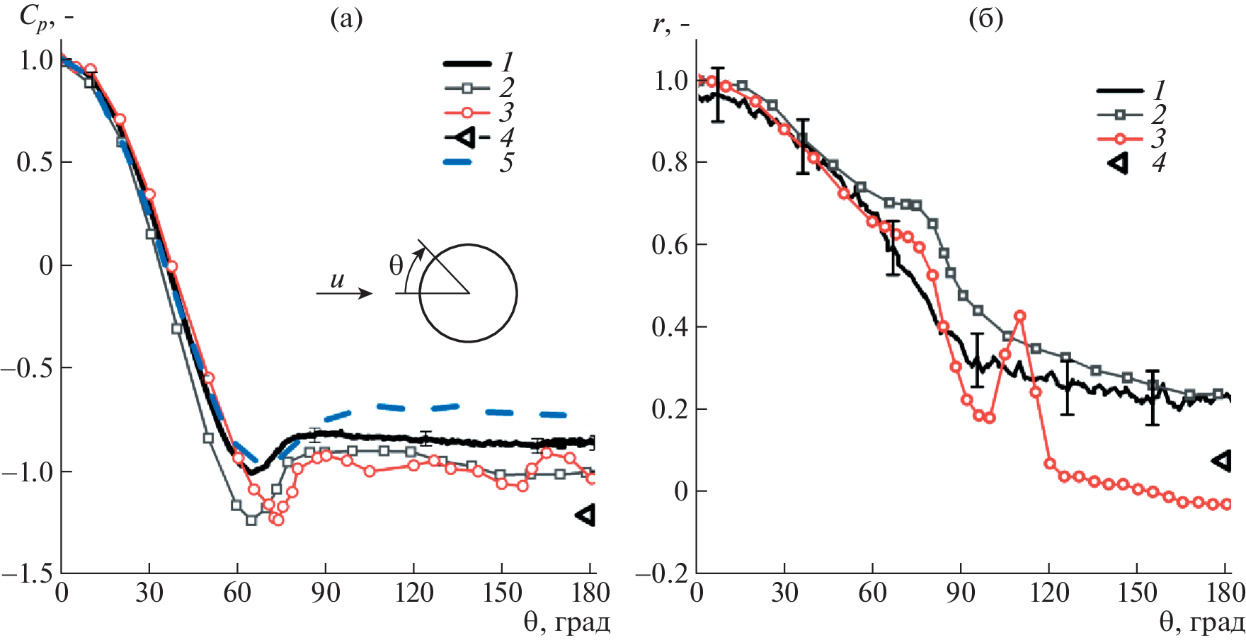
The influence of the distance between two circular side-by-side cylinders in a cross flow on the surface distribution of temperature and static pressure is experimentally studied. The studies were carried out at free-stream Mach numbers M equal to 0.295 and 0.365 and Reynolds numbers ReD equal to 6.4 × 104 and 7.9 × 104, respectively. The surface distributions of the pressure coefficient and the temperature recovery factor for one of the cylinders are obtained. It is shown that, depending on the distance between the cylinders, the pressure coefficient and temperature recovery factor can be both higher and lower than the values obtained in the flow over a single cylinder with the same free-stream parameters.
About the authors
Yu. A. Vinogradov
Moscow State University, Institute of Mechanics
Email: vinograd@imec.msu.ru
Moscow, Russia
A. G. Zditovets
Moscow State University, Institute of Mechanics
Email: zditovets@mail.ru
Moscow, Russia
N. A. Kiselev
Moscow State University, Institute of Mechanics
Email: kiselev.nick.a@gmail.com
Moscow, Russia
S. S. Popovich
Moscow State University, Institute of Mechanics
Author for correspondence.
Email: pss1@mail.ru
Moscow, Russia
References
- Eckert E.R.G. Energy separation in fluid streams // Int. Commun. Heat Mass Transf. 1986. V. 13. № 2. P. 127–143. https://doi.org/10.1016/0735-1933(86)90053-9
- Eiamsa-ard S., Promvonge P. Review of Ranque–Hilsch effects in vortex tubes // Renew. Sust. Energ. Rev. 2008. V. 2. № 7. P. 1822–1842. https://doi.org/10.1016/j.rser.2007.03.006
- Raman G., Srinivasan K. The powered resonance tube: From Hartmann’s discovery to current active flow control applications // Prog. Aerosp. Scie. 2009. V. 45. № 4–5. P. 97–123. https://doi.org/10.1016/j.paerosci.2009.05.001
- Леонтьев А.И. Температурная стратификация сверхзвукового газового потока // ДАН. 1997. Т. 354. № 4. С. 475–477.
- Golubkina I.V., Osiptsov A.N., Compressible gas-droplet flow and heat transfer behind a condensation shock in an expanding channel // Int. J. Therm. Sci. 2022. V. 179. P. 107576. https://doi.org/10.1016/j.ijthermalsci.2022.107576
- Leontiev A.I., Zditovets A.G., Vinogradov Y.A., Strongin M.M., Kiselev N.A. Experimental investigation of the machine-free method of temperature separation of air flows based on the energy separation effect in a compressible boundary layer // Exp. Therm. Fluid Sci. 2017. V. 88. P. 202–219. https://doi.org/10.1016/j.expthermflusci.2017.05.021
- Вигдорович И.И., Леонтьев А.И. Энергоразделение газов с малыми и большими числами Прандтля // Изв. РАН. МЖГ. 2013. № 6. С. 117–134.
- Vinogradov Y.A., Zditovets A.G., Leontiev A.I., Popovich S.S., Strongin M.M. Experimental research of shock wave processes influence on machineless gas flow energy separation effect // J. Phys. Conf. Ser. 2017. V. 891. № 1. P. 012080. https://doi.org/10.1088/1742-6596/891/1/012080
- Макаров М.С., Макарова С.Н. Эффективность энергоразделения при течении сжимаемого газа в плоском канале // Теплофизика и аэромеханика. 2013. Т. 20. № 6. С. 777–787.
- Leontiev A.I., Zditovets A.G., Kiselev N.A., Vinogradov Y.A., Strongin M.M. Experimental investigation of energy (temperature) separation of a high-velocity air flow in a cylindrical channel with a permeable wall // Exp. Therm. Fluid Sci. 2019. V. 105. P. 206–215. https://doi.org/10.1016/j.expthermflusci.2019.04.002
- Khazov D.E., Leontiev A.I., Zditovets A.G., Kiselev N.A., Vinogradov Y.A. Energy separation in a channel with permeable wall // Energy. 2022. V. 239. P. 122427. https://doi.org/10.1016/j.energy.2021.122427
- Бирюк В.В., Веретенников С.В., Гурьянов А.И., Пиралишвили Ш.А. Вихревой эффект. Технические приложения. М: ООО “Научтехлитиздат”, 2014. 216 c. ISBN:978-5-93728-143-2.
- Eckert E., Weise W. Messungen der temperaturverteilung auf der oberflache schnell angestromter unbeheizter korper // Forsch. Geb. Ing. Wesen. 1942. V. 13. № 6. P. 246–254. https://doi.org/10.1007/BF02585343
- Ryan L.F. Experiments on Aerodynamic CoolingExperiments on aerodynamic cooling. PhD thesis. Swiss Federal Institute of Technology. Zurich. 1951. https://doi.org/10.3929/ethz-a-000092033
- Popovich S.S., Kiselev N.A., Zditovets A.G., Vinogradov Y.A. Experimental study of the adiabatic wall temperature of a cylinder in a supersonic cross flow // J. Phys. Conf. Ser. 2021. V. 2039. № 1. P. 012029. https://doi.org/10.1088/1742-6596/2039/1/012029
- Попович С.С., Леонтьев А.И., Лущик В.Г., Макарова М.С. Коэффициент восстановления температуры в сжимаемом турбулентном пограничном слое // Теплофиз. выс. темп. 2022. Т. 60. № 3. С. 455–480. https://doi.org/10.31857/S0040364422030115
- Thomann H. Measurements of the recovery temperature in the wake of a cylinder and of a wedge at Mach numbers between 0.5 and 3. Tech. Rep. Report 84, National Aeronautical Research Institute (FFA), Sweden, 1959.
- Kurosaka M., Gertz J.B., Graham J.E., Goodman J.R., Sundaram P., Riner W.C., Kuroda H., Hankey W.L. Energy separation in vortex street // J. Fluid Mech. 1987. V. 178. P. 1–29. https://doi.org/10.1017/S0022112087001095
- Kulkarni K.S., Goldstein R.J. Energy separation in the wake of a cylinder: Effect of Reynolds number and acoustic resonance // Int. J. Heat Mass Transf. 2009. V. 52. № 17–18. P. 3994–4000. https://doi.org/10.1016/j.ijheatmasstransfer.2009.03.024
- Burazer J. Energy separation in transient and steady-state flow across the cylinder // J. Theor. Appl. Mech. 2018. V. 45. № 1. P. 83–94. https://doi.org/10.2298/TAM171130006B
- Aleksyuk A.I., Osiptsov A.N. Direct numerical simulation of energy separation effect in the near wake behind a circular cylinder // Int. J. Heat Mass Transf. 2018. V. 119. P. 665–677. https://doi.org/10.1016/j.ijheatmasstransfer.2017.11.133
- Aleksyuk A.I. The Eckert–Weise effect and energy separation under the f low interference behind side-by-side cylinders // J. Fluid Mech. 2021. V. 915. P. A95. https://doi.org/10.1017/jfm.2021.128
- Алексюк А.И. Области пониженной полной энтальпии в ближнем следе за телом в потоке вязкого газа // Изв. РАН. МЖГ. 2022. № 1. С. 69–80. https://doi.org/10.31857/S0568528122010017
- Aleksyuk A.I. Influence of vortex street structure on the efficiency of energy separation // Int. J. Heat Mass Transf. 2019. V. 135. P. 284–293. https://doi.org/10.1016/j.ijheatmasstransfer.2019.01.103
- Zdravkovich M.M. The effects of interference between circular cylinders in cross flow // J. Fluids Struct. 1987. V. 1. № 2. P. 239–261. https://doi.org/10.1016/S0889-9746(87)90355-0
- Shapiro A.H. The Dynamics and Thermodynamics of Compressible Fluid Flow. New York: The Ronald Press Company. Vol. 1. 1953.
- ГОСТ Р 54500.3-2011 / Руководство ИСО/МЭК 98-3:2008 https://docs.cntd.ru/document/1200088855
- Williamson C.H.K. Vortex Dynamics in the Cylinder Wake // Annu. Rev. Fluid Mech. 1996. V. 28. № 1. P. 477–539. https://doi.org/10.1146/annurev.fl.28.010196.002401
- Szepessy S., Bearman P.W. Aspect ratio and end plate effects on vortex shedding from a circular cylinder // J. Fluid Mech. 1992. V. 234. № 1. P. 191. https://doi.org/10.1017/S0022112092000752
- Nagata T., Noguchi A., Kusama K., Nonomura T., Komuro A., Ando A., Asai K. Experimental investigation on compressible flow over a circular cylinder at Reynolds number of between 1000 and 5000 // J. Fluid Mech. 2020. V. 893. P. A13. https://doi.org/10.1017/jfm.2020.221
- Mahbub Alam M., Moriya M., Sakamoto H. Aerodynamic characteristics of two side-by-side circular cylinders and application of wavelet analysis on the switching phenomenon // J. Fluids Struct. 2003. V. 18 № 3–4. P. 325–346. https://doi.org/10.1016/j.jfluidstructs.2003.07.005
Supplementary files







