Physicochemical and Sorption Characteristics of the Hermetia illucens Fly Pupal Cuticle
- Authors: Sverguzova S.V.1, Shaikhiev I.G.2, Sapronova Z.A.1, Svyatchenko A.V.1, Ushakova N.A.3
-
Affiliations:
- Belgorod Technological University. V.G. Shukhov
- Kazan National Research Technological University
- Institute of Problems of Ecology and Evolution. A.N. Severtsov Russian Academy of Sciences
- Issue: No 4 (2023)
- Pages: 339-345
- Section: CELL BIOLOGY
- URL: https://journal-vniispk.ru/1026-3470/article/view/135530
- DOI: https://doi.org/10.31857/S1026347022601047
- EDN: https://elibrary.ru/TQCDDH
- ID: 135530
Cite item
Full Text
Abstract
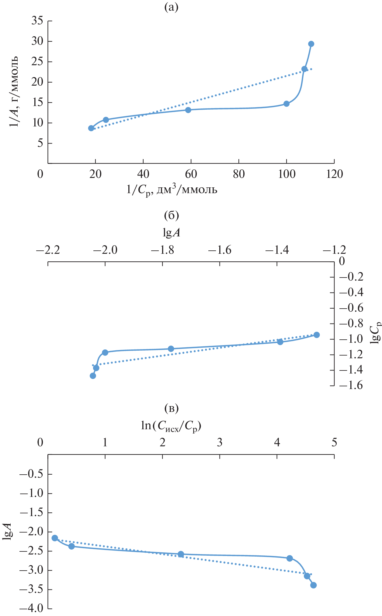
Physicochemical and sorption characteristics of the Black Soldier fly pupal cuticle have been studied. The qualitative and granulometric compositions of chitin material were determined, and the surface microrelief of chitin particles was studied by scanning microscopy. The sorption properties of the material were studied using the methylene blue dye. It was found that the sorption capacity of the material is 0.118 mmol/g, or about 38 mg/g. Mathematical processing of the sorption isotherm using the Langmuir, Freindlich, Dubinin-Radushkevich models showed that the process is best described by the Dubinin-Radushkevich model (R2 = 0.8031), and the sorption process has a physical nature (E = 5.534 kJ/mol).
Keywords
About the authors
S. V. Sverguzova
Belgorod Technological University. V.G. Shukhov
Author for correspondence.
Email: pe@intbel.ru
Russia, 308012, Belgorod, st. Kostyukova, 46
I. G. Shaikhiev
Kazan National Research Technological University
Email: pe@intbel.ru
Russia, 420015, Kazan, st. Karl Marx, 68
Zh. A. Sapronova
Belgorod Technological University. V.G. Shukhov
Email: pe@intbel.ru
Russia, 308012, Belgorod, st. Kostyukova, 46
A. V. Svyatchenko
Belgorod Technological University. V.G. Shukhov
Email: pe@intbel.ru
Russia, 308012, Belgorod, st. Kostyukova, 46
N. A. Ushakova
Institute of Problems of Ecology and Evolution. A.N. Severtsov Russian Academy of Sciences
Email: pe@intbel.ru
Russia, 119071, Moscow, Leninsky pr., 33
References
- Галимова Р.З., Шайхиев И.Г., Алмазова Г.А., Свергузова С.В. Исследование кинетики процессов адсорбции фенола отходами валяльно-войлочного производства // Вестник БГТУ им. В.Г. Шухова. 2016. № 10. С. 179–184.
- Строкова Н.Г., Подкорытова А.В. Современные способы переработки хитинсодержащего сырья // Труды ВНИРО. 2018. Т. 170. С. 124–152
- Хайрова А.Ш., Лопатин С.А., Синицына О.А., Синицын А.П., Варламов В.П. Получение хитина из черной львинки Hermetia illucens путем прямой экстракции // Известия Уфимского научного центра РАН. 2018. № 3(2). С. 84–88. https://doi.org/10.31040/2222-8349-2018-2-3-84-87
- Шайхиев И.Г., Свергузова С.В., Ушакова Н.А., Сапронова Ж.А., Воронина Ю.С. Хитин и хитозан из личинок Hermetia illucens: получение, свойства и перспективы использования // Экономика строительства и природопользования. 2022. № 3(84). С. 138–148.
- Ahmed M.J., Hameed B.H., Hummadi E.H. Review on recent progress in chitosan/chitin-carbonaceous material composites for the adsorption of water pollutants // Carbohydrate polymers. 2020. V. 247. № 116690. P. 1–18. https://doi.org/10.1016/j.carbpol.2020.116690
- Aroa L.-S. Mondragon A.C., Lamas A. Animal-origin prebiotics based on chitin: an alternative for the future? A critical review // Foods. 2020. V. 9. P. 1–20. https://doi.org/10.3390/foods9060782
- Brigode C., Hobbi P., Jafari H. Isolation and physicochemical properties of chitin polymer from insect farm side stream as a new source of renewable biopolymer // J. Cleaner Production. 2020. V. 275. № 122924. P. 1–9. https://doi.org/10.1016/j.jclepro.2020.122924
- Coltelli M.-B., Panariello L., Vannozzi A. Chitin and its derivatives: nanostructured materials from different marine and terrestrial sources // Chemical Engineering Transactions. 2022. V. 93. P. 295–300. https://doi.org/10.3303/CET2293050
- Hahn T., Tafi E., Paul A. Current state of chitin purification and chitosan production from insects // Journal of Chemical Technology & Biotechnology. 2020. V. 95. № 11. P. 2775–2795. https://doi.org/10.1002/jctb.6533
- Jayanegara A., Haryati R.P., Nafisah A. Derivatization of chitin and chitosan from Black soldier fly (Hermetia illucens) and their use as feed additives: An in vitro study // Advanced in Animal and Veterinary Sciences. 2020. V. 8. № 5. P. 472–477. https://doi.org/10.17582/journal.aavs/2020/8.5.472.477
- Kumar M. Insect chitin and chitosan: structure, properties, production, and implementation prospective / M. Kumar, V. Vivekanand, N. Pareek // Natural Materials and Products from Insects: Chemistry and Applications / Eds. Kumar D., Shahid M.: Springer Nature Switzerland AG, 2020. P. 51–66. https://doi.org/10.1007/978-3-030-36610-0_4
- Mohan K., Ganesan A.R., Muralisankar T. Recent insights into the extraction, characterization, and bioactivities of chitin and chitosan from insects // Trends in Food Science & Technology. 2020. V. 105. P. 17–42. https://doi.org/10.1016/j.tifs.2020.08.016
- Monisha C., Loganathan M. Impact of drying methods on the physicochemical properties and nutritional composition of defatted black soldier fly (Hermetia illucens) pre-pupae flour // Journal of Food Processing and Preservation. 2021. P. 1–10. https://doi.org/10.1111/jfpp.16184
- Sirajudheen P., Poovathumkuzhi N.C., Vigneshwaran S. Applications of chitin and chitosan based biomaterials for the adsorptive removal of textile dyes from water – A comprehensive review // Carbohydrate Polymers. 2021. V. 273. № 118604. P. 1–40. https://doi.org/10.1016/j.carbpol.2021.118604
- Soetemans L., Uyttebroek M., Bastiaens L. Characteristics of chitin extracted from black soldier fly in different life stages // International J. Biological Macromolecules. 2020. V. 165. P. 3206–3214. https://doi.org/10.1016/j.ijbiomac.2020.11.041
- Triunfo M., Tafi E., Guarnieri A. Characterization of chitin and chitosan derived from Hermetia illucens, a further step in a circular economy process // Scientific Reports. 2022. V. 12. № 6613. P. 1–17. https://doi.org/10.1038/s41598-022-10423-5
- Vincent J.F.V., Wegst U.G.K. Design and mechanical properties of insect cuticle // Arthropod Structure & Development. 2004 V. 33. P. 187–199. https://doi.org/10.1016/j.asd.2004.05.006
- Wang H., Rehman K., Feng W. Physicochemical structure of chitin in the developing stages of black soldier fly // International J. Biological Macromolecules. 2020. V. 149. P. 901–907. https://doi.org/10.1016/j.ijbiomac.2020.01.293
Supplementary files








