Motion of a Load on an Ice Cover in the Presence of a Current with Velocity Shear
- Autores: Tkacheva L.A.1
-
Afiliações:
- Lavrentyev Institute of Hydrodynamics of the Siberian Branch of the Russian Academy of Sciences
- Edição: Nº 2 (2023)
- Páginas: 113-122
- Seção: Articles
- URL: https://journal-vniispk.ru/1024-7084/article/view/135084
- DOI: https://doi.org/10.31857/S0568528123700044
- EDN: https://elibrary.ru/NTTSET
- ID: 135084
Citar
Texto integral
Resumo
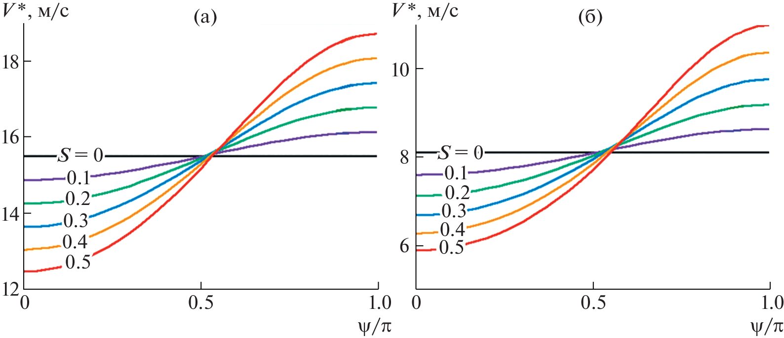
The behavior of an ice cover on the surface of an ideal incompressible fluid of finite depth under the action of a pressure domain that moves rectilinearly at a constant velocity in the presence of a current with velocity shift is studied. Fluid flow is not potential. The ice cover is modeled by a thin elastic plate with account for uniform compression. The motion of the load can occur at an arbitrary angle to the direction of current. It is assumed that the ice deflection is steady in the coordinate system moving with the load. The Fourier transform method is used within the framework of the linear wave theory. The critical velocities and the deflection of ice cover are studied depending on the current velocity gradient, the direction of motion, and the compression ratio.
Palavras-chave
Sobre autores
L. Tkacheva
Lavrentyev Institute of Hydrodynamics of the Siberian Branch of the Russian Academy of Sciences
Autor responsável pela correspondência
Email: tkacheva@hydro.nsc.ru
Novosibirsk, Russia
Bibliografia
- Davys J.W., Hosking R.I., Sneyd A.D. Waves due to a steadily moving source on a floating ice plate// J. Fluid Mech. 1985. V. 158. P. 269–287.
- Schulkes R.M.S.M., Hosking R.J., Sneyd A.D. Waves due to a steadily moving source on a floating ice plate. Pt 2 // J. Fluid Mech. 1987. V. 180. P. 297–318.
- Milinazzo F., Shinbrot M., Evans N.W. A mathematical analysis of the steady response of floating ice to the uniform motion of a rectangle load // J. Fluid Mech. 1995. V. 287. P. 173–197.
- Букатов А.Е., Жарков В.В., Завьялов Д.Д. Трехмерные изгибно-гравитационные волны при неравномерном сжатии // ПМТФ. 1991. № 6. С. 51–57.
- Жесткая В.Д., Козин В.М. Исследования напряженно-деформированного состояния полубесконечного ледяного покрова под действием движущейся нагрузки // ПМТФ. 1994. Т. 35, № 5. С. 112–117.
- Squire V.A. Moving Loads on Ice Plates / V.A. Squire, R.J. Hosking, A.D. Kerr, et al. Dordrecht: Kluwer, 1996.
- Yeung R.W., Kim J.W. Effects of a translating load on a floating plate-structural drag and plate deformation // J. Fluids Structures. 2000. V. 14. № 7. P. 993–1011.
- Nugroho W.S., Wang K., Hosking R.J., Milinazzo F. Time-dependent response of a floating flexible plate to an impulsively started steadily moving load // J. Fluid Mech. 1999. V. 381. P. 337–355.
- Погорелова А.В., Козин В.М., Матюшина А.А. Исследование напряженно-деформируемого состояния ледяного покрова при взлете и посадке на него самолета // ПМТФ. 2015. Т. 56. № 5. С. 214–221.
- Букатов А.Е., Мордашев В.И. Влияние продольно сжатой упругой пластинки на развитие волнового возмущения потока однородной жидкости с вертикальным сдвигом скорости // ПМТФ. 1981. № 1. С. 122–129.
- Суворов А.М. Развитие колебаний ледяного покрова в море при наличии горизонтального течения со сдвигом скорости // Поверхностные и внутренние волны. Севастополь: МГИ АН УССР. 1979. С. 63–69.
- Суворов А.М., Черкесов Л.В. Нестационарные вынужденные колебания упругой пластинки, плавающей на поверхности потока жидкости со сдвигом скорости // Прикладная механика. 1980. № 5. С. 102–106.
- Букатов А.Е. Волны в море с плавающим ледяным покровом. Морской гидрофизический институт РАН. Севастополь. 2017. 357 с.
- Das S., Kar P., Sahoo T., Meylan M.H. Flexural-gravity wave motion in the presence of shear current: Wave blocking and negative energy waves // Phys. Fluids. 2018. V. 30. 106606. https://doi.org/10.1063/1.5052228
- Стурова И.В. Задача Коши–Пуассона для жидкости под ледяным покровом при наличии сдвигового течения (двумерный случай)// Изв. РАН. Механика жидкости и газа. 2022. № 1. С. 47–56.
- Суворов А.М., Тананаев А.Н., Черкесов Л.В. Нестационарные пространственные волны в потоке однородной жидкости со сдвигом скорости. Севастополь: МГИ АН УССР. 1979. С. 14–21.
- Санников В.Ф. Корабельные волны в однородном море с линейным профилем скорости по глубине // Поверхностные и внутренние волны. Севастополь: МГИ АН УССР. 1979. С. 22–31.
- Суворов А.М., Черкесов Л.В. Волны от поверхностных возмущений в потоке стратифицированной жидкости со сдвигом скорости // Поверхностные и внутренние волны. Севастополь: МГИ АН УССР. 1979. С. 128–138.
- Ellingsen S.A. Initial surface disturbance on shear current: The Cauchy-Poisson problem with a twist // Phys. Fluids. 2014. V. 26. 082104.
- Li Y., Ellingsen S.A. Initial Value Problems for Water Waves in the Presence of a Shear Current // Proc. 25-th Intern. Ocean and Polar Engng Conf. 2015. Kona. Big Island. Hawaii. USA. June 21-26 2015. P. 543–549.
- Ellingsen S.A. Ship waves in the presence of uniform vorticity // J. Fluid Mech. 2014. V. 742. R2. https://doi.org/10.1017/jfm.2014.28
- Li Y., Ellingsen S.A. Ship waves on uniform shear current at finite depth: wave resistance and critical velocity // J. Fluid Mech. 2016. V. 791. P. 539–567.
- Ellingsen S.A. Oblique waves on a vertical sheared current are rotational // Eur. J. Mech. B/Fluids. 2016. V. 56. P. 156–160.
- Ткачева Л.А. Начально-краевая задача о поведении ледяного покрова под действием нагрузки при наличии сдвигового потока// Изв. РАН. Механика жидкости и газа. 2022. № 2. С. 66–76.
- Стурова И.В. Задача Коши–Пуассона для жидкости со сдвиговым течением и неравномерно сжатым ледяным покровом // Известия РАН. Механика жидкости и газа. 2022. № 4. С. 69–76.
- Лайтхилл Дж. Волны в жидкостях. М.: Изд-во Мир. 1981.
Arquivos suplementares








