ЭКСПЕРИМЕНТАЛЬНОЕ ИССЛЕДОВАНИЕ СТРУКТУРЫ ВОЗМУЩЕНИЙ ОТ ДВУХ ИМПУЛЬСНЫХ ИСТОЧНИКОВ В СВЕРХЗВУКОВОМ ПОГРАНИЧНОМ СЛОЕ ПЛАСТИНЫ
- Авторы: Афанасьев Л.В.1, Ермолаев Ю.Г.1, Косинов А.Д.1, Кочарин В.Л.1, Семенов Н.В.1, Яцких А.А.1
-
Учреждения:
- Институт теоретической и прикладной механики им. С.А. Христиановича СО РАН
- Выпуск: № 4 (2023)
- Страницы: 27-36
- Раздел: Статьи
- URL: https://journal-vniispk.ru/1024-7084/article/view/135086
- DOI: https://doi.org/10.31857/S1024708423600070
- EDN: https://elibrary.ru/WLFQGI
- ID: 135086
Цитировать
Полный текст
Аннотация
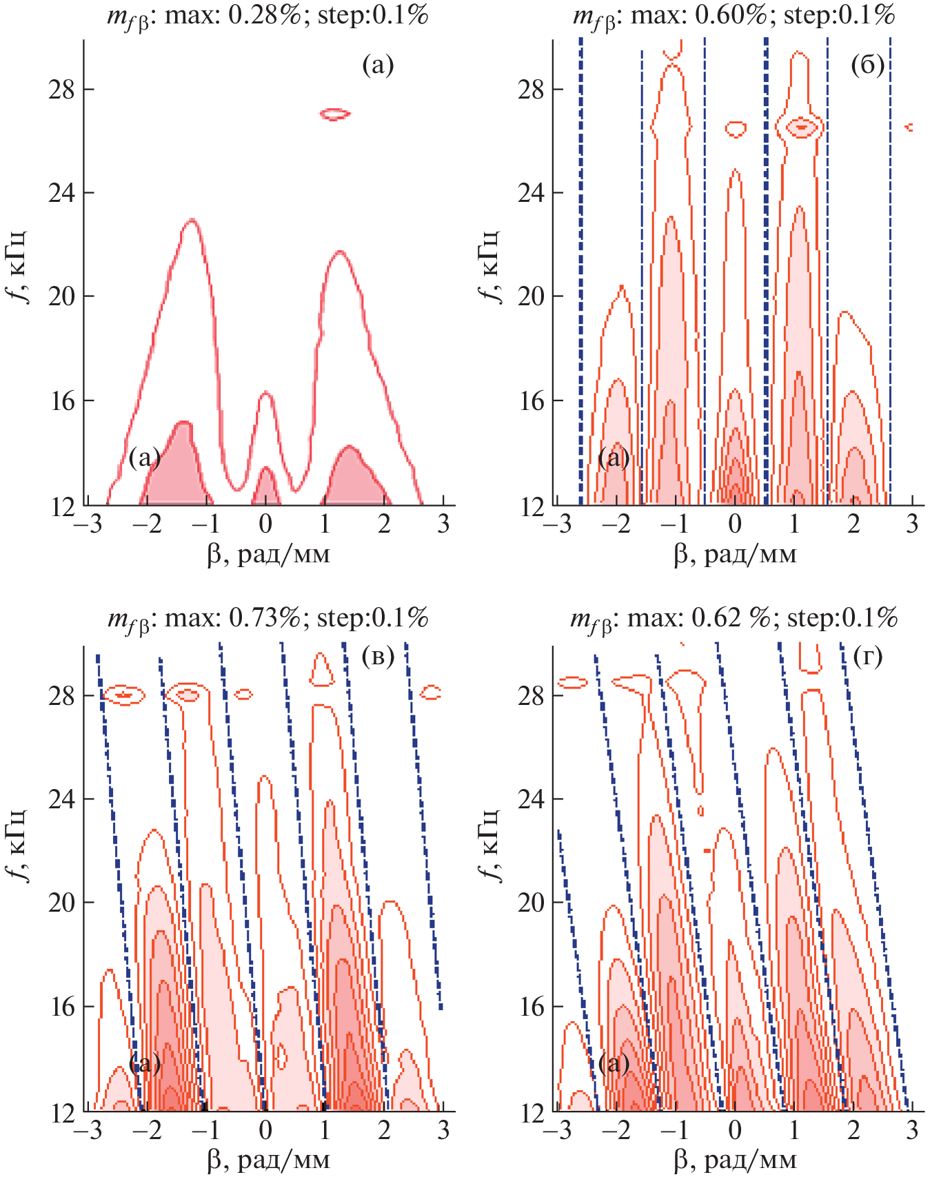
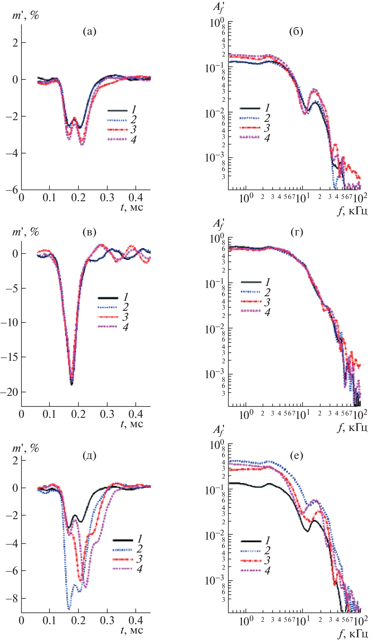
Описано развитие нового экспериментального метода введения в сверхзвуковой пограничный слой контролируемых возмущений с заданной частотно-волновой структурой. Представляются данные экспериментов по формированию возмущений от двух импульсных источников (импульсный тлеющий разряд) в ламинарном пограничном слое пластины при числе Маха, равном 2. Эксперименты выполнены в аэродинамической трубе Т-325 ИТПМ СО РАН. Локализованные источники располагались на одинаковом расстоянии от передней кромки пластины в 6 мм друг от друга по размаху. Пульсации потока измерялись с помощью однониточного датчика термоанемометра постоянного сопротивления, запись сигнала проводилась синхронно с зажиганием разрядов, что позволяло выделять возмущения от разрядов из фона случайных неконтролируемых “естественных” пульсаций пограничного слоя. Анализируются пространственно-временная структура и частотно-волновой состав генерируемых возмущений от одиночного и двух разрядов, работающих синхронно и с задержкой во времени. Получено, что наибольшие отличия в структуре возмущений от одного и двух источников наблюдаются в центральной области, тогда как на боковых границах возмущения пульсации близки во всех рассматриваемых случаях. В спектрах возмущений по поперечным волновым числам от двух разрядов формируются узлы и пучности, положение которых определяется расстоянием между источниками и временной задержкой в их работе.
Об авторах
Л. В. Афанасьев
Институт теоретической и прикладной механики им. С.А. Христиановича СО РАН
Email: yatskikh@itam.nsc.ru
Россия, Новосибирск
Ю. Г. Ермолаев
Институт теоретической и прикладной механики им. С.А. Христиановича СО РАН
Email: yatskikh@itam.nsc.ru
Россия, Новосибирск
А. Д. Косинов
Институт теоретической и прикладной механики им. С.А. Христиановича СО РАН
Email: yatskikh@itam.nsc.ru
Россия, Новосибирск
В. Л. Кочарин
Институт теоретической и прикладной механики им. С.А. Христиановича СО РАН
Email: yatskikh@itam.nsc.ru
Россия, Новосибирск
Н. В. Семенов
Институт теоретической и прикладной механики им. С.А. Христиановича СО РАН
Email: yatskikh@itam.nsc.ru
Россия, Новосибирск
А. А. Яцких
Институт теоретической и прикладной механики им. С.А. Христиановича СО РАН
Автор, ответственный за переписку.
Email: yatskikh@itam.nsc.ru
Россия, Новосибирск
Список литературы
- Косинов А.Д., Маслов А.А. Развитие искусственно вызванных возмущений в сверхзвуковом пограничном слое // Изв. АН СССР. МЖГ. 1984. № 5. С. 37–43.
- Kosinov A.D., Maslov A.A., Shevelkov S.G. Experiments on the stability of supersonic laminar boundary layers // J. Fluid Mech. 1990. V. 219. P. 621–633. https://doi.org/10.1017/S0022112090003111
- Bountin D., Shiplyuk A., Maslov A. Evolution of nonlinear processes in a hypersonic boundary layer on a sharp cone // J. Fluid Mech. 2008. V. 611. P. 427–442. https://doi.org/10.1017/S0022112008003030
- Ермолаев Ю.Г., Колосов Г.Л., Косинов А.Д., Семенов Н.В. Линейная эволюция контролируемых возмущений в сверхзвуковом пограничном слое скользящего крыла // Изв. РАН. МЖГ. 2014. № 2. С. 58–68.
- Kosinov A.D., Kolosov G.L., Semionov N.V., Yermolaev Y.G. Linear development of controlled disturbances in the supersonic boundary layer on a swept wing at Mach 2 // Phys. Fluids. 2016. V. 28. Art. No. 064101. 16 p. https://doi.org/10.1063/1.4952999
- Casper K.M., Beresh S.J., Schneider S.P. Pressure fluctuations beneath instability wavepackets and turbulent spots in a hypersonic boundary layer // J. Fluid Mech. 2014. V. 756. P. 1058–1091. https://doi.org/10.1017/jfm.2014.475
- Яцких А.А., Ермолаев Ю.Г., Косинов А.Д., Семенов Н.В. Эволюция волновых пакетов в сверхзвуковом пограничном слое плоской пластины // Теплофизика и аэромеханика. 2015. Т. 22. № 1. С. 17–28.
- Yatskikh A., Yermolaev Y., Kosinov A., Semionov N., Semenov A. Evolution of localized artificial disturbance in 2D and 3D supersonic boundary layers // Proceedings of the Institution of Mechanical Engineers, Part G: Journal of Aerospace Engineering. 2020. V. 234. № 1. P.115–123. https://doi.org/10.1177/0954410018787120
- Довгаль А.В., Катасонов М.М., Козлов В.В., Павленко А.М. Эволюция локализованных возмущений пограничного слоя в условиях ламинарно-турбулентного перехода (обзор) // Теплофизика и аэромеханика. 2022. Т. 29. № 4. С. 491–506.
- Mayer C.S., Wernz S., Fasel H.F. Numerical investigation of the nonlinear transition regime in a Mach 2 boundary layer // J. Fluid Mech. 2011. V. 668. P. 113–149. https://doi.org/10.1017/S0022112010004556
- Mayer C.S., Laible A.C., Fasel H.F. Numerical investigation of wave packets in a Mach 3.5 cone boundary layer // AIAA J. 2011. V. 49. № 1. P. 67–86. https://doi.org/10.2514/1.J050038
- Egorov I.V., Novikov A.V. Direct numerical simulation of laminar–turbulent flow over a flat plate at hypersonic flow speeds // Computational Mathematics and Mathematical Physics. 2016. V. 56. P. 1048–1064. https://doi.org/10.1134/S0965542516060129
- Чувахов П.В., Егоров И.В. Численное моделирование эволюции возмущений в сверхзвуковом пограничном слое над углом разрежения // Изв. РАН. МЖГ. 2021. № 5. С. 49–60. https://doi.org/10.31857/S0568528121050029
- Егоров И.В., Новиков А.В., Чувахов П.В. Численное моделирование развития турбулентных пятен в сверхзвуковом пограничном слое на пластине // Матем. моделирование. 2022. Т. 34. № 7. С. 63–72. https://doi.org/10.20948/mm-2022-07-04
- Хотяновский Д.В., Кудрявцев А.Н. Прямое численное моделирование перехода к турбулентности в сверхзвуковом пограничном слое на гладких и шероховатых поверхностях // Прикл. механика и техн. физика. 2017. Т. 58. № 5. С. 80–92. https://doi.org/10.15372/PMTF20170508
- Хотяновский Д.В., Кудрявцев А.Н. Прямое численное моделирование перехода к турбулентности в сверхзвуковом пограничном слое // Теплофизика и аэромеханика. 2015. Т. 22. № 5. С. 581–590.
- Чувахов П.В., Погорелов И.О. Источники турбулентности на прямом крыле сверхзвукового пассажирского самолёта // Матем. моделирование. 2022. Т. 34. № 8. С. 19–37. https://doi.org/10.20948/mm-2022-08-02
- Гилев В.М., Козлов В.В. Влияние периодического вдува-отсоса на процесс перехода в пограничном слое // Уч. записки ЦАГИ. 1986. Т. 17. № 3. С. 27–33.
- Borodulin V.I., Kachanov Y.S. On properties of the deterministic turbulence and reproducibility of its instantaneous and statistical characteristics // Theoretical and Applied Mechanics Letters. 2014. V. 4. № 6. Art. No. 062004. 19 p. https://doi.org/10.1063/2.1406204
- Бойко А.В., Иванов А.В., Качанов Ю.С., Мищенко Д.А. Исследование слабонелинейного развития нестационарных вихрей Гёртлера // Теплофизика и аэромеханика. 2010. Т. 17. № 4. С. 487–514.
- Borodulin V.I., Kachanov Y.S. Experimental evidence of deterministic turbulence // Eur. J. Mech. B/Fluids. 2013. V. 40. P. 34–40. https://doi.org/10.1016/j.euromechflu.2013.02.004
- Corke T.C., Cavalieri D.A., Matlis E. Boundary-layer instability on sharp cone at Mach 3.5 with controlled input // AIAA J. 2002. V. 40. P. 1015–1018. https://doi.org/10.2514/2.1744
- Kolosov G.L., Kosinov A.D., Semenov A.N., Yatskikh A.A. Experimental and numerical investigation of controlled disturbances development from two sources in supersonic boundary layer // Advances in Aerodynamics. 2019. V. 1. Art. № 14. 13 p. https://doi.org/10.1186/s42774-019-0017-4
- Яцких А.А., Афанасьев Л.В. Численное моделирование эволюции локализованных возмущений от двух синхронных разнесенных источников в сверхзвуковом пограничном слое // Теплофизика и аэромеханика. 2022. Т. 29. № 6. С. 923–934.
- Yatskikh A.A., Kosinov A.D., Semionov N.V., Smorodsky B.V., Ermolaev Yu.G., Kolosov G.L. Investigation of laminar-turbulent transition of supersonic boundary layer by scanning constant temperature hot-wire anemometer // AIP Conf. Proc. 2018. V. 2027. Art. No. 040041. 5 p. https://doi.org/10.1063/1.5065315
Дополнительные файлы








