ОБТЕКАНИЕ ТЕЛ ЗАПЫЛЕННЫМ ГАЗОМ ПРИ РАССЕЯНИИ ОТРАЖЕННЫХ ЧАСТИЦ
- Авторы: Панфилов С.В.1, Романюк Д.А.1, Циркунов Ю.М.1
-
Учреждения:
- Балтийский государственный технический университет ВОЕНМЕХ им. Д.Ф. Устинова
- Выпуск: № 4 (2023)
- Страницы: 64-80
- Раздел: Статьи
- URL: https://journal-vniispk.ru/1024-7084/article/view/135096
- DOI: https://doi.org/10.31857/S1024708423600069
- EDN: https://elibrary.ru/WLFHPD
- ID: 135096
Цитировать
Полный текст
Аннотация
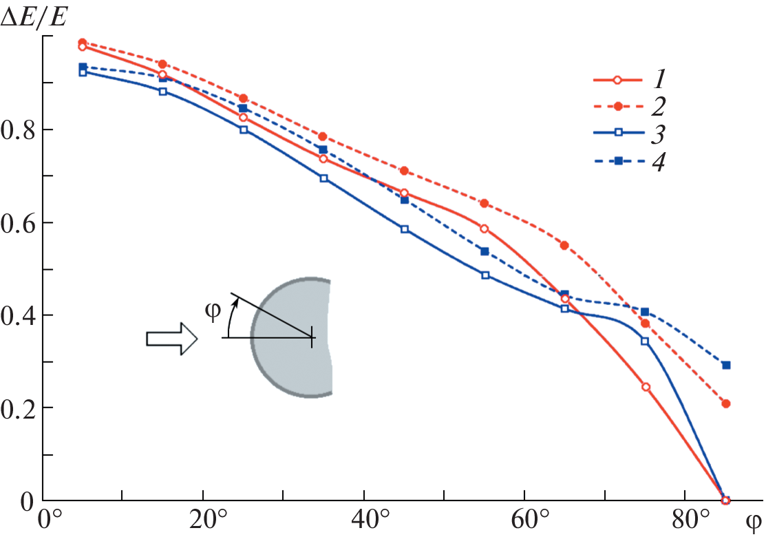
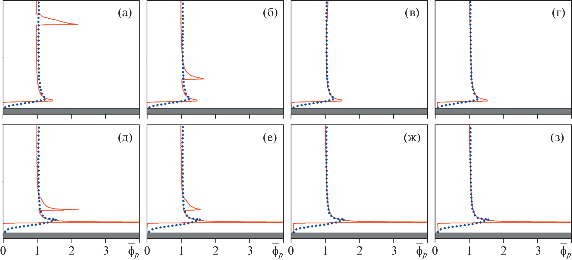
Рассмотрены обтекание плоской пластины конечной толщины в канале с большой дозвуковой скоростью и сверхзвуковое поперечное обтекание цилиндра двухфазным потоком газа с твердыми частицами. Передняя кромка пластины имеет форму клина или гладкое затупление постоянного радиуса. Поверхность клина и переднего затупления задается гладкой или шероховатой. Шероховатость моделируется двумерным профилем, который задается на основе эксперимента. Рассмотрены сферические частицы и смесь частиц в виде эллипсоидов вращения, прямоугольных призм, призм со срезанными вершинами и тетраэдров. Параметры каждой из форм варьируются. При определении поступательной и вращательной скоростей несферических частиц после отскока используется модель ударного взаимодействия, предложенная ранее и согласующаяся с экспериментальными данными по коэффициентам восстановления скорости центра масс. Наряду с монодисперсной примесью рассмотрена дисперсная фаза с разбросом частиц по размерам. На основе анализа численных результатов установлена роль исследованных факторов случайной природы на картину течения и параметры примеси.
Об авторах
С. В. Панфилов
Балтийский государственный технический университет ВОЕНМЕХ им. Д.Ф. Устинова
Email: panfilov_sv@rambler.ru
Россия, Санкт-Петербург
Д. А. Романюк
Балтийский государственный технический университет ВОЕНМЕХ им. Д.Ф. Устинова
Email: romanyuk-da@rambler.ru
Россия, Санкт-Петербург
Ю. М. Циркунов
Балтийский государственный технический университет ВОЕНМЕХ им. Д.Ф. Устинова
Автор, ответственный за переписку.
Email: yury-tsirkunov@rambler.ru
Россия, Санкт-Петербург
Список литературы
- Нигматулин Р.И. Динамика многофазных сред. Ч. 1. М.: Наука, 1987. 464 с.
- Циркунов Ю.М., Панфилов С.В., Романюк Д.А. Двухфазные течения газа с частицами в задачах аэродинамики: взгляд ученого и инженера, проблемы и результаты // IX Поляховские чтения: Материалы международной научной конференции по механике, 9–12 марта 2021 г., Санкт-Петербург, Россия. – СПб.: Издательство ВВМ, 2021. С. 63–67.
- Циркунов Ю.М. Исследование инерционного осаждения полидисперсных частиц в критической точке сферы // ПМТФ. 1985. № 5. С. 94–102.
- Моллесон Г.В., Стасенко А.Л. Особенности обтекания затупленного тела сверхзвуковой полидисперсной струей с закруткой отраженных частиц // ТВТ. 2011. Т. 49. 1. С. 73–80.
- Tsirkunov Yu., Romanyuk D., Panfilov S. Effects of particle mixing and scattering in the dusty gas flow through moving and stationary cascades of airfoils // Progress in Propulsion Physics. Vol. 2 (Eds.: L. DeLuca, C. Bonnal, O. Haidn and S. Frolov). Torus Press and EDP Sciences, 2011. P. 459–474.
- Ревизников Д.Л., Способин А.В., Сухарев Т.Ю. Численное моделирование обтекания затупленного тела сверхзвуковым полидисперсным потоком // ТВТ. 2017. Т. 55. № 3. С. 418–425.
- Haider A., Levenspiel O. Drag coefficient and thermal velocity of spherical and nonspherical particles // Powder Technology. 1989. V. 58. P. 63–70.
- Hölzer A., Sommerfeld M. New simple correlation formula for the drag coefficient of non-spherical particles // Powder Technology. 2008. V. 184. P. 361–365.
- Кашеваров А.В., Стасенко А.Л. Взаимодействие частиц различной формы с несущим континуальным потоком газа (обзор). Ученые записки ЦАГИ. 2014. Т. XLV. № 5. С. 3–17.
- Sommerfeld M., Qadir Z. Fluid dynamic forces acting on irregular shaped particles: simulations by the Lattice-Boltzmann method // Int. J. of Multiphase Flow. 2018. V. 101. P. 212–222.
- Sanjeevi S.K.P., Kuipers H.A.M., Padding J.T. Drag, lift and torque correlations for non-spherical particles from Stokes limit to high Reynolds numbers // Int. J. of Multiphase Flow. 2018. V. 106. P. 325–337.
- Castang C., Laín S., García D., Sommerfeld M. Aerodynamic coefficients of irregular non-spherical particles at intermediate Reynolds numbers // Powder Technology. 2022. V. 402. 117341. 16 p.
- Grant G., Tabakoff W. Erosion prediction in turbomachinery resulting from environmental solid particles // J. Aircraft. 1975. V. 12. P. 471–478.
- Tabakoff W., Malak M.F., Hamed A. Laser measurements of solid-particle rebound parameters impacting on 2024 aluminium and 6A1-4V titanium alloys // AIAA Journal. 1987. V. 25. № 5. P. 721–726.
- Лашков В.А. Об экспериментальном определении коэффициентов восстановления скорости частиц потока газовзвеси при ударе о поверхность // ИФЖ. 1991. Т. 60. № 2. С. 197–203.
- Tabakoff W. Measurements of particles rebound characteristics on materials used in gas tubines // J. Propulsion. 1991. V. 7. № 5. P. 805–813.
- Циркунов Ю.М., Панфилов С.В., Клычников М.Б. Полуэмпирическая модель ударного взаимодействия дисперсной частицы примеси с поверхностью, обтекаемой потоком газовзвеси // ИФЖ. 1994. Т. 67. № 5-6. С. 379–386.
- Vittal B.V.R., Tabakoff W. Two-phase flow around a two-dimensional cylinder // AIAA Journal. 1987. V. 25. № 5. P. 648–654.
- Волков А.Н., Циркунов Ю.М. Кинетическая модель столкновительной примеси в запыленном газе и ее применение к расчету обтекания тел // Изв. РАН. МЖГ. 2000. № 3. С. 81–97.
- Crowe C.T., Schwarzkopf J.D., Sommerfeld M., Tsuji Y. Multiphase Flows with Droplets and Particles. 2nd Edition, CRC Press, Boca Raton, U.S.A. 2012.
- Tsuji Y., Oshima T., Morikawa Y. Numerical simulation of pneumatic conveying in a horizontal pipe // KONA Powder Part. J. 1985. № 3. P. 38–51.
- Sommerfeld M. Modellimg of particle-wall collisions in confined gas-particle flows // Int. J. Multiphase Flow. 1992. V. 18. № 6. P. 905–926.
- Sommerfeld M., Huber N. Experimental analysis and modelling of particle-wall collisions // Int. J. Multiphase Flow. 1999. V. 25. P. 1457–1489.
- Панфилов С.В., Циркунов Ю.М. Рассеяние несферических частиц примеси при отскоке от гладкой и шероховатой поверхностей в высокоскоростном потоке газовзвеси // ПМТФ. 2008. Т. 49. № 2. С. 79–88.
- Quintero B., Lain S., Sommerfeld M. Derivation and validation of a hard-body particle-wall collision model for non-spherical particles of arbitrary shape // Powder Technology. 2021. V. 380. P. 526–538.
- Панфилов С.В., Циркунов Ю.М. Модель отскока и рассеяния несферических частиц при высокоскоростном взаимодействии с обтекаемой поверхностью // ЖТФ. 2022. Т. 92. Вып. 5. С. 665–675.
- Tsirkunov Yu.M., Panfilov S.V. Modelling of particle-wall interaction in two-phase flows at moderate and high particle impact velocity // Proc. of the Third Int. Conf. on Multiphase Flow, ICMF’98, Lyon, France, June 8–12, 1998. Paper 693. 8 p.
- Konan N.A., Kannengieser O. Simonin O. Stochastic modeling of the multiple rebound effects for particle-rough wall collisions // Int. J. Multiphase Flow. 2009. V. 35. P. 933–945.
- Radenkovic D., Simonin O. Stochastic modelling of three-dimensional particle rebound from isotropic rough wall surface // Int. J. Multiphase Flow. 2018. V. 109. P. 35–50.
- Radenkovic D., Simonin O. Modelling of three-dimensional particle rebound from an anisotropic rough wall // Powder Technology. 2021. V. 393. P. 165–183.
- Tsirkunov Yu.M. Gas-particle flows around bodies – key problems, modeling and numerical analysis. // Proc. 4th Int. Conf. on Multiphase Flow: CD-ROM Proceedings ICMF’2001, May 27–June 1, 2001, New Orleans, LA, USA. Ed.: E. Michaelides. Paper No. 607. 2001. P. 1–31.
- Hölzer A. and Sommerfeld M. Lattice Boltzmann simulations to determine drag, lift and torque acting on non-spherical particles // Computers & Fluids. 2009. V. 38. P. 572–589.
- Henderson Ch.B. Drag coeccients of spheres in continuum and rarefied flows // AIAA Journal. 1976. V. 14. № 6. P. 707–708.
- Rubinow S.I. and Keller J.B. The transverse force on a spinning sphere moving in a viscous fluid // J. Fluid Mech. 1961. V. 11. P. 447–459.
- Oesterlé B., Bui Dinh T. Experiments on the lift of a spinning sphere in a range of intermediate Reynolds numbers // Experim. in Fluids. 1998. V. 25. P. 16–22.
- Dennis S.C.R., Singh S.N. and Ingham D.B. The steady flow due to a rotating sphere at low and moderate Reynolds numbers. // J. Fluid Mech. 1980. V. 101. P. 257–279.
- Стасенко А.Л. Коэффициенты восстановления скорости частицы при отражении от поверхности твердого тела. // ИФЖ. 2007. Т. 80. № 5. С. 38–44.
- Лашков В.А. Коэффициент восстановления скорости при прямом ударе // Вестник СПбГУ, Сер. 1. 2010. № 4. С. 127–136.
- Ray S., Kempe T., Frölich J. Efficient modelling of particle collisions using a nonlinear viscoelastic contact force // Int. Journal of Multiphase Flow. 2015. V. 76. P. 101–110.
- Erosion / Edt. C.Preece. 1979. Academic Press, New York = Эрозия: пер. с англ. / Под ред. К. Прис // М.: Мир, 1982. 464 с.
Дополнительные файлы














