ВЛИЯНИЕ ГРАНИЧНЫХ УСЛОВИЙ НА МОДЕЛИРОВАНИЕ АНОМАЛЬНОЙ ИНТЕНСИФИКАЦИИ ТУРБУЛЕНТНОГО ТЕПЛООБМЕНА В НАКЛОННОЙ КАНАВКЕ НА СТЕНКЕ УЗКОГО КАНАЛА
- Авторы: Исаев С.А.1,2, Судаков А.Г.2, Никущенко Д.В.1, Харченко В.Б.1, Юнаков Л.П.3
-
Учреждения:
- Санкт-Петербургский государственный морской технический университет
- Санкт-Петербургский государственный университет гражданской авиации им. Главного маршала авиации А.А. Новикова
- Балтийский государственный технический университет “ВОЕНМЕХ” им. Д.Ф. Устинова
- Выпуск: № 6 (2023)
- Страницы: 38-47
- Раздел: Статьи
- URL: https://journal-vniispk.ru/1024-7084/article/view/231727
- DOI: https://doi.org/10.31857/S1024708423600367
- EDN: https://elibrary.ru/RBCVPD
- ID: 231727
Цитировать
Полный текст
Аннотация
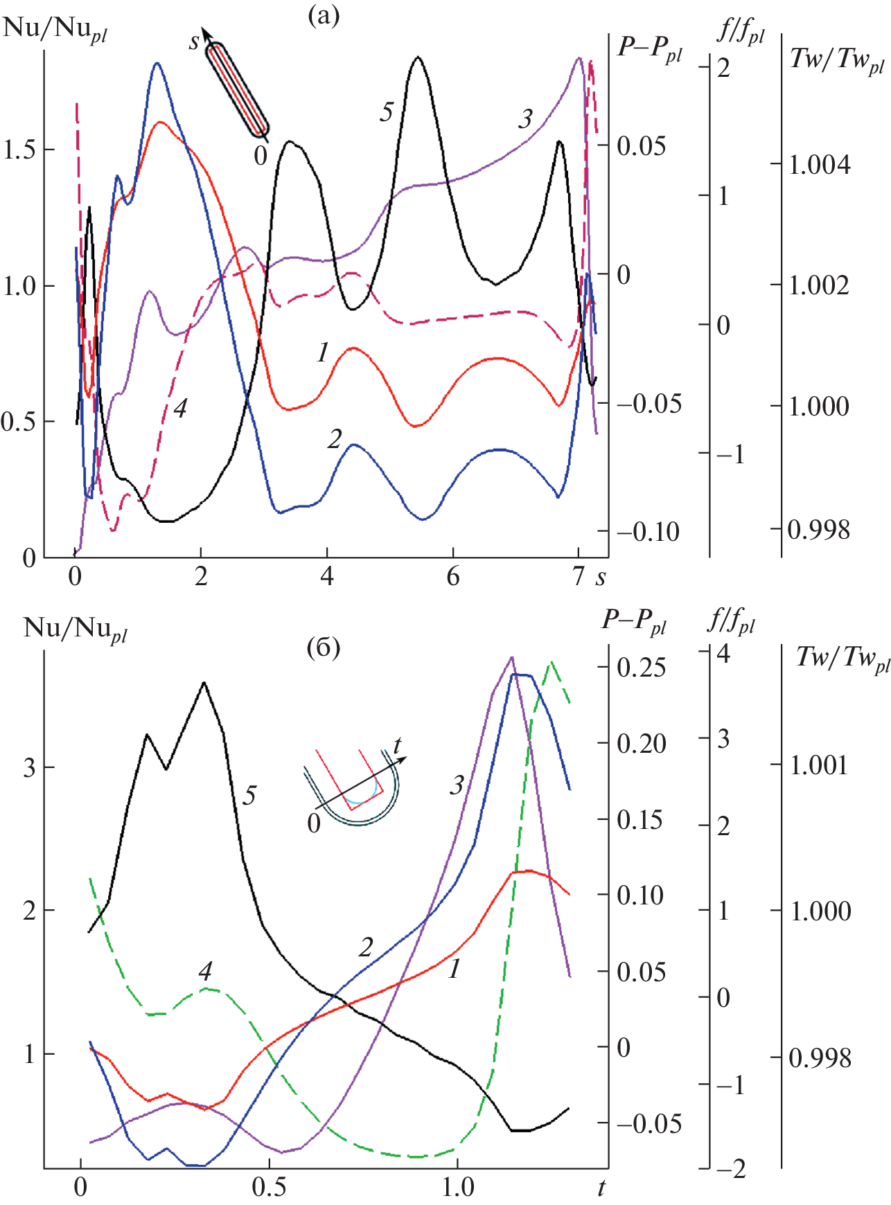
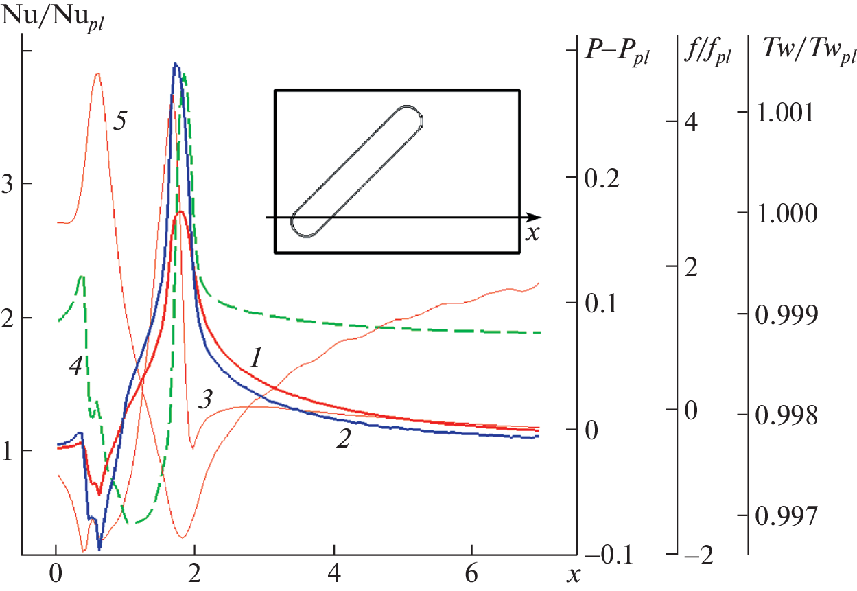
Представляется численное исследование влияния граничных условий первого и второго рода на прогнозирование характеристик аномальной интенсификации теплообмена при низкоскоростном турбулентном обтекании воздухом наклонной канавки на нагреваемой стенке узкого канала. Показано, что условия изотермичности приводят к заметному занижению тепловой эффективности структурированной наклонными канавками поверхности в сравнении с условиями постоянства теплового потока.
Об авторах
С. А. Исаев
Санкт-Петербургский государственный морской технический университет; Санкт-Петербургский государственный университет гражданской авиации им. Главного маршала авиации А.А. Новикова
Email: isaev3612@yandex.ru
Россия, Санкт-Петербург; Россия, Санкт-Петербург
А. Г. Судаков
Санкт-Петербургский государственный университет гражданской авиации им. Главного маршала авиации А.А. Новикова
Email: isaev3612@yandex.ru
Россия, Санкт-Петербург
Д. В. Никущенко
Санкт-Петербургский государственный морской технический университет
Email: isaev3612@yandex.ru
Россия, Санкт-Петербург
В. Б. Харченко
Санкт-Петербургский государственный морской технический университет
Email: isaev3612@yandex.ru
Россия, Санкт-Петербург
Л. П. Юнаков
Балтийский государственный технический университет “ВОЕНМЕХ” им. Д.Ф. Устинова
Автор, ответственный за переписку.
Email: isaev3612@yandex.ru
Россия,
Санкт-Петербург
Список литературы
- Исаев С.И., Кожинов И.А., Кофанов В.И., Леонтьев А.И., Миронов Б.М., Никитин В.М., Петражицкий Г.Б., Хвостов В.И., Чукаев А.Г., Шишов Е.В., Школа В.В. Теория тепломассообмена / Под ред. А.И. Леонтьева, М.: Изд-во МГТУ им. Н.Э. Баумана, 2018. 464 с.
- Terekhov V., Kalinina S., Mshvidobadze Yu. Heat transfer coefficient and aerodynamic resistance on a surface with a single dimple // Enhanced Heat Transfer. 1997. V. 4. P. 131–145.
- Burgess N.K., Ligrani P.M. Effects of dimple depth on channel Nusselt numbers and friction factors // J. Heat Transfer. 2005. V. 127. P. 839–847.
- Rao Y., Feng Y., Li B., Weigand B. Experimental and numerical study of heat transfer and flow friction in channels with dimples of different shapes // J. Heat Transfer. 2015. V. 137. P. 031901–1–10. https://doi.org/10.1115/1.4029036
- Сапожников С.З., Митяков В.Ю., Митяков А.В. Градиентные датчики теплового потока. СПб: Изд-во СПбГПУ, 2003. 168 с.
- Сапожников С.З., Митяков В.Ю., Митяков А.В. Основы градиентной теплометрии. СПб.: Изд-во Политехн. ун-та, 2012. 203 с.
- Балашова И.Е., Юдин В.М. Определение параметров граничных условий теплообмена на основе решения обратной задачи теплопроводности // Ученые Записки ЦАГИ. 1985. Т. 16. № 5. С. 84–91.
- Кикнадзе Г.И., Гачечиладзе И.А., Алексеев В.В. Самоорганизация смерче-образных струй в потоках вязких сплошных сред и интенсификация тепломассообмена, сопровождающая это явление. М.: Изд-во МЭИ, 2005. 84 с.
- Xie G., Liu J., Ligrani P.M., Zhang W. Numerical predictions of heat transfer and flow structure in a square cross-section channel with various non-spherical indentation dimples // Numerical Heat Transfer. Part A: Applications: An International Journal of Computation and Methodology. 2013. V. 64. № 3. P. 187–215.
- Баранов П.А., Исаев С.А., Леонтьев А.И., Митяков А.В., Митяков В.Ю., Сапожников С.З. Физическое и численное моделирование вихревого теплообмена при турбулентном обтекании сферической лунки на плоскости // Теплофизика и аэромеханика. 2002. Т. 9. № 4. С. 521–532.
- Isaev S.A., Kornev N.V., Leontiev A.I., Hassel E. Influence of the Reynolds number and the spherical dimple depth on the turbulent heat transfer and hydraulic loss in a narrow channel // Int. J. Heat Mass Transfer. 2010. V. 53. Iss. 1–3. P. 178–197.
- Isaev S.A., Schelchkov A.V., Leontiev A.I., Baranov P.A., Gulcova M.E. Numerical simulation of the turbulent air flow in the narrow channel with a heated wall and a spherical dimple placed on it for vortex heat transfer enhancement depending on the dimple depth // Int. J. Heat and Mass Transfer. 2016. V. 94. P. 426–448.
- Nasr M.A., Tay C.M., Khoo B.C. Numerical investigation of heat transfer and drag over different dimple geometries in turbulent channel flow // J. Enhanced Heat Transfer. 2022. V. 29. № 4. P. 81–114.
- Исаев С.А., Гульцова М.Е. Численное моделирование турбулентного течения воды и конвективного теплообмена в узком канале с траншеей и сферической лункой. Сравнение граничных условий T = = const и Q = const // Тепловые процессы в технике. 2013. № 6. С. 242–246.
- Исаев С.А. Генезис аномальной интенсификации отрывного течения и теплообмена в наклонных канавках на структурированных поверхностях // Изв. РАН. Механика жидкости и газа. 2022. № 5. С. 13–24.
- Исаев С.А. Аэрогидродинамические механизмы интенсификации физико-энергетических процессов на структурированных энергоэффективных поверхностях с вихревыми генераторами // Теплофизика и аэромеханика. 2023. Т. 30. № 1. С. 83–88.
- Isaev S.A., Schelchkov A.V., Leontiev A.I., Gortyshov Yu.F., Baranov P.A., Popov I.A. Tornado-like heat transfer enhancement in the narrow plane-parallel channel with the oval-trench dimple of fixed depth and spot area // Int. J. Heat and Mass Transfer. 2017. V. 109. P. 40–62. https://doi.org/10.1016/j.ijheatmasstransfer.2017.01.103
- Isaev S., Leontiev A., Chudnovsky Y., Nikushchenko D., Popov I. and Sudakov A. Simulation of vortex heat transfer enhancement in the turbulent water flow in the narrow plane-parallel channel with an inclined oval-trench dimple of fixed depth and spot area // Energies. 2019. V. 12. № 1296. P. 1–24.
- Isaev S., Gritckevich M., Leontiev A., Popov I. Abnormal enhancement of separated turbulent air flow and heat transfer in inclined single-row oval-trench dimples at the narrow channel wall // Acta Astronautica. 2019. V. 163. Part. A. P. 202–207. https://doi.org/10.1016/j.actaastro.2019.01. 033
- Isaev S.A., Leontiev A.I., Milman O.O., Popov I.A., Sudakov A.G. Influence of the depth of single-row oval-trench dimples inclined to laminar air flow on heat transfer enhancement in a narrow micro-channel // Int. J. Heat and Mass Transfer. 2019. V. 134. P. 338–358.
- Isaev S.A., Gritckevich M.S., Leontiev A.I., Milman O.O., Nikushchenko D.V. Vortex enhancement of heat transfer and flow in the narrow channel with a dense packing of inclined one-row oval-trench dimples // Int. J. Heat and Mass Transfer. 2019. V. 145. 118737. P. 1–13. https://doi.org/10.1016/j.ijheatmasstransfer.2019.118737
- Isaev S., Leontiev A., Gritskevich M., Nikushchenko D., Guvernyuk S., Sudakov A., Chung K.-M., Tryaskin N., Zubin M., Sinyavin A. Development of energy efficient structured plates with zigzag arrangement of multirow inclined oval trench dimples // Int. J. Thermal Sciences. 2023. V. 184. P. 107988.
- Isaev S.A., Baranov P.A., Usachov A.E. Multiblock computational technologies in the VP2/3 package on aerothermodynamics. LAP LAMBERT Academic Publishing, Saarbrucken, 2013. 316 p.
- Menter F.R. Zonal two equation k–ω turbulence models for aerodynamic flows // AIAA Paper. 1993. № 93–2906. 21 p.
- Van Doormaal J.P., Raithby G.D. Enhancement of the SIMPLE method for predicting incompressible fluid flow // Numerical Heat Transfer. 1984. V. 7. P. 147–163.
- Leonard B.P. A stable and accurate convective modeling procedure based on quadratic upstream interpolation // Comp. Meth. Appl. Mech. Eng. 1979. V. 19. № 1. P. 59–98.
- Van Leer B. Towards the ultimate conservative difference scheme V. A second order sequel to Godunov’s method // J. Comp. Phys. 1979. V. 32. P. 101–136.
- Rhie C.M., Chow W.L. A numerical study of the turbulent flow past an isolated airfoil with trailing edge separation // AIAA J. 1983. V. 21. P. 1525–1532.
- Pascau A., Garcia N. Consistency of SIMPLEC scheme in collocated grids. V European Conference on Computational Fluid Dynamics ECCOMAS CFD 2010. Lisbon, Portugal, 2010, 12 p.
- Saad Y. Iterative methods for sparse linear systems, 2nd ed., Society for Industrial and Applied Mathematics, Philadelphia, 2003. 567p.
- Demidov D. AMGCL: C++ library for solving large sparse linear systems with algebraic multigrid method. http://amgcl.readthedocs.org/
Дополнительные файлы








