ПРИСТЕНОЧНЫЕ ПУЛЬСАЦИИ ДАВЛЕНИЯ НА ПОВЕРХНОСТИ ОБТЕКАТЕЛЯ В ФОРМЕ ПОЛУЭЛЛИПСОИДА И В ЕГО ОКРЕСТНОСТИ
- Авторы: Голубев А.Ю.1, Кузнецов С.В.1
-
Учреждения:
- Центральный аэрогидродинамический институт им. проф. Н.Е. Жуковского
- Выпуск: № 6 (2023)
- Страницы: 75-85
- Раздел: Статьи
- URL: https://journal-vniispk.ru/1024-7084/article/view/231739
- DOI: https://doi.org/10.31857/S1024708423600227
- EDN: https://elibrary.ru/QKJXKW
- ID: 231739
Цитировать
Полный текст
Аннотация
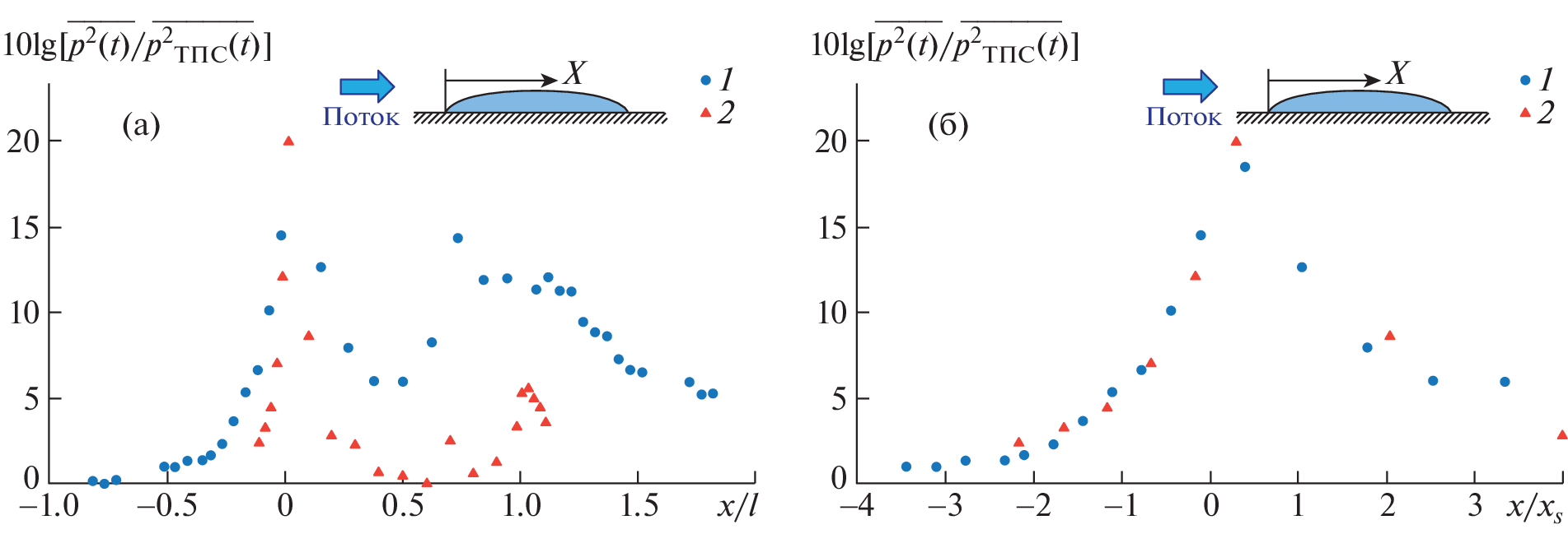
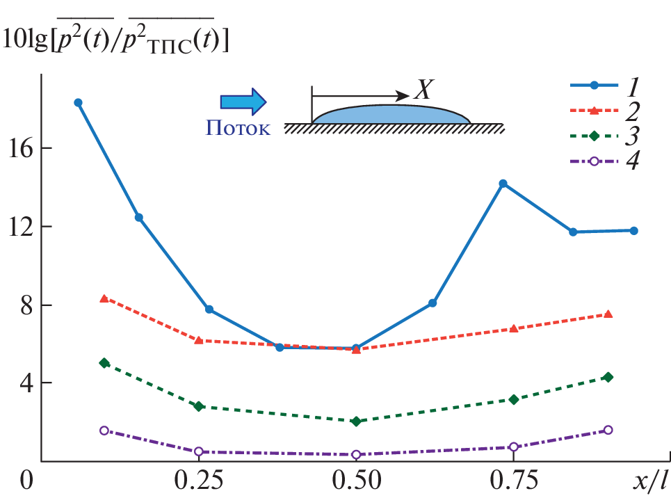
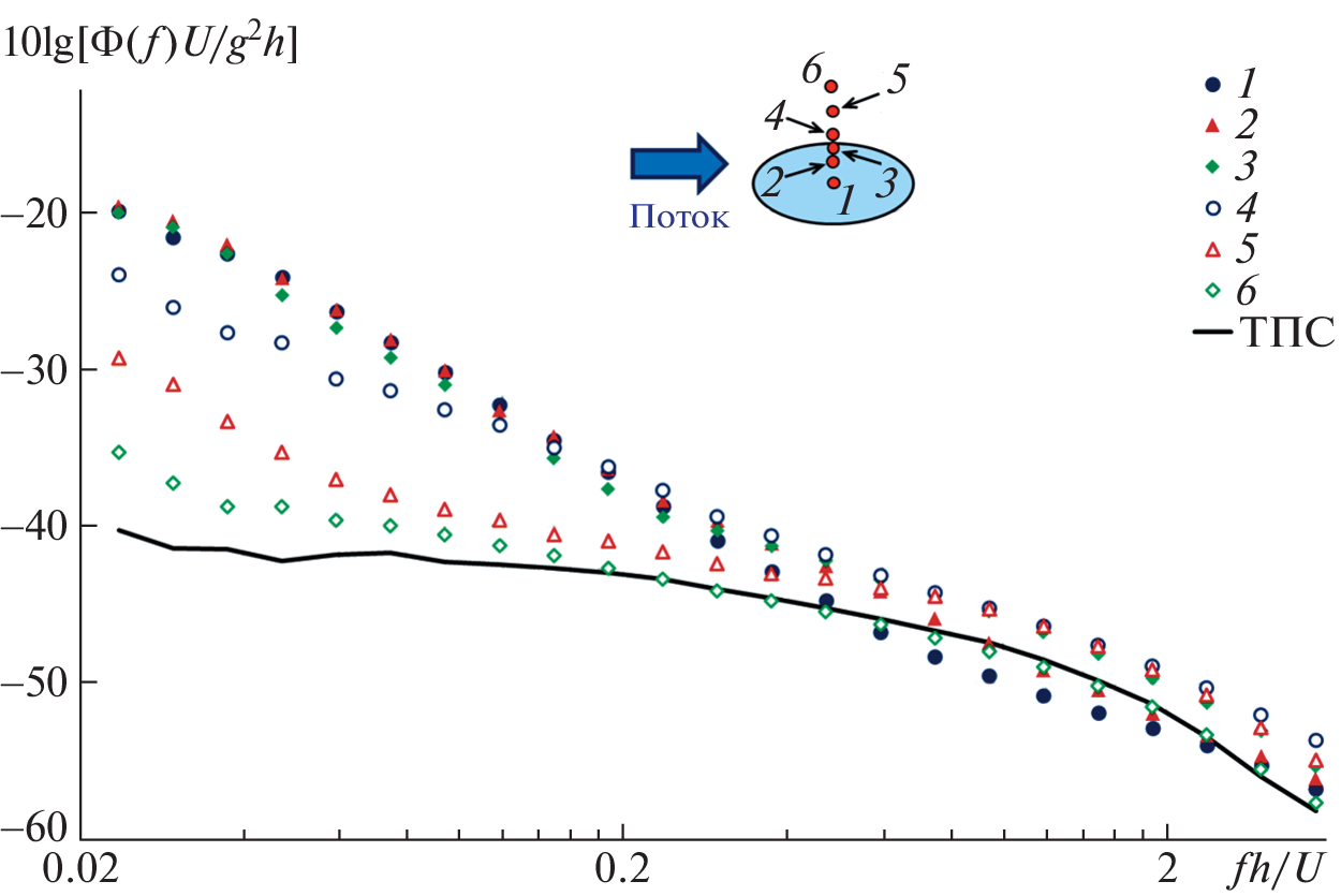
Проведены экспериментальные исследования полей пристеночных пульсаций давления на поверхности обтекателей и вокруг них в турбулентном пограничном слое. Обтекатели имели форму полуэллипсоида и устанавливались на стенке дозвуковой малошумной аэродинамической трубы. Их высота составляла 25% от толщины набегающего пограничного слоя. Посредством визуализации предельных линий тока определены основные физические особенности исследуемого течения. Проведено сопоставление поля пристеночных пульсаций давления с картиной течения. Показано, что наибольшие уровни пульсаций давления регистрируются на поверхности обтекателя в его носовой части. Установлено, что удлинение модели приводит к существенному снижению интенсивности пульсаций давления в области отрыва потока с поверхности обтекателя.
Ключевые слова
Об авторах
А. Ю. Голубев
Центральный аэрогидродинамический институт им. проф. Н.Е. Жуковского
Email: alexeygolubev@yandex.ru
Россия, Москва
С. В. Кузнецов
Центральный аэрогидродинамический институт им. проф. Н.Е. Жуковского
Автор, ответственный за переписку.
Email: international@yandex.ru
Россия, Москва
Список литературы
- Farabee T.M., Casarella M.J. Measurements of Fluctuating Wall Pressure for Separated/Reattached Boundary Layer Flows // ASME J. Vib. Acoust. Stress Reliab. Des. 1986. V. 108. P. 301–307.
- Efimtsov B.M., Golubev A.Yu., Rizzi S.A., Andersson A.O., Rackl R.G., Andrianov E.V. Influence of small steps on wall pressure fluctuation spectra measured on Tu-144LL flying laboratory // AIAA paper 2002–2605.
- Власов Е.В., Гиневский А.С., Каравосов Р.К., Франкфурт М.О. Статистические характеристики пульсаций давления в зоне отрыва потока на пластине за интерцептором // Акуст. журн. 1979. Т. 25. № 3. С. 367–372.
- Awasthi M., Devenport W.J., Glegg S.A.L., Forest J.B. Pressure fluctuations produced by forward steps immersed in a turbulent boundary layer // J. Fluid Mech. 2014. V. 756. P. 384–421.
- Efimtsov B.M., Kozlov N.M., Kravchenko S.V. and Andersson A.O. Wall Pressure Fluctuation Spectra at Small Forward-Facing Steps // AIAA paper 99–1964. 1999.
- Efimtsov B.M., Kozlov N.M., Kravchenko S.V. and Andersson A.O. Wall Pressure Fluctuation Spectra at Small Backward-Facing Steps // AIAA paper 2000–2053. 2000.
- Leclercq D.J.J., Jacob M.C., Louisot A., Talotte C. Forward-Backward Facing Step Pair: Aerodynamic Flow, Wall Pressure and Acoustic Caracterisation // AIAA paper 2001–2249. 2001.
- Lee I., Sung H.J. Multiple-arrayed pressure measurement for investigation of the unsteady flow structure of a reattaching shear layer // J. Fluid Mech. 2002.V. 463. P. 377–402.
- Camussi R., Felli M., Pereira F., Aloisio G., Di Marco A. Statistical properties of wall pressure fluctuations over a forward-facing step // Phys. Fluids. 2008. V. 20. № 7. Paper 75113.
- Ji M., Wang M. Surface pressure fluctuations on steps immersed in turbulent boundary layers // J. Fluid Mech. 2012 V. 712. P. 471–504.
- Awasthi M., Devenport W.J., Alexander W.N., Glegg, S.A.L. Aeroacoustics of rounded forward-facing steps: near-field behavior // AIAA J. 2019. V. 57. № 3. P. 1237–1249.
- Golubev A., Kuznetsov S. Wall pressure fluctuations on the surface of sloped forward-facing steps // AIAA J. 2020. V. 58. № 10. P. 4595–4599.
- Kiya M., Sasaki K. Structure of a turbulent separation bubble // J. Fluid Mech. 1983. V. 137. P. 83–113.
- Pearson D.S., Goulart P.J., Ganapathisubramani B. Turbulent separation upstream of a forward-facing step // J. Fluid Mech. 2013. V. 724. P. 284–304.
- Graziani A., Kerherve F., Martinuzzi R.J., Keirsbulck L. Dynamics of the recirculating areas of a forward-facing step // Exp. Fluids. 2018. V. 59. № 154. P. 1–18.
- Fang V., Tachie M.F. Spatio-temporal dynamics of flow separation induced by a forward-facing step submerged in a thick turbulent boundary layer // J. Fluid Mech. 2020. V. 892. A40–1-30.
- Olcmen S.M., Simpson R.L. Influence of Wing Shapes on Surface Pressure Fluctuations at Wing-Body Junctions // AIAA J. 1994. V. 32. № 1. P. 6–15.
- Goody M.C., Simpson R.L. Surface Pressure Fluctuations Beneath Two- and Three-Dimensional Turbulent Boundary Layers // AIAA J. 2000. V. 38. № 10. P. 1822–1831.
- Голубев А.Ю., Потокин Г.А. Трехмерные поля пульсаций давления в окрестности консольных цилиндрических препятствий // Изв. РАН. МЖГ. 2017. № 6. С. 42–49.
- Awasthi M., Rowlands J., Moreau D.J., Doolan C.J. The Effect of Aspect Ratio on Wall Pressure Fluctuations at a Wing-Plate Junction // ASME J. Fluids Eng. 2020. V. 142. № 7. 11 p.
- Suzuki Y., Kiya M., Sampo T., Naka Y. Pressure Fluctuations on the Surface of a Hemisphere Immersed in a Thick Turbulent Boundary Layer // ASME J. Fluids Eng. 1987. V. 109. P. 130–135.
- Largeau J.F., Moriniere V. Wall pressure fluctuations and topology in separated flows over a forward-facing step // Exp. Fluids. 2007. V. 42. P. 21–40.
- Голубев А.Ю., Ефимцов Б.М. Особенности структуры полей пульсаций давления в окрестности выступов // Изв. РАН. МЖГ. 2015. Т. 50. № 1. С. 55–66.
- Кузнецов С.В., Голубев А.Ю. Влияние высоты выступа на пристеночные пульсации давления вблизи его боковой кромки в турбулентном пограничном слое // Акуст. журн. 2023. Т. 69. № 2. С. 207–215.
- Hao J., Wang M. Flow Noise from Swept Steps in Turbulent Boundary Layers // AIAA paper 2013–2248. 2013.
- Бибко В.Н., Голубев А.Ю. Основные закономерности влияния скоса потока на характеристики полей пульсаций давления перед прямым и за обратным уступом // Акуст. журн. 2014. Т. 60. № 5. С. 483–491.
- Голубев А.Ю., Кузнецов С.В. Особенности полей пульсаций давления на поверхности выступов // Изв. РАН. МЖГ. 2018. № 6. С. 67–75.
- Efimtsov B.M., Golubev A.Yu. Pressure Fluctuations on the Surface Surrounding Tall Protrusion into Flow // AIAA paper 2007–3413. 2007.
- Голубев А.Ю., Потокин Г.А. Пульсации давления на поверхности трехмерных выступающих тел // Изв. РАН. МЖГ. 2020. № 1. С. 57–63.
- Efimtsov B.M., Golubev A.Yu., Kuznetsov V.B., Rizzi S.A., Andersson A.O., Rackl R.G., Andrianov E.V. Effects of transducer flushness on measured surface pressure fluctuations in flight // AIAA paper 2005–800. 2005.
- Hu N., Erbig L. Effect of Sensor Mounting and Flow History on Measured Wall Pressure Spectra // AIAA J. 2020. V. 58. № 7. P. 1–11.
- Бендат Дж., Пирсол А. Прикладной анализ случайных данных: Пер. с англ. – М.: Мир, 1989. 540 с.
- Cherry N.J., Hillier R., Latour M.E.M. Unsteady measurements in a separated and reattaching flow // J. Fluid Mech. 1984. V. 144. P. 13–46.
Дополнительные файлы











