ЧАСТОТЫ И ПРОФИЛИ СТОЯЧИХ ИЗГИБНО-ГРАВИТАЦИОННЫХ ВОЛН
- Авторы: Калиниченко В.А.1
-
Учреждения:
- Институт проблем механики им. А.Ю. Ишлинского РАН
- Выпуск: № 5 (2023)
- Страницы: 103-109
- Раздел: Статьи
- URL: https://journal-vniispk.ru/1024-7084/article/view/135106
- DOI: https://doi.org/10.31857/S1024708423600306
- EDN: https://elibrary.ru/FZYONJ
- ID: 135106
Цитировать
Полный текст
Аннотация
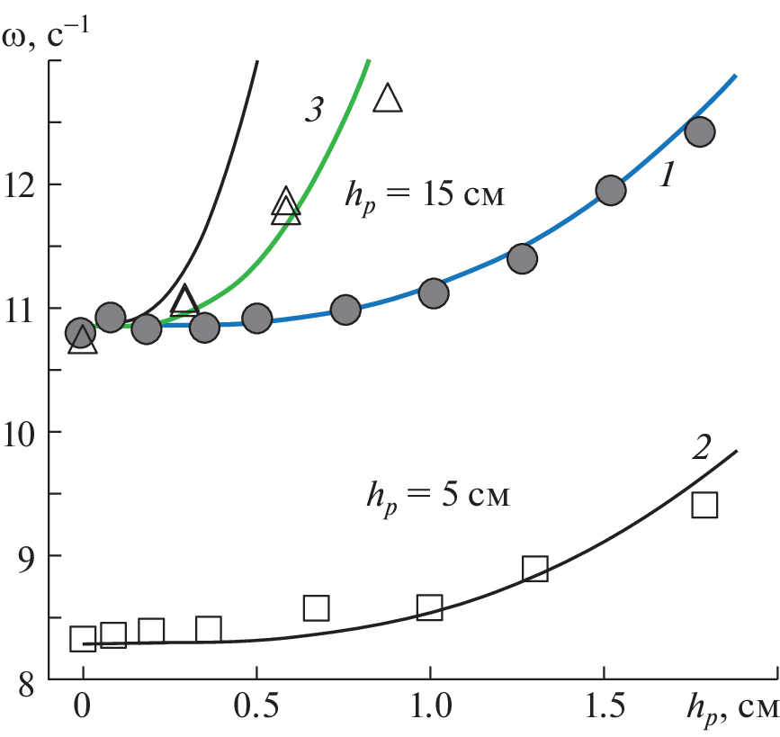
Представлены новые результаты экспериментов по исследованию влияния плавающей тонкой пластины на регуляризацию стоячей гравитационной волны Фарадея на свободной поверхности воды в прямоугольном сосуде. Показано, что увеличение толщины плавающей пластины существенно сказывается как на собственной частоте колебаний гидроупругой системы, так и на форме профилей наблюдаемых стоячих изгибно-гравитационных волн. При толщине пластины ниже критического значения форма волны описывается теорией нелинейных гравитационных волн; при больших толщинах следует использовать в качестве аппроксимирующих зависимостей приближение “сухой балки”.
Об авторах
В. А. Калиниченко
Институт проблем механики им. А.Ю. Ишлинского РАН
Автор, ответственный за переписку.
Email: mzg@ipmnet.ru
Россия, Москва
Список литературы
- Калиниченко В.А. Эксперименты по подавлению интенсивных колебаний жидкости плавающей пластиной // Изв. РАН. МЖГ. 2021. № 6. С. 74–83.
- Хейсин Д.Е. Динамика ледяного покрова. Л.: Гидрометеоиздат, 1967. 215 с.
- Robin G.D.Q. Wave propagation through fields of pack ice // Philos. Trans. R. Soc. A:1963. V. 255. № 1057. P. 313–339.
- Тимошенко С.П. Сопротивление материалов. Элементарная теория и задачи. М.: Наука, 1966, 365 с.
- Wadhams P. The Seasonal ice zone // The Geophysics of Sea Ice. Springer, Boston, 1986. P. 825–991. https://doi.org/10.1007/978-1-4899-5352-0_15
- Sergienko O.V. Behavior of flexural gravity waves on ice shelves: application to the Ross Ice Shelf // J. Geophys. Res. Oceans. 2017. V. 122. № 8. P. 6147–6164. https://doi.org/10.1002/2017JC012947
- Dethloff K., Maslowski W., Hendricks S., Lee Y.J., Goessling H.F., Krumpen T., Haas C., Handorf D., Ricker R., Bessonov V., Cassano J.J., Kinney J.C., Osinski R., Rex M., Rinke A., Sokolova J., Sommerfeld A. Arctic sea ice anomalies during the MOSAiC winter 2019/20 // Cryosphere. 2022. V. 16. P. 981–1005. https://doi.org/10.5194/tc-16-981-2022
- Калиниченко В.А. Регуляризация гравитационных баротропных волн в двухслойной жидкости // Изв. РАН. МЖГ. 2019. № 6. С. 25–37. https://doi.org/10.1134/S0568528119060069
- Калиниченко В.А. Подавление интенсивных колебаний жидкости слоем плавающих частиц // Изв. РАН. МЖГ. 2020. № 6. С. 85–97. https://doi.org/10.1134/S0568528120060067
- Стурова И.В. Влияние ледяного покрова на колебания жидкости в замкнутом бассейне // Изв. РАН. ФАО. 2007. Т. 43. № 1. С. 128–135.
- Зырянов В.Н. Сейши подо льдом // Водные ресурсы. 2011. Т. 38. № 3. С. 259–271.
- Букатов А.Е. Волны в море с плавающим ледяным покровом. Севастополь: ФГБУН МГИ, 2017. 360 с.
- Секерж-Зенькович Я.И. К теории стоячих волн конечной амплитуды на поверхности тяжелой жидкости // Докл. АН СССР. 1947. Т. 8. № 4. С. 551–553.
- Нестеров С.В. Параметрическое возбуждение волн на поверхности тяжелой жидкости // Морские гидрофиз. исследования. 1969. № 3 (45). С. 87–97.
Дополнительные файлы









