Transformation of Polychlorinated Dibenzo-p-Dioxins and Dibenzofurans Congener Profile during Bioaccumulation in Free-Range Chicken Eggs
- Authors: Kudryavtseva A.D.1, Shelepchikov A.A.1, Mir-Kadyrova E.Y.1, Brodsky E.S.1
- 
							Affiliations: 
							- Institute of Ecology and Evolution RAS
 
- Issue: No 1 (2023)
- Pages: 93-102
- Section: ECOLOGY
- URL: https://journal-vniispk.ru/1026-3470/article/view/135508
- DOI: https://doi.org/10.31857/S1026347023010080
- EDN: https://elibrary.ru/IMFQJZ
- ID: 135508
Cite item
Full Text
Abstract
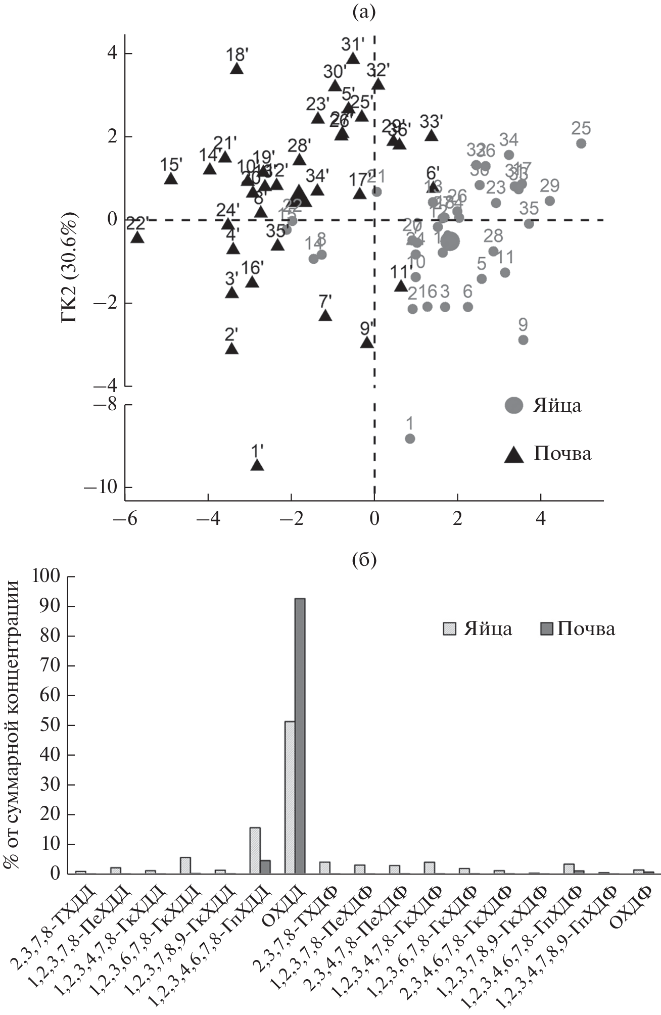
The PCDD/F profiles in free-range chicken eggs and corresponding soils from private households in Vietnam were compared. The main trend in the change in the profile of PCDD/F congeners during bioaccumulation in eggs is the relative increase in the contributions of low-chlorinated congeners and the decrease in the contribution of OCDD. Differences in the profile of hexachlorinated congeners in eggs and soil may indicate additional sources of PCDD/F in eggs other than soil.
About the authors
A. D. Kudryavtseva
Institute of Ecology and Evolution RAS
							Author for correspondence.
							Email: a.kudryavtseva@sevin.ru
				                					                																			                												                								Russia, 119071, Moscow, Leninsky pr., 33						
A. A. Shelepchikov
Institute of Ecology and Evolution RAS
														Email: a.kudryavtseva@sevin.ru
				                					                																			                												                								Russia, 119071, Moscow, Leninsky pr., 33						
E. Ya. Mir-Kadyrova
Institute of Ecology and Evolution RAS
														Email: a.kudryavtseva@sevin.ru
				                					                																			                												                								Russia, 119071, Moscow, Leninsky pr., 33						
E. S. Brodsky
Institute of Ecology and Evolution RAS
														Email: a.kudryavtseva@sevin.ru
				                					                																			                												                								Russia, 119071, Moscow, Leninsky pr., 33						
References
- Бродский Е.С., Шелепчиков А.А., Фешин Д.Б., Румак В.С., Умнова Н.B., Кузнецов А.Н., Чинь Кхак Шау, Нгием Суан Чыонг, Павлов Д.С. Современный уровень диоксинового загрязнения Вьетнама в районе массированного распыления Оранжевого Агента // Докл. Акад. Наук. 2009. Т. 429. № 3. С. 425–429.
- Кудрявцева А.Д., Шелепчиков А.А., Бродский Е.С., Фешин Д.Б., Румак В.С. Cодержание диоксинов в яйцах птиц из различных районов Вьетнама // Вест. Москов. ун-та. Серия 16. Биология. 2015. С. 239–244.
- Окружающая среда и здоровье человека в загрязненных диоксинами регионах Вьетнама / Под ред. Румак В.С, Павлов Д.С., Софронов Г.А. М.: Товарищество научных изданий КМК. 2011. 271 с.
- Фешин Д.Б., Шелепчиков А.А., Бродский Е.C., Калинкевич Г.А., Мир-Кадырова Е.Я., Румак В.С., Павлов Д.С. Современный уровень ПХДД и ПХДФ в плаценте и грудном молоке жителей Вьетнама // Докл. Акад. Наук. 2008. Т. 423. № 4. С. 570–573.
- Aitchison J. The statistical analysis of compositional data. London–N.Y.: Chapman and Hall, 1986. 416 p.
- Andersson M., Nordin E., Jensen P. Domestication effects on foraging strategies in fowl // Appl. Behav. Sci. 2001. V. 72. № 1. P. 51–62.
- Assefa A., Tysklind M., Bignert A., Josefsson S., Wiberg K. Sources of polychlorinated dibenzo-p-dioxins and dibenzofurans to Baltic Sea herring // Chemosphere. 2019. V. 218. P. 493–500.
- Baker J.I., Hites R.A. Is combustion the major source of polychlorinated dibenzo-p-dioxins and dibenzofurans to the environment? A mass balance investigation // Envir. Sci.Tech. 2000. V. 34. № 14. P. 2879–2886.
- Bonn B.A. Polychlorinated dibenzo-p-dioxin and dibenzofuran concentration profiles in sediment and fish tissue of the Willamette basin, Oregon // Envir. Sci.Techn. 1998. V. 32. № 6. P. 729–735.
- Chang S.S., Lee W.J., Holsen T.M., Li H.W., Wang L.C., Chang-Chien G.P. Emissions of polychlorinated-p-dibenzo dioxin, dibenzofurans (PCDD/Fs) and polybrominated diphenyl ethers (PBDEs) from rice straw biomass burning // Atmosph. Envir. 2014. V. 94. P. 573–581.
- De Solla S.R. Exposure, bioaccumulation, metabolism and monitoring of persistent organic pollutants in terrestrial wildlife // Dioxin and Related Compounds. The Handbook of Envir. Chem. V. 49. Springer, Cham, 2015. P. 203–252.
- De Vries M., Kwakkel R.P., Kijlstra A. Dioxins in organic eggs: a review // NJAS – Wageningen J. Life Sciences. 2006. V. 54. № 2. P. 207–221.
- DiGangi J., Petrlík J. The egg report. 2005. P. 1–49. https://doi.org/sites/default/files/documents/ipen_egg_report-en.pdf
- Fiedler H. Dioxins and furans (PCDD/PCDF) The handbook of environmental chemistry V. 3, Part 0 Persistent Organic Pollutants / Ed. Fiedler H. Berlin; Heidelberg: Springer-Verlag, 2003. P. 123–201.
- Greenacre M. Compositional data analysis in practice. Boca Raton: CRC Press, 2018. 122 p.
- Hagenmaier H., Brunner H. Isomer-specific analysis of pentachlorophenol and sodium pentachlorophenate for 2,3,7,8-substituted PCDD and PCDF at sub-ppb levels // Chemosphere. 1987. V. 16. № 8/9. P. 1759–1764.
- Hagenmaier H., Lindig C., She J. Correlation of environmental occurrence of polychlorinated dibenzo-p-dioxins and dibenzofurans with possible sources // Chemosphere. 1994. V. 29. № 9–11. P. 2163–2174.
- Henriksson S., Bjurlid F., Rotander A., Engwall M., Lindström G., Westberg H., Hagberg J. Uptake and bioaccumulation of PCDD/Fs in earthworms after in situ and in vitro exposure to soil from a contaminated sawmill site // Sci. Total Envir. 2017. V. 580. P. 564–571.
- Johnson G.W., Hansen L.G., Coreen Hamilton M., Fowler B., Hermanson M.H. PCB, PCDD and PCDF congener profiles in two types of Aroclor 1254 // Envir. Toxicol. Pharmac. 2008. V. 25. № 2. P. 156–163.
- Kijlstra A., Traag W.A., Hoogenboom L.A.P. Effect of flock size on dioxin levels in eggs from chickens kept outside // Poultry Science. 2007. V. 86. № 9. P. 2042–2048.
- Kudryavtseva A.D, Shelepchikov A.A., Brodsky E.S. Free-range chicken eggs as a bioindicator of dioxin contamination in Vietnam, .including long-term Agent Orange impact // Emerg. Contam. 2020. V. 6. P. 114–123.
- Lemieux P.M, Lutes C.C., Abbott J.A., Aldous K.M. Emissions of polychlorinated dibenzo-p-dioxins and polychlorinated dibenzofurans from the open burning of household waste in barrels // Environ. Sci. Technology. 2000. V. 34. № 3. P. 377–384.
- Liu Y., Chen L., Zhao J., Wei Y., Pan Z., Meng X.Z., Huang Q., Li W. Polycyclic aromatic hydrocarbons in the surface soil of Shanghai, China: concentrations, distribution and sources // Org. Geochemistry. 2010. V. 41. № 4. P. 355–362.
- Lovett A.A., Foxal C.D., Creaser C.S., Chewe D. PCB and PCDD/DF concentrations in egg and poultry meat samples from known urban and rural locations in Wales and England // Chemosphere. 1998. V. 37. № 9–12. P. 1671–1685.
- Megson D., Dack S. Assessing changes to the congener profile of PCDD and PCDF during bioaccumulation in chicken and duck eggs // Proceedings of the 2011 INEF Conference on Environmental Forensics / Ed. Morrison R.D., O’Sullivan G. Cambridge, UK: RSC Publishing, 2011. P. 244–261.
- McKone T.E. Uncertainty and variability in human exposures to soil contaminants through home-grown food: a Monte Carlo assessment // Risk Analysis. 1994. V. 14. № 4. P. 449–463.
- Petreas M.X., Goldman L.R., Hayward D.G., Chang R.R., Flattery J.J., Wiesmüller T., Stephens R.D., Fry D.M., Rappe C., Bergek S., Hjelt M. Biotransfer and bioaccumulation of PCDD/PCDFs from soil: controlled exposure studies of chickens // Chemosphere. 1991. V. 23, № 11–12. P. 1731–1741.
- Pirard C., De Pauw E. Toxicokinetic study of dioxins and furans in laying chickens // Environment International. 2006. V. 32. № 4. P. 466–469.
- Piskorska-Pliszczynska J., Mikolajczyk S., Warenik-Bany M., Maszewski S., Strucinski P. Soil as a source of dioxin contamination in eggs from free-range hens on a Polish farm // Sci. Total Envir. 2014. V. 466–467. P. 447–454.
- Piskorska-Pliszczynska J., Strucinski P., Mikolajczyk S., Maszewski S., Rachubik J., Pajurek M. Pentachlorophenol from an old henhouse as a dioxin source in eggs and related human exposure // Envir. Pollution. 2016. V. 208. P. 404–412.
- R Core Team. R: A language and environment for statistical computing / R foundation for statistical computing. Vienna, Austria, 2018.
- Ross P.S., Jeffries S.J., Yunker M.B., Addison R.F., Ikonomou M.G., Calambokidis J.C. Harbor seals (Phoca Vitulina) in British Columbia, Canada, and Washington state, USA, reveal a combination of local and global polychlorinated biphenyl, dioxin, and furan signals // Envir. Toxicol. Chemistry. 2004. V. 23. № 1. P. 157–165.
- Schütz K.E., Jensen P. Effects of resource allocation on behavioural strategies: a comparison of red junglefowl (Gallus gallus) and two domesticated breeds of poultry // Ethology. 2001. V. 107. № 8. P. 753–765.
- Shields W.J., Saba T., Boehm P.D., Pietari J. Congeners. A forensic analysis // Introduction to environmental forensics / Eds Murphy B.L., Morrison R.D. Academic Press, 2015. P. 347–393.
- Sycheva L.P., Umnova N.V., Kovalenko M.A., Zhurkov V.S., Shelepchikov A.A., Roumak V.S. Dioxins and cytogenetic status of villagers after 40 years of agent Orange application in Vietnam // Chemosphere. 2016. V. 144. P. 1415–1420.
- Yuan Q., Sallach J.B., Rhodes G., Bach A., Crawford R., Li H., Johnston C.T., Teppen B.J., Kaminski N.E., Boyd S.A. Natural organic matter does not diminish the mammalian bioavailability of 2,3,7,8-tetrachlorodibenzo-p-dioxin // Chemosphere. 2021. V. 261. 8 p.
Supplementary files
 
				
			 
					 
						 
						 
						 
						 
				
 
  
  
  Email this article
			Email this article 






