Natural vibrations of fluid in a well connected with the reservoir by a system of radial fractures
- Authors: Bashmakov R.A.1,2, Nasyrova D.A.2, Khakimova Z.R.3
-
Affiliations:
- Ufa University of Science and Technology
- Mavlyutov Institute of Mechanics of the Ufa Federal Research Center of the Russian Academy of Sciences
- Ufa State Petroleum Technological University
- Issue: No 2 (2024)
- Pages: 126-134
- Section: Articles
- URL: https://journal-vniispk.ru/1024-7084/article/view/266743
- DOI: https://doi.org/10.31857/S1024708424020115
- EDN: https://elibrary.ru/riurhq
- ID: 266743
Cite item
Full Text
Abstract
The problem of natural vibrations of a fluid in a horizontal well with multiple fractures obtained by hydraulic fracturing is considered. A mathematical model of the natural vibrations of fluid in a horizontal oil well connected to the reservoir by a system of radial hydraulic fractures is constructed and the frequency characteristics of the natural vibrations of fluid as functions of the hydraulic fracture and reservoir parameters are determined. Using a numerical analysis of the frequency characteristics of vibrations, the effect of changes in the fracture width, the number of fractures, and the reservoir permeability on the natural frequencies is demonstrated.
Full Text
Введение
В настоящее время при добыче нефти широко применяется технология гидроразрыва пласта (ГРП). В пласте создаются трещины, которые закрепляются пропантами для предотвращения их смыкания. Трещины, которые возникают в результате применения технологии ГРП, увеличивают площадь, с которой можно извлечь нефть из добывающей скважины, или расширяют поверхность закачки жидкости, если это нагнетающая скважина [1]. Применение горизонтальных скважин с множественными трещинами ГРП позволяет повысить эффективность разработки низкопроницаемых пластов.
Трещины гидроразрыва могут обладать весьма необычными очертаниями, которые зависят от структуры пласта. Конфигурация трещин ГРП на вертикальных скважинах достаточно подробно изучена. Имеется большое число работ, в которых дается описание фильтрации флюида в призабойной зоне таких скважин [2–4].
Эффективным и удобным с точки зрения технической реализации способом определения качества и параметров трещин ГРП является способ, основанный на возбуждении собственных колебаний столба жидкости в скважине. Период колебаний, а также, особенно, интенсивность затухания колебаний будут определяться не только протяженностью столба жидкости в скважине, диаметром скважины и реологическими свойствами жидкости, но и коллекторскими характеристиками призабойной зоны пласта (в частности, коэффициентами проницаемости, качеством перфорации скважин и свойствами образованных трещин ГРП). Колебания могут инициироваться резким открытием или закрытием скважины. При этом время (период инициирования) должно быть сопоставимо со временем прохождения акустическим сигналом расстояния, порядка протяженности столба жидкости в скважине. Если этот промежуток будет короче, чем время пробега акустического сигнала, то образуется одиночный импульсный сигнал, распространяющийся в скважине с отражением на ее границах.
В работе [5] предложен метод гидравлического импедансного тестирования, идея которого заключается в интерпретации фактического изменения гидравлического сопротивления между стволом скважины и открытой трещиной ГРП. Для этого искусственно создается импульс давления в скважине и анализируется отраженный сигнал.
Волны Стоунли, излучаемые источником и воспринимаемые приемником, расположенными в скважине рассматриваются в [6]. Импульс передается по трубе и обсадной колонне. Ствол скважины моделируется, как линия электропередачи с потерями, трещина моделируется, как сопротивление и емкость.
В работе [7] для моделирования процесса изменения давления в результате гидроудара объединили уравнение неразрывности и сохранения импульса в стволе скважины с представлением трещины ГРП в виде цепи с сопротивлением, емкостью и индуктивностью (контуром). Изменение емкости изменяет период колебаний, сопротивление влияет на амплитуду и скорость затухания колебаний, индуктивность также влияет на период. В этой работе также выведены уравнения, связывающие эти параметры с размерами трещины и ее коллекторскими характеристиками.
В работе [8] приведены результаты полевых измерений изменения давления в различных точках скважины при резком изменении скорости потока жидкости. Скважинные датчики фиксировали изменение давления в зависимости от времени со скоростью 100 проб в секунду. При этом вид полученных осциллограмм свидетельствует, что они соответствуют собственным колебаниям столба жидкости.
В работе [9] предлагается математическая модель, описывающая фазовые и амплитудные характеристики волнового пакета, проведено сравнение численных расчетов, полученных на основе модели с данными работы [8]. Граничные условия на нижнем конце скважины учитывают либо ламинарный, либо турбулентный режим течения, связанный с трением в перфорационных каналах.
В работах [10, 11] приведены опытные данные и изучаются колебания давления после остановки насосов закачки жидкости для создания трещины. Источником колебаний давления, по мнению авторов, являются колебания стенок трещины, возникающие в процессе смыкания трещины ГРП.
В трудах [12–14] рассматривали собственные колебания столба жидкости в нефтяной скважине при отсутствии или наличии трещины ГРП. Проведен анализ влияния характеристик трещины и пласта на частоту колебаний, коэффициент затухания. Определено изменение давления в различных точках скважины.
Во всех упомянутых работах изучали вертикальные трещины ГРП, параллельные оси вертикальной скважины и симметричные относительно нее.
В исследовании [15] рассматривается задача об отборе жидкости из пласта в скважину или закачке жидкости из скважины в пласт при наличии трещины ГРП, перпендикулярной стволу скважины в режиме постоянного расхода. Получены аналитические решения, описывающие эволюцию давления в трещине при постоянном расходе флюида из пласта в скважину. Проанализировано влияние коллекторских характеристик пласта и трещины на эволюцию давления в трещине и в скважине.
В нашей работе построена математическая модель собственных колебаний жидкости в горизонтальной нефтяной скважине, сообщающейся с пластом системой радиальных трещин ГРП. Определены частотные характеристики собственных колебаний жидкости в зависимости от параметров трещины ГРП и пласта.
1. Основные уравнения
Пусть обсаженная горизонтальная скважина длиной l сообщается с пластом посредством N радиальных трещин ГРП, расположенных равномерно вдоль скважины (рис. 1). Тогда число трещин ГРП, приходящееся на единицу длины скважины, равно n = N/l. Величины, аналогичные введенному числу n, можно найти в работе [16], где дается понятие густоты трещин применительно к трещиноватым коллекторам для количественной оценки трещиноватости.
Рис. 1. Схема системы “скважина – трещины ГРП – пласт”.
Для малых возмущений давления, плотности и скорости запишем уравнения, описывающие движение жидкости в скважине. Поскольку скважина обсаженная, приток флюида из пласта в скважину происходит только через трещины ГРП.
Имеем систему уравнений сохранения массы и сохранения импульса
(1.1)
где
p = p(t, z) – давление в скважине на расстоянии z от начала горизонтального участка; s – касательное напряжение в жидкости на поверхности стенки скважины; m и n – динамическая и кинематическая вязкости жидкости; C – скорость звука в жидкости; a – радиус скважины; uf (w) – скорость фильтрации на выходе из скважины в трещину.
Уравнения (1.1) записаны в линеаризованном виде относительно гидростатического состояния равновесия. Принятые уравнения неразрывности в таком виде означают, что расход флюида через трещины “размазывается” равномерно на всю длину скважины, а это в свою очередь означает, что длина волны (для рассматриваемой задачи она порядка длины скважины) значительно больше расстояния между соседними трещинами ГРП, т.е. l/N >> 1.
Для определения uf (w) рассмотрим фильтрационную задачу в трещине. Для этого запишем уравнение фильтрации в ней в виде
(1.2)
при граничных условиях
и (1.3)
Нижние индексы i = p и f указывают, что значения параметров относятся соответственно к пласту и трещине.
Скорость фильтрации из трещины в скважину будет определяться по закону Дарси
(1.4)
2. Решение в виде стоячих волн
Рассмотрим в рамках выше представленных уравнений задачу собственных затухающих колебаний столба жидкости в скважине. Решение уравнений (1.1) будем искать в виде
(2.1)
Для этого сначала следует определить скорость фильтрации uf (w), используя решение (1.2) с учетом граничных условий (1.3), а также (1.4). Решение (1.2) будем искать в виде
Подставляя его в (1.2), имеем
После преобразований получим
(2.2)
Из условий (1.3) следует
и
Тогда для решения уравнения (2.2) можем записать
Из этого решения для скорости фильтрации получим
(2.3)
Здесь использовано dK0(s)/ds = –K1(s), где K0(xr) и K1(xr) – функции Макдональда нулевого и первого порядков [17].
Подставляя в систему (1.1) решения (2.1), с учетом (2.3) имеем
(2.4)
где
Выражая A(w)(z) из второго уравнения системы (2.4) и подставляя его в первое уравнение, получим следующее дифференциальное уравнение:
(2.5)
где
Решение этого уравнения имеет вид
(2.6)
Будем полагать, что оба конца скважины наглухо закрыты. Тогда решение уравнений (2.4) должно удовлетворять условиям
(2.7)
Из условия (2.7) в силу второго уравнения из (2.4), должны выполняться условия для давлений
при и (2.8)
Чтобы для уравнения (2.6) было выполнено условие (2.8) при z = 0, постоянная c1 должна равняться нулю (c1 = 0). Тогда при z = l получим
(2.9)
Это уравнение представляет собой характеристическое уравнение для определения комплексной частоты Причем действительная часть Ω определяет круговую частоту колебаний, а мнимая часть – интенсивность затухания. Уравнение (2.9) имеет множество решений, удовлетворяющих условию
(2.10)
Если пренебречь вязкостным трением жидкости об стенки скважины (ν = 0), а также наличием радиальных трещин ГРП (n = 0), то с учетом выражения для K из (2.5) получим
, тогда
Решение (2.6) в этом случае запишется как
В случае отсутствия трещин ГРП (n = 0) из (2.10) следует
(2.11)
Предположим, что для первой гармоники (k = 1) удовлетворяется условие Так как разделяя действительную и мнимую части и делая оценки параметров, из (2.11) имеем
Наиболее информативной и долгоживущей в общем случае является первая гармоника. Поэтому для определения комплексной частоты этой гармоники из (2.10), учитывая (2.5), можем записать
3. Результаты расчетов
Для численных расчетов примем следующие значения параметров: a = 0.01 м – радиус скважины, l = 500 м – длина горизонтального закрытого с двух концов участка скважины, r = 1000 кг/м3 – плотность жидкости, C = 1500 м/с – скорость звука в среде, mp = 0.1 – пористость пласта, mf = 0.2 – пористость трещины, m = 10–3 Па × с – динамическая вязкость жидкости.
Отметим, что в теоретической модели, описывающей течение в трещинах, ширина трещины df и проницаемость kf входят в виде произведения df kf = Cf . Это, в свою очередь, приводит к неоднозначности определения значений df и kf по промысловым данным. Параметр Cf называется проводимостью трещины.
На рис. 2 приведены зависимости собственной частоты W (а), коэффициента затухания d (б) и декремента затухания D (в), определяемого так (2p/W)d от проводимости трещины ГРП. Линии 1–3 соответствуют значениям проницаемости пласта kp = 10–15, 10–13, 10–12 м2. Число трещин N = 10.
Рис. 2. Зависимости собственной частоты (а), коэффициента затухания (б) и декремента (в) от проводимости Cf трещины ГРП при числе трещин N = 10: 1–3 – kp = 10–15, 10–13, 10–12.
Из рисунка следует, что увеличение проводимости с 10–15 до 10–12 м3 приводит к снижению собственной частоты, при этом если проницаемость kp = 10–15 м2, то собственная частота снижается на 0.2 с–1, а при проницаемостях kp = 10–13, 10–12 частота снижается на 0.4 с–1.
Особенно резкое изменение частоты наблюдается при проводимости в промежутке от 10–13 до 10–12 м3. Что касается коэффициента затухания и декремента затухания, то при увеличении проводимости с 10–15 до 10–12 м3, коэффициент затухания увеличивается в диапазоне от 0 до 1.5 с–1, а декремент затухания в диапазоне от 0 до 1. При этом также значительно увеличиваются коэффициент и декремент затухания при проводимости от 10–13 до 10–12 м3.
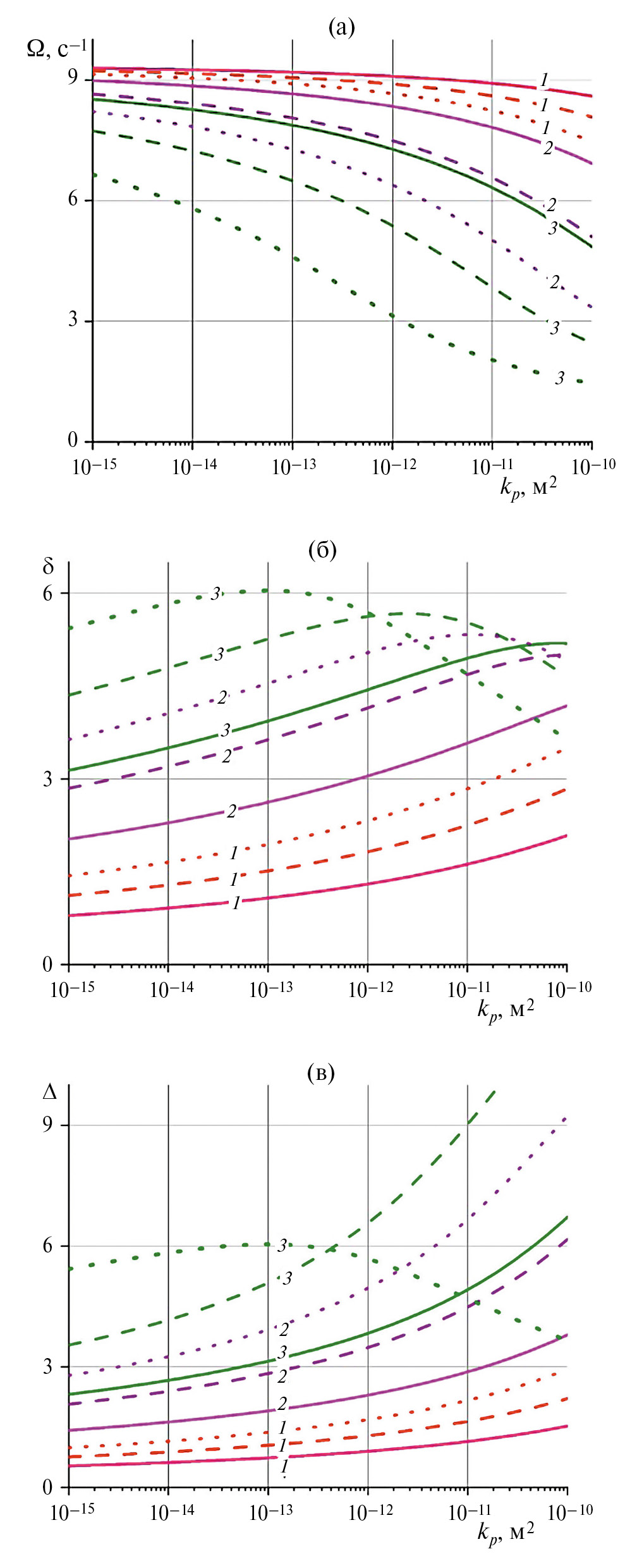
На рис. 3 приведены зависимости собственной частоты W (а), коэффициента затухания d (б) и декремента затухания D (в) от проницаемости пласта kp при значениях ширины трещины df : 1 – 1 мм, 2 – 3 мм, 3 – 5 мм. Сплошная линия – количество трещин N = 7, штриховая – 10, точечная – 13.
Рис. 3. Зависимости собственной частоты (а), коэффициента затухания (б) и декремента затухания (в) от проницаемости пласта kp при значениях ширины трещины: 1–3 – df = 1, 3, 5 мм и числе трещин: N = 7, 10, 13 – соответственно сплошная, штриховая, точечная линии.
Видно, что при увеличении проницаемости c 10–15 до 10–10 м2 собственная частота падает. Однако когда df = 1 мм, частота падает незначительно: с 9 до 8 с–1. Также незначительно частота падает с 9 до 7 с–1, когда df = 3 мм и N = 7. При df = 5 мм и N = 7 увеличение проницаемости приводит к более быстрому уменьшению собственной частоты с 8 до 5 с–1, а если df = 5 мм и N = 10, N = 13, df = 3 мм и N = 13, то увеличение проницаемости приводит более чем двукратному снижению собственных колебаний.
При df = 1 мм и N = 7, N = 10 и N = 13 и df = 3 мм и N = 7 и N = 10, df = 5 мми N = 7 коэффициент затухания увеличивается на 1 с–1 с увеличением проницаемости в диапазоне от 10–15 до 10–10.
В случаях когда df = 3 мм и N = 13, а также df = 5 мм и N = 10, N = 13 при увеличении проницаемости коэффициент затухания возрастает, достигает своего максимума в диапазоне с 10–13 до 10–11 м2 и начинает убывать. Что касается декремента затухания, то при df = 1 мм с увеличением проницаемости с 10–15 до 10–10 м2 он увеличивается незначительно: около 1 с–1. Однако при df = 3 мм и N = 10, N = 13, а также при df = 5 мм и N = 7, N = 10 декремент затухания увеличивается более чем двукратно с увеличением проницаемости с 10–15 до 10–10 м2.
Наиболее нетривиальный эффект наблюдается когда df = 5 мм и N = 13: Декремент затухания увеличивается, достигает свой максимум D = 6 при проницаемости kp = 10–13 и далее уменьшается до D ≈ 3.5 с увеличением проницаемости до 10–10 м2.
На рис. 4 показана зависимость собственной частоты W (а), коэффициента затухания d (б) и декремента затухания D (в) от количества трещин на единицу длины скважины n = N/l. Ширина трещины df = 3 мм. Линии 1–3 соответствуют значениям проницаемости пласта kp = 10–15, 10-13, 10-12 м2. Собственная частота падает при увеличении n с 0 до 0.04, однако при проницаемости пласта kp = 10–13 м2 собственная частота снижается с 9.5 до 5 с–1, при kp = 10–12 м2 собственная частота снижается более чем в три раза, с 9.5 до 3 с–1.
Рис. 4. Зависимости собственной частоты (а), коэффициента затухания (б) и декремента затухания (в) от количества трещин на единицу длины скважины n = N/l при ширине трещины df = 3 мм: 1–3 – kp = 10–15, 10–13, 10–12.
Коэффициент затухания и декремент затухания возрастают при увеличении n с 0 до 0.04. Однако при проницаемости kp = 10–15 м2 декремент затухания увеличиваются в два раза быстрее, в отличие от случая, когда kp = 10–13 , 10–12 м2. Коэффициент затухания увеличивается, достигает максимума (d ≈ 6 при n ≈ 0.02) и убывает с увеличением n.
Заключение
Получено трансцендентное уравнение для комплексной частоты собственных колебаний столба жидкости в горизонтальной скважине с множественным ГРП. На основе этого уравнения определены частотные характеристики (частота колебаний, коэффициент затухания, амплитуда колебаний), описывающие собственные колебания жидкости в горизонтальной скважине с системой трещин, перпендикулярных стволу скважины.
Проведенный численный анализ частотных характеристик колебаний показывает влияние изменения ширины трещины, количества трещин и проницаемости пласта на собственные частоты.
Финансирование
Исследование выполнено при поддержке средствами госбюджета по госзаданию № 075-00570-24-01 (“Гидрогазодинамика многофазных, термовязких и микродисперсных сред”).
About the authors
R. A. Bashmakov
Ufa University of Science and Technology; Mavlyutov Institute of Mechanics of the Ufa Federal Research Center of the Russian Academy of Sciences
Author for correspondence.
Email: Bashmakov_Rustem@mail.ru
Russian Federation, Ufa; Ufa
D. A. Nasyrova
Mavlyutov Institute of Mechanics of the Ufa Federal Research Center of the Russian Academy of Sciences
Email: dinasyrova@mail.ru
Russian Federation, Ufa
Z. R. Khakimova
Ufa State Petroleum Technological University
Email: zulfya.hakimova@yandex.ru
Russian Federation, Ufa
References
- Экономидес М., Олини Р., Валько П. Унифицированный дизайн гидроразрыва пласта: от теории к практике. М.; Ижевск: Институт компьютерных технологий, 2007. 237 с.
- Cinco-Ley H. Evaluation of hydraulic fracturing by transient pressure analysis methods // Proс. Petrol. Exh. Techn. Symp. Beijing, China. 1982. SPE-10043-MS.
- Нагаева З.М., Шагапов В.Ш. Об упругом режиме фильтрации в трещине, расположенной в нефтяном или газовом пласте // ПММ. 2017. Т. 81. № 3. С. 319–329.
- Хабибуллин И.Л., Хисамов А.А. Нестационарная фильтрация в пласте с трещиной гидроразрыва // Изв. РАН. МЖГ. 2019. № 5. С. 6–14. doi: 10.1134/S0568528119050050.
- Holzhausen G.R., Gooch R.P. Impedance of Hydraulic Fractures: Its Measurement and Use for Estimating Fracture Closure Pressure and Dimensions // Paper SPE-13892-MS pres. at the SPE Low Perm. Gas Reserv. Symp. 1985.
- Patzek T., De A. Lossy Transmission Line Model of Hydrofractured Well Dynamics // J. Pet. Sci. Eng. V. 25(1-2). 2000. P. 59–77.
- Carey M., Mondal S., Sharma M. Analysis of Water Hammer Signatures for Fracture Diagnostics // Paper SPE-174866-MS presented at the SPE Annu. Techn. Conf. and Exh. 2015.
- Wang X., Hovem K., Moos D., Quan Y. Water Hammer Effects on Water Injection Well Performance and Longevity // Paper SPE-112282-MS pres. at the SPE Int. Symp. and Exh. on Form. Damage Control. 2008.
- Ляпидевский В.Ю., Неверов В.В., Кривцов А.М. Математическая модель гидроудара в вертикальной скважине // Сиб. электрон. матем. изв. 2018. № 15. C. 1687–1696. doi: 10.33048/semi.2018.15.140.
- Байков В.А., Булгакова Г.Т., Ильясов А.М., Кашапов Д.В. К оценке геометрических параметров трещины гидроразрыва пласта // Изв. РАН. МЖГ. 2018. № 5. C. 64–75. doi: 10.31857/S056852810001790-0.
- Ильясов А.М., Булгакова Г.Т. Квазиодномерная модель гиперболического типа гидроразрыва пласта // Вестн. Сам. гос. техн. ун-та. Сер. Физ.-мат. науки. 2016. Т. 20. № 4. С. 739–754. DOI: https://doi.org/10.14498/vsgtu1522.
- Башмаков Р.А., Насырова Д.А., Шагапов В.Ш. Собственные колебания жидкости в скважине, сообщающейся с пластом, при наличии трещины ГРП // ПММ. 2022. Т. 86. Вып. 1. С. 88–104. doi: 10.31857/S0032823522010027.
- Башмаков Р.А., Насырова Д.А., Шагапов В.Ш., Хакимова З.Р. Колебания столба жидкости в открытой скважине и сообщающейся с пластом, подверженным ГРП // Вестн. Башкирск. ун-та. 2022. Т. 7. Вып. 4. С. 872–880. doi: 10.33184/bulletin-bsu-2022.4.10.
- Шагапов В.Ш., Башмаков Р.А., Рафикова Г.Р., Мамаева З.З. Затухающие собственные колебания жидкости в скважине, сообщающейся с пластом // ПМТФ. 2020. Т. 61. № 4. С. 5–14. doi: 10.31857/S0032823522010027.
- Аносова Е.П., Нагаева З.М., Шагапов В.Ш. Фильтрация флюида к скважине через радиальную трещину ГРП при постоянном расходе // Изв. РАН. МЖГ. 2023. № 2. С. 90–101. doi: 10.31857/S0568528122600692.
- Голф-Рахт Т.Д. Основы нефтепромысловой геологии и разработки трещиноватых коллекторов / Под ред. А.Г. Ковалёва. М.: Недра, 1986. 608 с.
- Ватсон Г.Н. Теория бесселевых функций. М.: Изд. иностр. лит-ры, 1949. 728 с.
Supplementary files






