Diffusion-drift model of the surface glow discharge in supersonic gas flow
- Authors: Surzhikov S.Т.1
-
Affiliations:
- Ishlinsky Institute for Problems in Mechanics, Russian Academy of Sciences
- Issue: No 1 (2024)
- Pages: 145-162
- Section: Articles
- URL: https://journal-vniispk.ru/1024-7084/article/view/262498
- DOI: https://doi.org/10.31857/S1024708424010119
- EDN: https://elibrary.ru/sdctpi
- ID: 262498
Cite item
Full Text
Abstract
The two-dimensional electrogasdynamic problem of anomalous glow discharge on the surface of a sharp plate in supersonic flow of a perfect gas is solved using the system of Navier-Stokes equations to describe thermogasdynamic processes in the boundary layer and the two-temperature two-fluid diffusion-drift model of gas-discharge plasma to determine the electrodynamic structure of the discharge. The near-electrode regions of space charge and the external electrical circuit consisting of a power source and an ohmic resistance are taken into account. The influence of the magnetic field which is transverse to gas flow and has the induction of up to 0.03 T on the structure of boundary layer and glow discharge is studied. The electrogasdynamic structure of anomalous near-surface discharges is studied numerically over a wide range of gas flow velocities (M = 5–20), the free-stream pressures (p = 0.6–5 Torr), the electrode voltages, and the electric currents through the discharges. The electrodynamic structure of the gas-plasma flow near the electrodes and the effect of the glow discharge on the pressure and temperature distributions along the surface of the plate are also studied.
Full Text
Задача о взаимодействии пограничного слоя на острой пластине в сверхзвуковом потоке с тлеющим разрядом рассматривалась ранее в работах [1–3], где было выполнено численное моделирование взаимодействия аномального тлеющего разряда с молекулярным азотом. Исходные данные указанной задачи были аналогичны тем, которые исследовались в лабораторных аэрофизических экспериментах [4, 5].
В опытах было показано, что при напряжении на газоразрядном промежутке ~ 430 В и токах I ~ 50 мА аномальный тлеющий разряд между двумя плоскими электродами на поверхности оказывает заметное влияние на распределение давления вдоль обтекаемой поверхности. Особый интерес представляют экспериментальные данные о влиянии поперечного к потоку магнитного поля с индукцией до ~ 0.4 Тл на распределение давления вдоль поверхности.
Заметим, что аномальный тлеющий разряд постоянного тока является одной из хорошо известных форм существования газоразрядной плазмы между металлическими электродами в диапазоне токов ~ 10–2–1.0 А и напряжений на газоразрядном промежутке V ~ 102–103 В. В отличие от нормального тлеющего разряда [6, 7] в данном случае газоразрядная плазма занимает всю поверхность электродов, что приводит к возникновению сильно неоднородных плазменных областей вблизи границ электродов.
Расчетная модель, построенная и исследованная в трудах [1–3], показала хорошее качественное и количественное согласие с экспериментом, как по характерным параметрам тлеющего разряда, так и по эффекту силового воздействия пограничного слоя с тлеющим разрядом на поверхность. Однако в этих работах исследовалась амбиполярная модель аномального тлеющего разряда, в которой пренебрегалось приэлектроднми областями пространственного заряда и полагался квазинейтральный характер газоразрядного плазменного столба.
В данной работе используется так называемая диффузионно-дрейфовая модель двухтемпературной и двухжидкостной газоразрядной плазмы, в которой распределение электрического поля во всей области находят из решения уравнения Пуассона. Для учета внешнего магнитного поля выполнена модификация модели в частной двухмерной постановке описания течения в плоскости x–y с приложенным внешним магнитным полем в направлении оси z, как это обычно делается в классической магнитной гидродинамике [8].
Компьютерная реализация диффузионно-дрейфовой модели представляет собой более сложную и трудоемкую задачу, чем применение амбиполярной модели [1–3]. Однако полученные при этом расчетные данные заметно обогащают общее понимание изучаемого явления, так что указанные две модели могут оказаться полезными при решении прикладных задач.
С одной стороны, рассмотрена классическая для аэродинамических исследований постановка задачи сверхзвукового обтекания острой пластины. Однако в рассматриваемом случае на ее поверхности поперек потоку располагаются два электрода заподлицо с поверхностью для инициализации тлеющего разряда. Это означает появление внутри пограничного слоя объемных источников тепла и дополнительной объемной силы. Поэтому, с газодинамической точки зрения, представляет интерес изучение закономерностей формирования областей теплового и силового воздействия тлеющего разряда на структуру течения в пограничном слое.
С другой стороны, аномальный тлеющий разряд относится к классу разрядов, демонстрирующих большую чувствительность вольтамперных характеристик, распределений полей напряженности электрического поля и приведенного поля (отношение модуля напряженности к локальному давлению), концентраций электронов и ионов, скорости ионизационных и рекомбинационных процессов от давления и температуры в газе.
Для исследования выбраны два диапазона давлений в набегающем на пластину потоке совершенного газа: р = 0.6 и 5 Торр. Параметры электрической цепи: ЭДС источника питания ε = 500–1500 В, омическое сопротивление R0 = 12 кОм. Индукция магнитного поля изменялась в диапазоне Bz = ±0.03 Тл.
К важной особенности рассматриваемой задачи об аномальном тлеющем разряде следует отнести генерацию экстремальных электрических полей вблизи границ электродов, что приводит к экспоненциальному росту в этих зонах скорости ионизации, а это, в конечном счете, может привести к электрическому пробою или переходу в дуговой разряд.
Подчеркнем, что корректное описание указанных процессов в используемой здесь расчетной модели не предусмотрено. Это означает, что необходимо тщательно следить за выбором исходных данных и развитием исследуемого процесса в ходе математического моделирования. Обычно это требует выполнения серии численных экспериментов.
Еще одной особенностью решаемой задачи является использование диффузионно-дрейфовой модели, которая носит, по сути, полуэмпирический феноменологический характер. Входящие в модель во многом определяющие расчетную структуру тлеющего разряда коэффициенты подвижности и диффузии заряженных частиц, а также скорость ионизирующих процессов определяют из феноменологических соображений и экспериментально полученных данных в ограниченной области напряженности электрических полей и индукции магнитных полей. Отмеченная особенность, связанная с локализацией электрических полей, а также учет внешнего магнитного поля могут привести к необходимости модификации этих функций. Однако в данной работе сосредоточим внимание на изучении степени влияния этих функций на получаемые в рамках диффузионно-дрейфовой модели численные решения.
Выбор двух диапазонов исследуемых давлений обусловлен следующим. При давлении р = 0.6 Торр наблюдается весьма заметное влияние магнитного поля на динамику газоразрядной плазмы в магнитном поле. Давление р = 5 Торр является типичным для исследования электродинамической структуры тлеющих разрядов [6, 7], что позволяет выполнить сравнительный анализ получаемых характеристик разрядов.
Расчетный анализ аномального тлеющего разряда при р = 0.6 Торр имел еще одно важное значение. Как уже отмечалось, экспериментальные данные [4, 5] послужили мотивацией для разработки излагаемой и подобных расчетных моделей [9]. В указанных экспериментах были обнаружены факты, которые следует учитывать при анализе результатов численного моделирования. Перечислим некоторые из них.
- При исследовании поперечного обтекания электродов (см. схему эксперимента на рис. 1) потоком со скоростью М = 5 типичные параметры разряда были следующими: полный ток I= 50 мА и напряжение на электроразрядном промежутке V~ 400–1300 В.
- Эксперименты проводились в квазистационарных условиях обтекания. Зафиксированы различные режимы обтекания без разряда, с аномальным тлеющим разрядом и с разрядом совместно с поперечным магнитным полем. То есть показано заметное различие режимов обтекания при включении разряда и, вдобавок, магнитного поля.
- Показано различие в режимах обтекания для альтернативного расположения катода и анода по отношению к направлению движения газа.
- Показано, что при поддержании разряда с током I= 50 мА наименьшее напряжение между электродами (V~ 500 В), расположенными вдоль потока, требуется при выключенном магнитном поле. Включение магнитного поля от –0.5 до +1.0 Тл приводит к необходимости увеличивать напряжение на газоразрядном промежутке.
При расположении электродов поперек газового потока наблюдается иная картина: для поддержания тока I = 50 мА наибольшее напряжение V ~ 1 300 В требуется в отсутствие магнитного поля. При его включении с индукцией +0.2 Тл необходимое напряжение падает до V ~ 600 В, а при магнитном поле противоположной поляризации B ~ 0.3 Тл напряжение падает до V ~ 900 В. При дальнейшем увеличении модуля индукции необходимое напряжение возрастает.
- Примечательно, что в эксперименте отмечены осцилляции напряжения при включении магнитного поля, а также отсутствие данных по необходимому напряжению для поддержания тока I= 50 мА при B < -0.5 Тл, хотя они имеются вплоть до B= +1.0 Тл. Это свидетельствует о разном влиянии поляризации магнитного поля на структуру тлеющего разряда.
- Еще один эффект включения магнитного поля — перемещение нагретой области токового столба от катода (выше по потоку) к аноду (ниже по потоку).
- Экспериментально показано, что при разных поляризациях магнитного поля поверхностное давление, генерируемое тлеющим разрядом на разных расстояниях между электродами, различается. Например, вблизи катода магнитное поле с индукцией –0.9 Тл увеличивает давление газа на поверхности примерно на 4%, а вблизи анода — на 7%. Поле положительной поляризации, В= +1.0 Тл, увеличивает давление газа у катода на 7%, а у анода — даже уменьшает.
Таким образом, можно констатировать наличие ряда наблюдаемых в эксперименте эффектов, которые необходимо подтвердить при численном моделировании.
Выбор указанного диапазона значений индукции магнитного поля обусловлен не только физической обоснованностью применения диффузионно-дрейфовой модели в магнитном поле, но и в первую очередь тем, что многочисленные численные эксперименты показали: учет магнитного поля даже с небольшой индукцией B ~ 0.01 Тл может стать сильным возмущающим фактором, влияющим на структуру пограничного слоя. При математическом моделировании часто наблюдалась численная неустойчивость, рождаемая, как правило, вблизи границ электродов.
1. ПОСТАНОВКА ЗАДАЧИ И ОСНОВНЫЕ УРАВНЕНИЯ
Расчетная схема задачи, решаемой в двухмерной постановке, показана на рис. 1.
Рис. 1. Расчетная схема задачи.
Газовая динамика обтекания заостренной пластины сверхзвуковым потоком описывается уравнениями неразрывности и Навье–Стокса, уравнением сохранения энергии относительно температуры газа, а также термическим и калорическим уравнениями состояния совершенного газа:
(1.1)
(1.2)
(1.3)
(1.4)
где r, p — плотность и давление; u, v – проекции вектора скорости V на оси прямоугольной декартовой системы координат x и y; m — динамический коэффициент вязкости; cp — удельная теплоемкость при постоянном давлении; T — температура; l — коэффициент теплопроводности. Компоненты тензора вязких напряжений и диссипативная функция:
Система уравнений (1.1)–(1.4) интегрируется совместно с термическим и калорическим уравнениями состояния совершенного газа:
(1.5)
где R0 = 8.314 × 107 эрг/(моль · K) — универсальная газовая постоянная; MS = 29 г/моль — молекулярный вес газа; e, cv — внутренняя энергия совершенного газа и удельная теплоемкость при постоянном объеме; γ = 1.4.
В правой части уравнений, выражающих закон сохранения импульса в проекциях на координатные оси (1.2) и (1.3), входят компоненты магнитной силы FB, x, FB, y : FB = [jB], а в правой части уравнения сохранения энергии (1.4) – слагаемое QJ, отвечающее джоулевому тепловыделению в газе QJ = (jE), где j, B, E — векторы плотности тока, индукции и напряженности электрического поля. Именно эти слагаемые математически связывают газодинамические процессы с электродинамическими процессами, протекающими в электрическом разряде.
Несмотря на то, что горящий в газовом потоке тлеющий разряд является сильно неравновесным физическим объектом, влиянием всех неравновесных физико-химических процессов на газовую динамику пренебрегаем.
Система уравнений двухжидкостной и двухтемпературной диффузионно-дрейфовой модели формулируется относительно концентраций электронов и ионов, усредненные скорости движения которых в тлеющем разряде определяются их конвективным переносом нейтральным газовым потоком со скоростью V, дрейфовым движением в электрическом поле и диффузией. В основе диффузионно-дрейфовой модели лежат уравнения многожидкостной частично ионизованной смеси газов, получаемой из уравнения Больцмана с использованием моментной процедуры [10]
где ne, ni — объемная концентрация электронов и ионов; me, mi — масса электрона и иона; — средние скорости электронной и ионной жидкостей, а также нейтрального газа; pe, pi — давление электронной и ионной жидкостей; te, ti — компоненты тензора вязких напряжений электронной и ионной жидкостей; Fe, Fi — объемные силы, действующие на частицы электронной и ионной жидкостей; nen, nei — частоты столкновений электронов с нейтральными частицами и с ионами; nin, nie — частоты столкновений ионов с нейтральными частицами и с электронами.
Используя ряд упрощающих соотношений физического характера а также рассматривая частный двухмерный случай развития газодинамических и электродинамических процессов в переменных x-y, с вектором индукции внешнего магнитного поля, направленного только вдоль оси z
в [7] получена система уравнений так называемой диффузионно-дрейфовой модели
(1.6)
(1.7)
(1.8)
Формулировка уравнений для электронных и ионных концентраций в виде (1.6) и (1.7) позволяет ввести в рассмотрение модифицированные для учета магнитного поля коэффициенты подвижностей и диффузии.
Также обращается внимание на то, что, в отличие от средних скоростей электронов, для ионов необходимо учитывать скорость нейтрального газа, так как они соизмеримы:
Замыкающим и принципиально важным для системы уравнений (1.6) и (1.7) является уравнение Пуассона, формулируемое относительно электрического потенциала j и позволяющего рассчитать напряженность электрического поля
(1.9)
В систему уравнений (1.6), (1.7) входят коэффициенты, определяющие связь искомых функций с элементарными процессами, протекающими в газоразрядной плазме:
где e — заряд электрона; c — скорость света; me, mi – масса электронов и ионов; nen, nin — частоты столкновений электронов и ионов с нейтральными частицами; be, bi — параметры Холла электронов и ионов; — ларморовские частоты электронов и ионов; температуры электронов и ионов измеряются в эВ.
В данной работе подвижность электронов рассчитывается по формуле
где типичное значение частоты столкновений электронов с нейтральными частицами принято равным
поэтому при измерении давления в торах
Подвижность ионов рассчитывается по формуле
Температура электронов принята постоянной Te = 1 эВ = 11 610 К, а температура ионов — равной температуре газа: Ti = T.
В качестве коэффициента ионизации выбран так называемый 1-й ионизационный коэффициент Таунсенда, определяющий число пар заряженных частиц, рождаемых электроном в ускоряющем приведенном поле Е/р на единице длины траектории своего движения. Это эмпирический коэффициент, рекомендуемый в работах [11, 12] для ряда газов. В частности, для азота
где
Данные коэффициенты рекомендуются для диапазона изменения приведенного поля Е/р < < 600 В/(см · Торр).
По определению 1-го ионизационного коэффициента Таунсенда произведение aG дает скорость ионизации в элементарном физическом объеме. Первый ионизационный коэффициент Таунсенда оставляется при учете магнитного поля без изменения, как характеристика ионизационных процессов при заданной плотности потока электронов и локального значения приведенного электрического поля Е/р. А модификации подвергается как раз плотность потока электронов где компоненты эффективного электрического поля определяются формулами (1.8).
Очевидно, что при be < 1, т. е. в случае слабых магнитных полей, степень модификации объемной скорости ионизации оказывается не слишком заметной. Но при получается заметное снижение скорости ионизации, что качественно верно отражает тенденцию снижения эффективности ионизационных процессов при учете магнитного поля. Однако, как будет показано далее, на процессы ионизации в решаемой задаче оказывают большое влияние и другие факторы.
Граничные условия для газодинамической части задачи
и условия второго рода для изменения функций вдоль потоковой координаты x на выходе из расчетной области, где газовый поток считается сверхзвуковым (полагается, что тонкая дозвуковая область в пограничном слое у поверхности не приводит к нарушению устойчивости решения)
На поверхности обтекаемого тела задаются условия прилипания и температура:
Граничные условия для задачи о тлеющем разряде:
(поверхность катода),
(поверхность анода),
Здесь χ — коэффициент вторичной электронной эмиссии; = 102 см–3; — координаты соответствующих точек на рис. 1; Ly — высота расчетной области.
Как уже отмечалось, диффузионно-дрейфовая модель позволяет приближенно описать области пространственного заряда между электродами и рассчитать суммарный ток, протекающий через токовый столб разряда, что, в свою очередь, позволяет учесть внешнюю электрическую цепь. При учете внешней электрической цепи задается дополнительное уравнение
где ε — ЭДС источника питания; V — падение напряжения на электродах; I — разрядный ток; R0 — внешнее балластное сопротивление. Полный ток через разряд рассчитывается по формуле
где n — единичный вектор нормали к поверхности катода (к) и анода (а); j — плотность тока, .
Выделение тепла в частично ионизованном газе за счет протекания тока рассчитывается по формуле
где — эффективность преобразования энергии электрического поля в нагрев газа. Представленные в данной работе результаты получены при η = 0.5.
При численном интегрировании системы сопряженных уравнений для пограничного слоя и тлеющего разряда необходимо тщательно подготавливать конечно-разностную сетку, обеспечивая сгущение узлов вблизи поверхности и в окрестности электродов. Местоположение электродов показано на всех рисунках с полями функций прямоугольниками.
2. РЕЗУЛЬТАТЫ ЧИСЛЕННОГО МОДЕЛИРОВАНИЯ
Выполнены две серии расчетов, исходные данные которых приведены в табл. 1.
Таблица 1. Исходные данные расчетов
№ серии | V∞, см/с | M∞ | T0, К | H0, эрг/г |
p∞ = 0.6 торр = 783 эрг/см3, r∞ = 0.636·10–5 г/см3, T∞ = 41.5 К, Tw = 295 К | ||||
1 | 0.676·105 | 5.2 | 262 | 270 · 107 |
p∞ = 5.0 торр = 6580 эрг/см3, r∞ = 0.915·10–5 г/см3, T∞ = 250 К, Tw = 295 К | ||||
2 | 3.400·105 | 10 | 5250 | 6030 · 107 |
Первая серия расчетов полностью соответствовала условиям проведения экспериментов [4, 5]. Главной задачей этой серии было убедиться в том, что получаемые расчетные данные не противоречат тем, которые получены в экспериментах.
Расчеты проводили для двух вариантов задания напряжения на электродах. Как уже отмечалось, при численном интегрировании системы уравнений диффузионно-дрейфовой модели можно использовать уравнение для внешней электрической цепи, задавая ЭДС e и омическое сопротивление R0. В этом случае напряжение на газоразрядном промежутке V получается с учетом падений напряжения на омическом сопротивлении, на катодном и анодном слоях объемного заряда, а также на положительном столбе.
Однако в работах [4, 5] приводятся опытные значения падения напряжения между электродами V и полного тока I. Поэтому для более корректного сравнения опытных и расчетных данных при численном решении задачи задавалась сразу величина V, и, как результат, получался ток через разряд, который и сопоставлялся с опытом. Таким образом стало возможным использование диффузионно-дрейфовой модели в двух режимах, что и было выполнено в данной работе. Тем не менее отметим, что расчет с заданным V является более трудоемким и менее предсказуемым, чем расчет с заданным ЭДС, когда напряжение на промежутке “подстраивается” в итерационном процессе.
Несколько расчетных вариантов было реализовано при задании e = 1500 В и несколько вариантов при заданном напряжении между электродами.
Вторая серия расчетов проводилась при увеличенном примерно на порядок давлении набегающего потока. Здесь была задана скорость потока М = 10 и температура набегающего потока T∞ = 250 К.
В табл. 1 кроме исходных данных для справки приведены температура и энтальпия торможения. Для каждой из указанных серий проводились расчеты без магнитного поля и при двух противоположных поляризациях магнитного поля.
Наиболее подробно получаемые при численном моделировании результаты решения задачи рассмотрим на примере первой расчетной серии, отвечающей исходным данных экспериментов [4, 5].
Общая картина обтекания заостренной пластины сверхзвуковым потоком при М = 5 показана на рис. 2, где показаны распределения давления (а), нормальной к поверхности компоненты скорости потока (б) и температуры (в). Для дальнейшего анализа поверхностного тлеющего разряда важными являются повышение давления вблизи электродов (их положение далее будет показано прямоугольниками на поле рисунков) и локализация температурного пограничного слоя у поверхности. Нормальная к поверхности компонента скорости является хорошим индикатором возможных возмущений в пограничном слое, в том числе за счет тлеющего разряда. В данном случае отсутствуют какие-либо видимые возмущения.
Рис. 2. Давление в пограничном, торр (а), нормальная к поверхности компонента скорости Vy = v/V∞ (б) и температура, К в пограничном слое (в) при р = 0.6 Торр, M = 5, e = 1500 В.
Электродинамическая структура тлеющего разряда показана на рис. 3–5. Распределение концентраций электронов (рис. 3) и ионов (рис. 4) показано без магнитного поля (а) и для двух поляризаций магнитного поля Bz = +0.01 Тл (б) и Bz = –0.01 Тл (в). Здесь и далее концентрации заряженных частиц отнесены к n0 = 109 см–3.
Рис. 3. Концентрация электронов ZE = ne/n0 при р = 0.6 Торр, M = 5, e = 1500 В: (а) Bz = 0, (б) Bz = +0.01 Тл, (в) Bz = –0.01 Тл.
Рис. 4. Концентрация ионов ZI = ni/n0 при р = 0.6 Торр, M = 5, e = 1500 В: (а) Bz = 0, (б) Bz = +0.01 Тл, (в) Bz = –0.01 Тл.
Прежде всего отметим характерную структуру тлеющего разряда, где отчетливо выделяется область объемного положительного заряда в прикатодной области (на рис. 3 и 4 помечены цифрой 1), область положительного столба квазинейтральной электроразрядной плазмы 2 и область объемного отрицательного заряда вблизи анода 3.
Указанные области тлеющего разряда во многом подобны тем, которые наблюдаются в нормальном тлеющем разряде [6, 7], но в данном случае имеются принципиальные различия. Это иные граничные условия (твердой поверхности) между электродами и значительные скачки напряженности электрического поля вблизи границ электродов.
Указанные особенности иллюстрируются распределением модуля напряженности электрического поля на рис. 5. Резкое возрастание Е наблюдается особенно вблизи катода. Вблизи анода также видны локальные максимумы напряженности, но они на порядок ниже.
Рис. 5. Модуль напряженности электрического поля (Efield M = |E|) при р = 0.6 Торр, M = 5, e = 1500 В; (а) Bz = 0, (б) Bz = +0.01 Тл, (в) Bz = –0.01 Тл.
На рис. 6 показаны векторные поля напряженности электрического поля у катода (а, в) и анода (б, г) при двух поляризациях магнитного поля.
Рис. 6. Вектор напряженности электрического поля вблизи катода (а, в) и анода (б, г) при р = 0.6 Торр, e = 1500 В, M = 5: (а) Bz = +0.01 Тл, (б) Bz = –0.01 Тл, (в) Bz = +0.01 Тл, (г) Bz = –0.01 Тл.
Приведенные векторные поля еще раз иллюстрируют резкое возрастание напряженности электрического поля вблизи границ катода, а также существенно меньшую напряженность вблизи анода. На этих же рисунках отметим характерные изменения структуры векторных полей напряженности при противоположной поляризации магнитного роля. В данном случае индукция магнитного поля не слишком высока, Bz = ±0.01 Тл, однако при весьма низком давлении (р = 0.6 Торр) холловские параметры электронов и ионов равны соответственно be = 0.7 и bi = 0.0024. Поэтому компоненты эффективного электрического поля, определенные соотношениями (1.8) различаются весьма заметно. И неудивительны различие в конфигурации распределений электронов и ионов, а также модуля напряженности электрического поля, показанные на рис. 3–5. При этом видно, особенно на распределениях электронных концентраций, что отрицательная поляризация магнитного поля смещает газоразрядную плазму к аноду.
Изменения в электродинамической структуре аномального тлеющего разряда во многом обусловлены сильной зависимостью скорости объемных ионизационных процессов, распределение которых с магнитным полем и без него показаны на рис. 7.
Рис. 7. Объемная скорость ионизации при р = 0.6 Торр, M = 5, e = 1500 В: (а) Bz = 0, (б) Bz = +0.01 Тл, (в) Bz = –0.01 Тл.
Сначала отметим очевидный факт локализации максимальных значений объемной скорости ионизации вблизи границ электродов, где наблюдается наибольшая напряженность электрического поля.
Другим важным фактом является то, что при Bz = +0.01 Тл наблюдается некоторое увеличение объемной скорости ионизации, а при Bz = –0.01 Тл — заметное уменьшение. Исходя из расчетной модели (уравнения (1.6) и (1.7)) и сделанных допущений относительно учета эффективности столкновительной ионизации (введение в модель 1-го ионизационного коэффициента Таунсенда) магнитное поле должно уменьшать подвижность электронов и, тем самым, снижать объемную скорость ионизации.
Однако не менее важным оказывается изменение структуры напряженности электрического поля, что также приводит к сильному перераспределению дрейфовых потоков электронов. Поэтому зависимость объемной скорости ионизации не только от индукции магнитного поля, но и от его поляризации, оказывается неоднозначной, тем более что особая роль границ электродов здесь также проявляется. Это подтверждается распределением мощности джоулева тепловыделения QJ в пограничном слое, показанном на рис. 8. Видно, что наибольшая мощность формируется у анода.
Рис. 8. Объемная мощность джоулева тепловыделения (QEJ = QJ) при р = 0.6 Торр, M = 5, e = 1500 В: (а) Bz = 0, (б) Bz = +0.01 Тл, (в) Bz = –0.01 Тл.
Вблизи границы анода, где электронные концентрации достигают наибольших значений, наблюдаются наибольшие значения объемной магнитной силы. При Bz > 0 у-компонента магнитной силы достигает величины ~103 дин/см3, а при Bz < 0 Fm,y ~ -200 дин/см3.
На рис. 9 видны проявления действия магнитной силы и джоулева тепловыделения на структуру течения в пограничном слое: наблюдается относительное разрежение давления у катода (рис. 9а), изменение нормальной скорости потока (рис. 9б) и локальный нагрев газа (рис. 9в).
Рис. 9. Давление в пограничном, Торр (а), нормальная к поверхности компонента скорости Vy = v/V∞ (б) и температура, К, в пограничном слое (в) при р = 0.6 Торр, M = 5, e = 1500 В, Bz = +0.01 Тл.
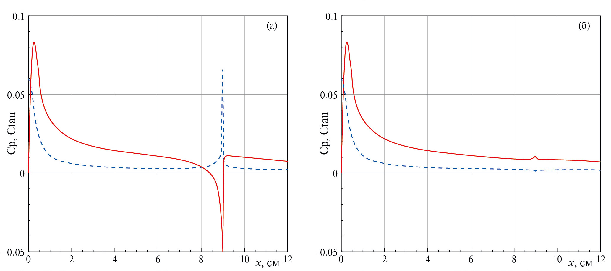
Возмущения газодинамической структуры пограничного слоя при Bz = +0.01 Тл оказываются более заметными, чем при Bz = –0.01 Тл. На рис. 10а показаны распределения вдоль поверхности пластины коэффициентов давления и поверхностного трения
где – напряжение поверхностного трения.
Рис. 10. Распределение коэффициентов давления (сплошная кривая) и трения при р = 0.6 Торр, M = 5, e = 1500 В; (а) Bz = +0.01 Тл, (б) Bz = –0.01 Тл.
Видно, что для расчетного варианта с Bz = +0.01 Тл (рис. 10а) изменение коэффициентов Cp и Cf оказывается очень сильным. Для противоположной поляризации магнитного поля указанные возмущения заметно ниже (рис. 10б).
Таким образом, суммируя отмеченные особенности полученного численного решения задачи о сверхзвуковом обтекании острой пластины с поверхностным аномальным тлеющим разрядом, можно констатировать качественное согласие с опытными данными [4, 5].
В данной первой серии расчетов были получены следующие значения полного тока и напряжения на газоразрядном промежутке:
Bz = 0, I = 13.2 мА, V = 1 340 В,
Bz = +0.01, I = 8.6 мА, V = 1 396 В,
Bz = -0.01, I = 6.3 мА, V = 1 423 В.
Расчеты при заданном напряжении на газоразрядном промежутке V = 430 В показали следующее:
Bz = 0, I = 84.0 мА,
Bz = +0.005, I = 82 мА,
Bz = –0.01, I = 108 мА.
Поэтому можно отметить также неплохое количественное согласие с экспериментальными данными [4, 5], где отмечалось типичное напряжение между электродами V ~ 1 200 В при токе I = 50 мА.
Вторая расчетная серия носила прогностический характер и была выполнена при увеличенном примерно на порядок давлении в набегающем потоке и скорости М = 10. На рис. 11 и 12 показаны распределения концентраций электронов и ионов в электроразрядном промежутке при задании e = 1000 В и R0 = 12 кОм для двух значений индукции магнитного поля. В этом расчетном варианте была несколько изменена конфигурация электродов. Катод и анод имели ширину вдоль потока 0.5 см и протяженность поперек потока 1 см.
Рис. 11. Концентрация электронов (ZE = ne/n0) в аномальном тлеющем разряде при p = 5 Торр, М = 10, ε = 1000 В: Bz = +0.03 (а), Bz = –0.03 Tл (б).
Рис. 12. Концентрация ионов (ZI = ni /n0) в аномальном тлеющем разряде при p = 5 Торр, М = 10, ε = 1000 В: Bz = +0.03 (а), Bz = –0.03 Tл (б).
Распределения электронов и ионов находятся в соответствии с исходными представлениями о сносе ионов высокоскоростным газовым потоком и об относительной независимости от газового потока поведения электронов, которое в основном определяется дрейфовыми и диффузионными процессами в самосогласованном электрическом поле. Примечательно также смещение области наибольших концентраций заряженных частиц к аноду при Bz = –0.03 Тл. На это также обращали внимание в экспериментах [4, 5].
Поляризация магнитного поля в рассматриваемом расчетном случае также оказывает заметное влияние на распределение модуля напряженности электрического поля (рис. 13). Тем не менее видно, что, как и прежде, наибольшая напряженность поля формируется вблизи границ электродов.
Рис. 13. Модуль напряженности электрического поля (Efield M = |E|) в аномальном тлеющем разряде при p = 5 Торр, М = 10, ε = 1000 В: Bz = +0.03 (а), Bz = –0.03 Tл (б).
На рис. 14 показано распределение электрического потенциала и векторное поле напряженности. Масштаб длины векторов определяется максимальным значением модуля электрического поля на рис. 13. Обращает на себя внимание заметное увеличение напряженности электрического поля вблизи катода при Bz = –0.03 Тл, а также заметное его возрастание вблизи анода.
Рис. 14. Электрический потенциал (FI = j/e) в аномальном тлеющем разряде и векторное поле напряженности электрического поля при p = 5 Торр, М = 10, ε = 1000 В: Bz = +0.03 (а), Bz = –0.03 Tл (б).
Смещение максимума концентраций электронов и ионов к аноду, а также возрастание здесь напряженности электрического поля приводит к сильному возрастанию у анода джоулева тепловыделения (рис. 15). Следствием этого является локальное возмущение давления вблизи анода (рис. 16а) и значительное возрастание температуры (рис. 16б).
Рис. 15. Мощность джоулева тепловыделения (QEJ = QJ) в аномальном тлеющем разряде при p = 5 Торр, М = 10, ε = 1000 В: Bz = +0.03 (а), Bz = –0.03 Tл (б).
Рис. 16. Давление в пограничном в торр (а) и температура, К, в пограничном слое (б) при p = 5 Торр, М = 10, ε = 1000 В, Bz = –0.03 Tл.
Примечательно, что вблизи анода формируется как заметное возрастание давления, так и весьма сильное разрежение. Итогом такого распределения давления является значительное изменение коэффициентов давления и трения вблизи анода (рис. 17).
Рис. 17. Распределение коэффициентов давления (сплошная кривая) и трения при р = 5 Торр, M = 10, e = 1000 В, Bz = –0.03 Тл.
Во второй серии расчетов при задании ЭДС источника питания e = 1000 В были получены следующие интегральные параметры разряда:
Bz = 0, I = 15 мА, V = 815 В,
Bz = +0.03, I = 13 мА, V = 838 В,
Bz = –0.03, I = 23 мА, V = 725 В.
Сравнивая результаты математического моделирования аномального тлеющего разряда на поверхности острой пластины, обтекаемой сверхзвуковым потоком, полученные в данной работе с использованием диффузионно-дрейфовой модели, и в работе [3] с использованием амбиполярной модели, можно констатировать близость интегральных параметров разрядов в схожих условиях.
Следует иметь в виду основное различие указанных моделей, состоящее в том, что в амбиполярной модели отсутствует описание приэлектродных слоев, в которых, как показано в данной работе, протекают электродинамические процессы с обострением напряженности электрического поля и всех сопутствующих функций.
Наибольшее различие результатов указанных двух моделей состоит в том, что в амбиполярной модели допускается задание индукции магнитного поля примерно на порядок большей, чем в диффузионно-дрейфовой модели, где в силу большей локализации напряженности электрического поля вблизи границ электродов численная неустойчивость проявляется гораздо раньше. Вероятно, ранее обсуждавшийся искусственный математический прием по сглаживанию напряженности электрического поляна границах электродов [13], являющийся аналогом скругления границ электродов в эксперименте, может оказаться полезным при решении прикладных задач.
Таким образом, можно констатировать успешное расширение опыта использования диффузионно-дрейфовых моделей в задачах аэрофизики, изложенного в предшествующих работах [7, 9, 14].
3. ЗАКЛЮЧЕНИЕ
Применение диффузионно-дрейфовой модели к расчету аномального тлеющего разряда на поверхности острой пластины, обтекаемой сверхзвуковым потоком газа в диапазоне давлений 0.6–5 Торр показал на возможность использования этой модели для получения параметров разряда подобных тем, которые измеряются в физическом эксперименте. Достоинством разработанной модели является адекватное описание электродинамической структуры аномального приповерхностного тлеющего разряда, включая прикатодный и прианодный слои объемного заряда и квазинейтрального положительного столба.
Выполнена модификация диффузионно-дрейфовой модели в части учета внешнего магнитного поля и высокоскоростного потока нейтрального газа.
Реализация сопряженной электрогазодинамической модели, в которой используются полные уравнения Навье–Стокса, позволяет с достаточной для практических нужд достоверностью описать изменения в газодинамической структуре пограничных слоев, связанные с наличием тлеющего разряда.
В результате численного моделирования аномального тлеющего разряда в пограничном слое при давлении набегающего потока 0.6–5 Торр и напряжения на электродах, расположенных поперек газовому потоку порядка 1 кВ, получены распределения концентраций электронов и ионов, напряженности электрического поля, скоростей ионизационных процессов, объемной мощности джоулева тепловыделения, полей газодинамических функций. Показано, что использование внешнего магнитного поля с индукцией ~ 0.01 Тл позволяет модифицировать распределение давления вдоль обтекаемой поверхности.
Разработанная расчетно-теоретическая модель валидирована сравнением с экспериментальными данными аэрофизического эксперимента.
ФИНАНСИРОВАНИЕ
Работа выполнена при поддержке Российского научного фонда (грант № 22-11-00062).
КОНФЛИКТ ИНТЕРЕСОВ
Автор данной работы заявляет, что у него нет конфликта интересов.
About the authors
S. Т. Surzhikov
Ishlinsky Institute for Problems in Mechanics, Russian Academy of Sciences
Author for correspondence.
Email: surg@ipmnet.ru
Russian Federation, Moscow
References
- Суржиков С.Т., Шэнг Дж.С. Вязкое взаимодействие на плоской пластине с поверхностным разрядом в магнитном поле // Теплофизика высоких температур. 2005. Т. 43. № 1. С. 21–31.
- Суржиков С.Т. Гиперзвуковое обтекание острой пластины и двойного клина с электромагнитным актюатором // Изв. РАН. Механика жидкости и газа. 2020. № 6. С. 106–120.
- Суржиков С.Т. Сверхзвуковое обтекание заостренной пластины с поверхностным аномальным тлеющим разрядом в магнитном поле // Изв. РАН. Механика жидкости и газа. 2023. № 6. С. 144–167.
- Kimmel R.L., Hayes J.R., Menart J.A., Shang J. Effect of surface plasma discharge on boundary layers at Mach 5 // AIAA Paper 2004-509. 2004. 10 p.
- Menart J., Shang J.S., Kimmel R., Hayes J. Effects of Magnetic Fields on Plasmas Generated in a Mach 5 Wind Tunnel // AIAA Paper 2003-4165. 2003. 13 p.
- Райзер Ю.П., Суржиков С.Т. Двумерная структура нормального тлеющего разряда и роль диффузии в формировании катодного и анодного пятен // Теплофизика высоких температур. 1988. Т. 25. № 3. С. 428–435.
- Суржиков С.Т. Физическая механика газовых разрядов. М.: МГТУ, 2006. 640 с. (Surzhikov S.T. Theoretical and Computational Physics of Gas Discharge Phenomena. A Mathematical Introduction. De Gruyter: Berlin, 2020, 537 p.)
- Куликовский А.Г., Любимов Г.А. Магнитная гидродинамика. М.: Логос, 2005. 325 с.
- Shang J.S., Surzhikov S.T., Kimmel R., Gaitonde D., Menart J., Hayes J. Mechanisms of plasma actuators for hypersonic flow control // Progress in Aerospace Sciences. 2005. V. 41. P. 642.
- Гершман Б.Н., Ерухимов Л.М., Яшин Ю.Я. Волновые явления в ионосфере и космической плазме. М.: Наука, 1984. 392 с.
- Райзер Ю.П. Физика газового разряда. М.: Наука, 1987. 591 с.
- Браун С. Элементарные процессы в плазме газового разряда. М.: Гос. изд-во лит-ры в обл. атом. науки и техники, 1961. 323 с. (Brown S.C. Basic Data of Plasma Physics. Technology Press of M.I.T. and Wiley, 1966)
- Суржиков С.Т. Сравнительный анализ параметров нормального и аномального тлеющих разрядов постоянного тока // Физика плазмы. 2022. Т. 48. № 11. С. 1102–1114.
- Битюрин В.А., Бочаров А.Н., Попов Н.А. Численное моделирование электрического разряда в сверхзвуковом потоке // Изв. РАН. МЖГ. 2008. № 4. С. 160–172.
Supplementary files



















