СТРУКТУРА УДАРНОЙ ВОЛНЫ В КИСЛОРОДЕ
- Авторы: Ерофеев А.И.1, Русаков С.В.1
-
Учреждения:
- Центральный аэрогидродинамический институт им. проф. Н.Е. Жуковского
- Выпуск: № 3 (2023)
- Страницы: 125-136
- Раздел: Статьи
- URL: https://journal-vniispk.ru/1024-7084/article/view/135105
- DOI: https://doi.org/10.31857/S1024708422600646
- EDN: https://elibrary.ru/VKBVPY
- ID: 135105
Цитировать
Полный текст
Аннотация
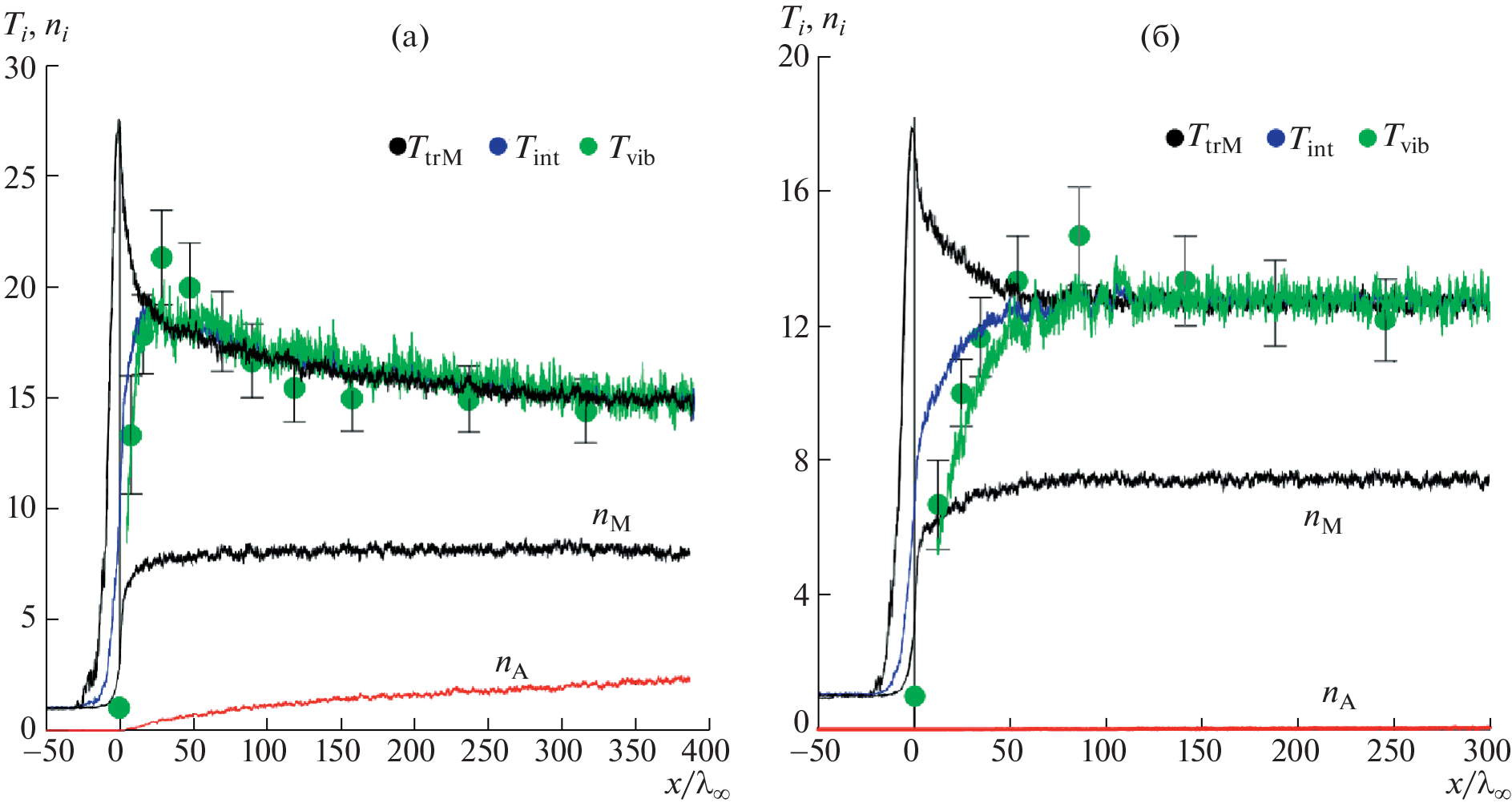
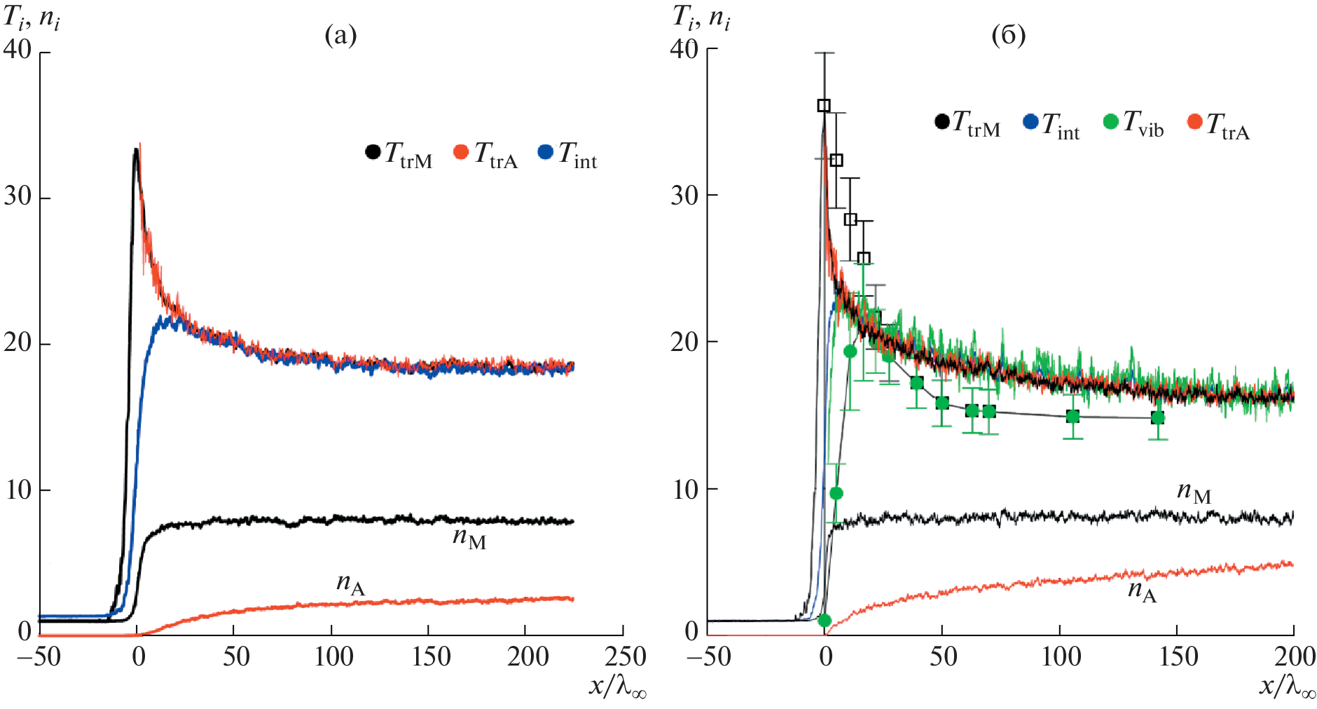
Представлены результаты численного изучения процессов релаксации в кислороде при высоких температурах. Столкновения частиц (атомов и молекул) описывается методами молекулярной динамики на основе траекторных расчетов в рамках классической механики. Дается описание комплекса программ для расчета релаксационных процессов в смесях высокотемпературных газов с участием внутренних мод, описывающих вращательное и колебательное движение в молекулах, диссоциацию молекул и рекомбинацию атомов в присутствии третьего тела. Процесс релаксации описан на примере изменения параметров в смеси атомарного и молекулярного кислорода с различными начальными температурами поступательных и внутренних мод. Приведены результаты расчетов структуры ударной волны в кислороде с максимальной поступательной температурой на фронте выше 5000–11 000 К. Дано сопоставление с экспериментальными данными.
Ключевые слова
Об авторах
А. И. Ерофеев
Центральный аэрогидродинамический институт им. проф. Н.Е. Жуковского
Email: alex.ivan.erofeev@gmail.com
Россия, Московская обл., Жуковский
С. В. Русаков
Центральный аэрогидродинамический институт им. проф. Н.Е. Жуковского
Автор, ответственный за переписку.
Email: dsmc1@mail.ru
Россия, Московская обл., Жуковский
Список литературы
- Jaffe R., Schwenke D.W., Chaban G. Vibrational and Rotational Excitation and Relaxation of Nitrogen from Accurate Theoretical Calculations // AIAA 2008-1208. P. 14.
- Jaffe R., Schwenke D.W., Chaban G. Vibrational and Rotational Excitation and Dissociation in N2–N2 Collisions from Accurate Theoretical Calculations // AIAA 2010-4517. P. 13.
- Varga Z., Paukku Y., Truhlar D.G. Potential energy surfaces for O + O2 collision // J. Chem. Phys. 2017. V. 147. 154312.
- Paukku Y., Varga Z., Truhlar D.G. Potential energy surface of triplet O4 // J. Chem. Phys. 2018. V. 148, 124314.
- Grover M.S., Torres E., Schwartzentruber T.E. Direct molecular simulation of internal energy relaxation and dissociation in oxygen // Phys. Fluids. 2019. V. 31. 076107.
- Jaffe R.L., Schwenke D.W., Grover M., Valentini P., Schwartzentruber T.E., Venturi S., Panesi M. Comparison of quantum mechanical and empirical potential energy surfaces and computed rate coefficients for N2 dissociation // AIAA 2016-0503. P. 25.
- Погосбекян М.Ю., Сергиевская А.Л. Моделирование реакции диссоциации кислорода в термически неравновесных условиях: модели, траекторные расчеты, эксперимент // Химическая физика. 2018. Т. 37. № 4. С. 20–31.
- Esposito F., Armenise I., Capitelli M. N–N2 state to state vibrational relaxation and dissociation rates based on quasiclassical calculations // Chem. Phys. 2006. V. 331. № 1. P. 1–8.
- Macpherson A.K. Rotational temperature profiles of shock waves in diatomic gases // J. Fluid Mech. 1971. V. 49. № 2. P. 337–351.
- Koura K. Monte Carlo direct simulation of rotational relaxation of diatomic molecules using classical trajectory calculations: Nitrogen shock wave // Physics of Fluids. 1997. V. 9. № 11. P. 3543–3549. https://doi.org/10.1063/1.869462
- Luo H., Alexeenko A.A., Macheret S.O. Development of an impulsive model of dissociation in direct simulation Monte Carlo // Phys. Fluids. 2019. Vol. 31. 087105.https://doi.org/10.1063/1.5110162
- Konowalow D.D., Hirschfelder J.O. Intermolecular potential functions for nonpolar molecules // Phys. Fluids. 1961. V. 4. № 5. P. 629–636.
- Konowalow D.D., Hirschfelder J.O. Morse potential parameters for O–O, N–N, and N–O interaction // Phys. Fluids. 1961. V. 4. № 5. P. 637–642.
- Гордеев О.А., Калинин А.П., Комов А.Л., Люстерник В.Е., Самуйлов Е.В., Соколова И.А., Фокин Л.Р. Потенциалы взаимодействия, упругие сечения, интегралы столкновений компонентов воздуха для температур до 20 000 К. Обзоры по теплофизическим свойствам веществ. ТФЦ. – М.: ИВТАН. № 5 (55). 1985. 100 с.
- Ерофеев А.И., Русаков С.В. Применение классических траекторных расчетов столкновения молекул для вычисления коэффициентов переноса и изучения истечения разреженного газа в вакуум // Ученые записки ЦАГИ. 2020. Т. LI. № 5. С. 13–28.
- Karplus M., Porter R.N., Sharma R.D. Exchange reactions with activation energy. I. Simple barrier potential for (H, H2) // J. Chern. Phys. 1965. V.43. № 9. P. 3259–3287.
- Lordi J.A., Mates R.E. Rotational relaxation in nonpolar diatomic gases // Phys. Fluids. 1970. V. 13. № 2. P. 291–308. https://doi.org/10.1063/1.1692920
- Полак Л.С., Гольденберг М.Я., Левицкий А.А. Вычислительные методы в химической кинетике. М.: Наука, 1984. 280 с.
- Ступоченко Е.В., Лосев С.А., Осипов А.И. Релаксационные процессы в ударных вонах. М.: Наука, 1965. 484 с.
- Никитин Е.У. Теория элементарных атомно-молекулярных процессов в газах. М.: Химия, 1970. 456 с.
- Jaffe R.L. The Calculation of High-Temperature Equilibrium and Nonequilibriunl Specific Heat Data for N2, O2 and NO // AIAA-87-1633.
- Capitelli M., Colonna G., Giordano D., Maraffa L., Casavola F., Minelli P., Pagano D., Pietanza L.D., Taccogna F. Tables of Internal Partition Functions and Thermodynamic Properties of High-Temperature Mars-Atmosphere Species from 50 K to 50000 K. ESA STR-246, ESA Publications Division. ESTEC, Noordwijk, The Netherlands, 2005, 267 p.
- Jaffe R.L., Schwenker D.W., Panesi M. First principles calculation of heavy particle rate coefficients. Hypersonic nonequilibrium flows: Fundamentals and recent advances / Ed. E. Josynla// AIAA. 2015.
- Bender J.D., Valentini P., Nompelis I. et al. An improved potential energy surface and multi-temperature quasiclassical trajectory calculations of N2 + N2 dissociation reactions // J. Chem. Phys. V. 143, 054304 (2015). https://doi.org/10.1063/1.4927571
- Ландау Л.Д., Лифшиц Е.М. Квантовая механика. М.: Физматгиз, 1963, 704 с.
- Park C., Assessment of a two-temperature model for dissociating and weakly ionizing nitrogen // J. Thermophysics and Heat Transfer. 1988. V. 2. № 1. P. 8–16.
- Losev S.A., Makarov V.N., Pogosbekyan M.J., Shatalov O.P., Nikol’sky V.S. Thermochemical nonequilibrium kinetic models in strong shock waves on air. AIAA-94-1990.
- Гиршфельдер Дж., Кертисс Ч., Берд Р. Молекулярная теория газов и жидкостей. М.: ИЛ, 1961. 930 с.
- Зельдович Я.Б., Райзер Ю.П. Физика ударных волн и высокотемпературных физических явлений. М.: Наука, 1966, 688 с.
- Забелинский И.Е., Ибрагимова Л.Б., Шаталов О.П. Измерение колебательной температуры кислорода за фронтом ударной волны в условиях термической и химической неравновесности // Изв. РАН. МЖГ. 2010. № 3. С. 159–167.
- Ibraguimova L.B., Sergievskaya A.L., Shatalov O.P. Dissociation Rate Constants for Oxygen at Temperatures up to 11000 K // Fluid Dynamics. 2013. V. 48. № 4. P. 550–555.
- Ibraguimova L.B., Sergievskaya A.L., Levashov V.Yu., Shatalov O.P., Tunik Yu.V., Zabelinskii I. E. Investigation of oxygen dissociation and vibrational relaxation at temperatures 4000–10800 K // J. Chem. Phys. 2013. V. 139. 034317. https://doi.org/10.1063/1.4813070
- Ибрагимова Л.Б., Левашов В.Ю., Сергиевская А.Л., Шаталов О.П. Моделирование колебательно-диссоциационной кинетики кислорода при температурах 4000–11 000 К // Изв. РАН. МЖГ. 2014. № 1. С. 131–139.
Дополнительные файлы








