Connectivity of Photosynthesis and Respiration with Content of Chlorophyll Pigments in Plants of Reed Fescue Festuca arundinacea Schreb. Under the Impact of Alkanes and Aromatic Hydrocarbons
- Authors: Tyulkova E.G.1, Savchenko G.E.2, Kabashnikova L.F.2
- 
							Affiliations: 
							- Gomel State Medical University
- Institute of Biophysics and Cell Engineering of the National Academy of Sciences of Belarus
 
- Issue: No 6 (2023)
- Pages: 626-639
- Section: PLANT PHYSIOLOGY
- URL: https://journal-vniispk.ru/1026-3470/article/view/231694
- DOI: https://doi.org/10.31857/S1026347022600480
- EDN: https://elibrary.ru/ESTKYP
- ID: 231694
Cite item
Full Text
Abstract
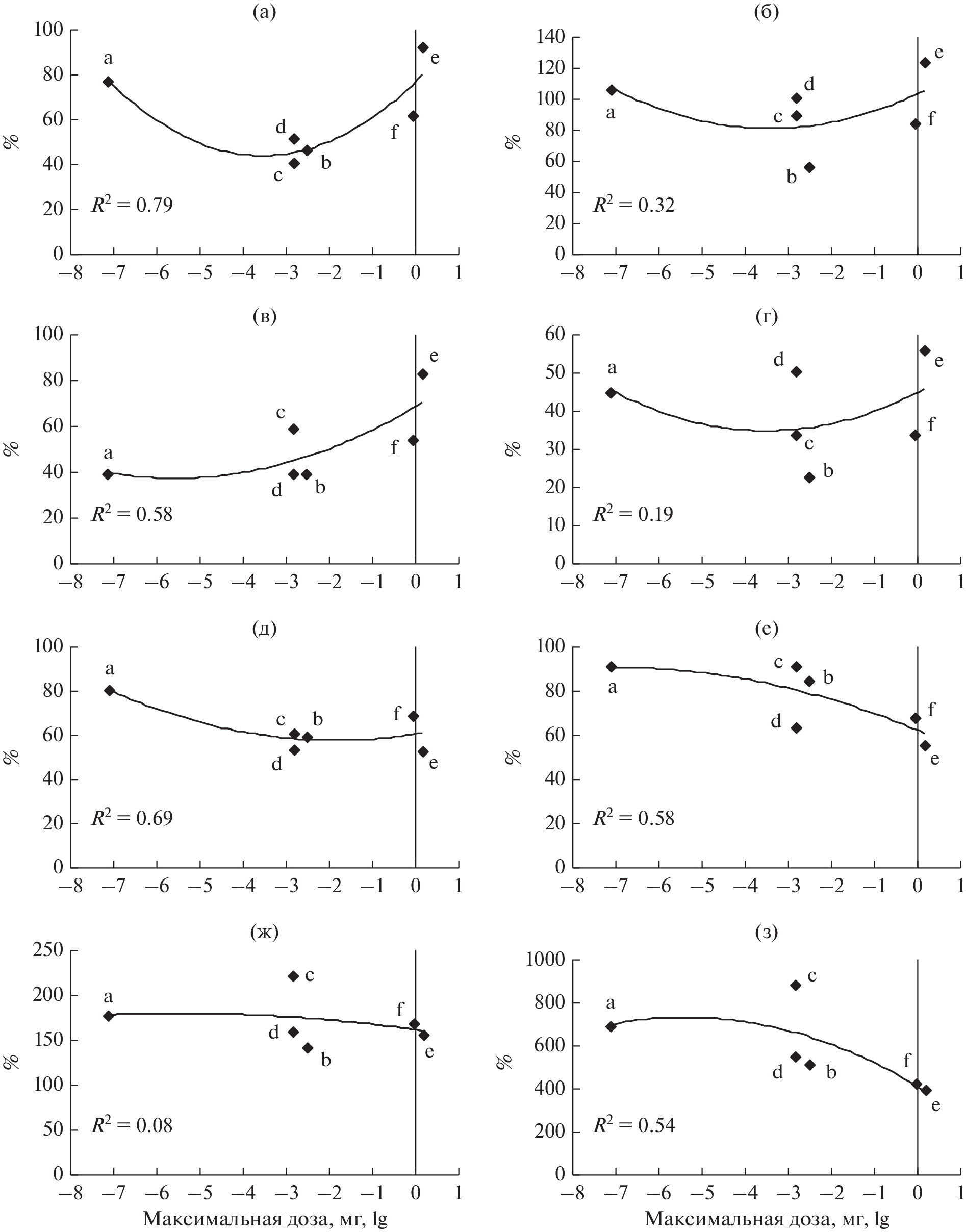
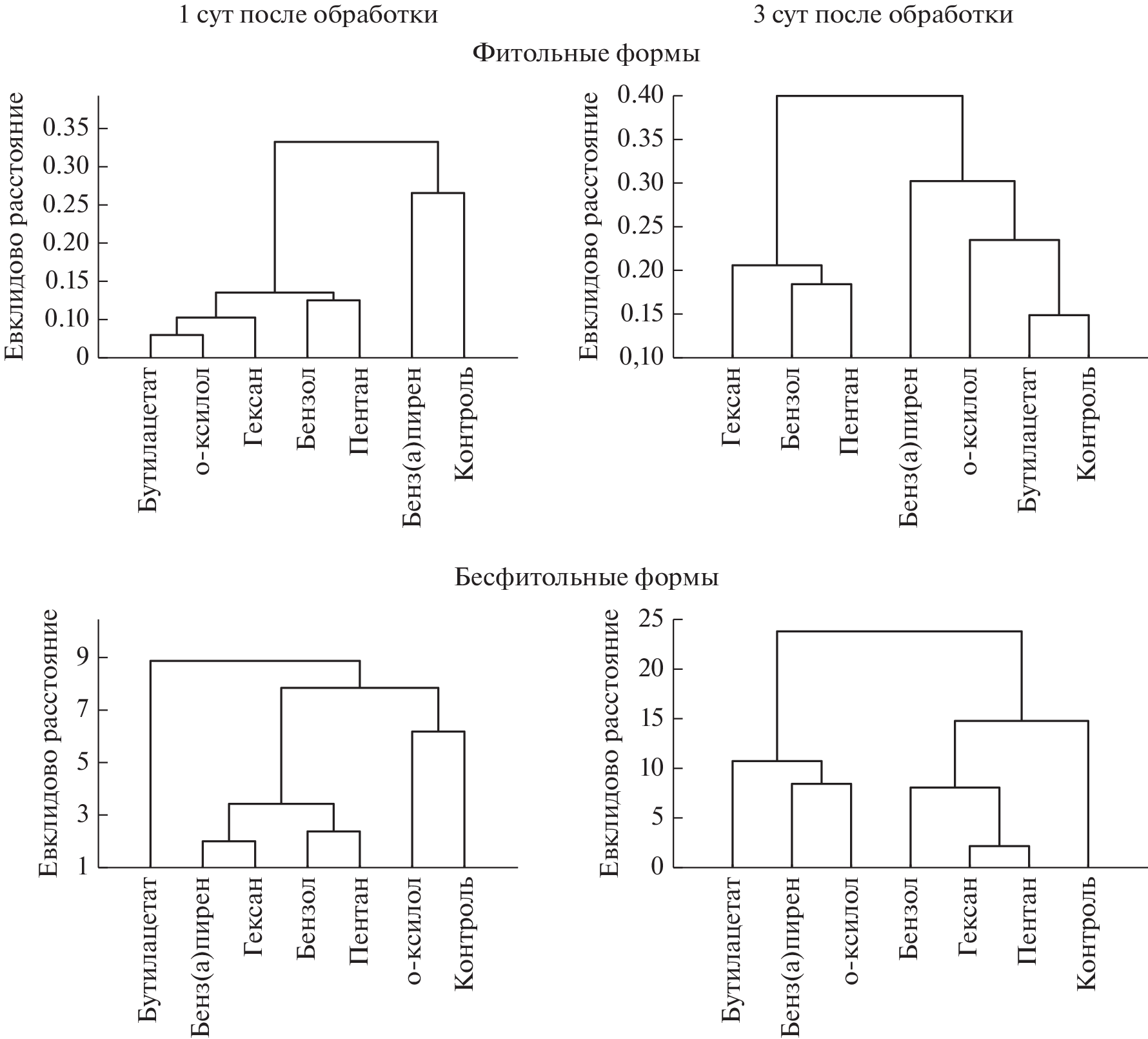
The association of degradation of membrane-bound chlorophyll with changes in dark respiration rates and photosynthesis in Festuca arundinacea Schreb. leaves under the influence of various concentrations of limit and aromatic hydrocarbons present in technogenic emissions was studied. 1 day after intoxication a negative correlation between the content of non-phytol forms of pigments and the rate of photosynthesis was found. Positive correlation was found between the content of: 1) phytol forms and the rate of photosynthesis; 2) non-phytol forms and respiration rate. The relationships between the processes changed after 3 days characterizing the detoxifying and adaptability of plants.
About the authors
E. G. Tyulkova
Gomel State Medical University
							Author for correspondence.
							Email: tut-3@mail.ru
				                					                																			                												                								Belarus, 246000, Gomel, st. Lange, 5						
G. E. Savchenko
Institute of Biophysics and Cell Engineering of the National Academy of Sciences of Belarus
														Email: tut-3@mail.ru
				                					                																			                												                								Belarus, 220072, Minsk, st. Akademicheskaya, 27						
L. F. Kabashnikova
Institute of Biophysics and Cell Engineering of the National Academy of Sciences of Belarus
														Email: tut-3@mail.ru
				                					                																			                												                								Belarus, 220072, Minsk, st. Akademicheskaya, 27						
References
- Аверина Н.Г., Емельянова А.В., Щербаков Р.А., Козел Н.В., Обуховская Л.В., Усатов А.В. Фотосинтез и скорость поглощения кислорода в растениях озимого рапса, обработанных 5-аминолевулиновой кислотой // Физиология растений. 2019. Т. 66. № 6. С. 461–472.
- Акиншина Н.Г., Азизов А.А., Карасева Т.А., Клозе Э. Новые возможности в оценке состояния растений // Сибирский экологический журн. 2008. Т. 2. С. 249.
- Гудвин Т., Мерсер Э. Введение в биохимию растений. Т. 1. М.: Мир, 1986. 393 с.
- Икконен Е.Н., Шибаева Т.Г., Шерудило Е.Г., Титов А.Ф. Реакция дыхания проростков озимой пшеницы на продолжительное и кратковременное ежесуточное понижение температуры // Физиология растений. 2020. С. 312–318.
- Кабашникова Л.Ф. Фотосинтетический аппарат и потенциал продуктивности хлебных злаков. Минск: Беларус. навука, 2011. 327 с.
- Корнеев Д.Ю. Информационные возможности метода флуоресценции хлорофилла. К.: Альтерпресс, 2002. 188 с.
- Ланкин А.В. Механизмы токсического действия полициклических ароматических углеводородов на фотосинтетический аппарат: Автореф. дис. … канд. биол. наук. М., 2016. 22 с.
- Постановление М-ва здравоохранения Респ. Беларусь, 08.11.2016 г., № 113 // [Электронный ресурс]. Режим доступа: http://pravo.by_1485896400.pdf. – Дата доступа: 22.03.2022.
- Руководство по эксплуатации PlantVital 5030. Штраусберг: INNO-Concept GmbH, 2008. 18 с.
- Тюлькова Е.Г., Кабашникова Л.Ф. Влияние летучих органических соединений на перекисное окисление липидов овсяницы тростниковой Festuca arundinacea Schreb. // Весцi НАН Беларусi. Серыя бiял. навук. 2019. № 4. С. 411–412.
- Тюлькова Е.Г., Савченко Г.Е., Кабашникова Л.Ф. Использование амплитудно-импульсной модулированной флуориметрии для оценки действия летучих органических соединений и бенз(а)пирена на функциональную активность фотосистемы II в листьях овсяницы тростниковой Festuca arundinacea Schreb. // Журн. прикладной спектроскопии. 2021. № 5. С. 767–777.
- Тюлькова Е.Г., Савченко Г.Е., Кабашникова Л.Ф. Деградация хлорофилла в листьях овсяницы тростниковой Festuca arundinacea при действии летучих органических соединений и бенз(а)пирена // Известия РАН. Серия биологическая. 2022. № 4. С. 363–373.
- Шлык А.А., Малашевич А.В. Ускорение образования хлорофилла b и лабилизация хлорофилла a при гидролизе белков хлоропластов трипсином // Доклады АН СССР. 1970. Т. 194. № 3. С. 715–718.
- Carvalho R., Szlafsztein C.F. Urban vegetation loss and ecosystem services: The influence on climate regulation and noise and air pollution // Environ. Pollut. 2019. V. 245. P. 844–852.
- Hansch C., Leo A., Hoekman D. Exploring QSAR – Hydrophobic, Electronic and Steric Constants. Washington, DC: American Chemical Society, 1995. 348 p.
- Harpaz-Saad S., Azoulay T., Arazi T., Ben-Yaakov E., Mett A., Shiboleth Y.M., Hörtensteiner S., Gidoni D., Amit Gal-On, Goldschmidt E.E., Eyal Y. Chlorophyllase is a rate-limiting enzyme in chlorophyll catabolism and is post-translationally regulated // Plant Cell. 2007. V. 19. P. 1007–1022.
- Haynes W.M., Lide D.R., Bruno T.J. CRC Handbook of Chemistry and Physics. 95th Edition / CRC Press LLC, Boca Raton: FL, 2014–2015. 2666 p.
- Horvath I., Glatz A., Varvasovszki, Vigh L. Membrane physical state controls the signaling mechanism of the heat shock response in Synechocystis PCC 6803: Identification of hsp17 as a “fluidity gene” // Proc Natl Acad Sci USA. 1998. V. 95 (7). P. 3513–3518.
- Huffer S., Clark M.E., Ning J.C., Blanch H.W., Clark D.S. Role of alcohols in growth, lipid composition, and membrane fluidity of yeasts, bacteria, and archaea // Appl. Environ. Microbiol. 2011. V. 77. P. 6400–6408.
- Isken S., Santos P., JAM de Bont. Effect of solvent adaptation on the antibiotic resistance in Pseudomonas putida S12 // Appl. Microbiol. Biotechnol. 1997. V. 48 (5). P. 642–647.
- Jacotot A., Marchand C., Gensous S., Allenbach M. Effects of elevated atmospheric CO2 and increased tidal flooding on leaf gas-exchange parameters of two common mangrove species: Avicennia marina and Rhizophora stylosa // Photosynthesis Research. 2018. V. 138. P. 249–260.
- Kabelitz N., Santos P.M., Heipieper H.J. Effect of aliphatic alcohols on growth and degree of saturation of membrane lipids in Acinetobacter calcoaceticus // FEMS Microbiol. Lett. 2003. V. 220. P. 223–227.
- Kanchan J., Bhatia V.S., Govind, Pandey G.P. Impact of elevated temperatures on specific leaf weight, stomatal density, photosynthesis and chlorophyll fluorescence in soybean // Photosynthesis Research. 2017. V. 131. P. 333–350.
- Kreslavski V.D., Lankin A.V., Vasilyeva G.K., Luybimov V.Yu., Semenova G.N., Schmitt F.-J., Friedrich T., Allakhverdiev S.I. Effects of polyaromatic hydrocarbons on photosystem II activity in pea leaves // Plant Physiol. Biochem. 2014. V. 81. P. 135–142.
- Lichenthaler H.K., Buschmann C. Chlorophylls and carotenoids: measurement and characterization by UV-VIS spectroscopy // Current Protocols in Food Analytical Chemistry. 2001. V. 1 (1). P. F4.3.1–F4.3.8.
- Miao Qi, Xiaodi Liu, Yibo Li, He Song, Zuotian Yin, Feng Zhang, Qijin He, Zhenzhu Xu, Guangsheng Zhou. Photosynthetic resistance and resilience under drought, flooding and rewatering in maize plants // Photosynthesis Research. 2021. V. 148. P. 1–15.
- Mironov K., Shumskaya M., Sidorov R.A., Trofimova M.S., Los D.A. Membrane physical state and stress regulation in Synechocystis: fluidizing alcohols repress fatty acid desaturation // The Plant Journal. 2018. V. 96. P. 1007–1017.
- Mosaddegh M.H., Jafarian A., Ghasemi A., Mosaddegh A. Phytoremediation of benzene, toluene, ethylbenzene and xylene contaminated air by D. deremensis and O. microdasys plants // J. Environ. Health Sci. and Eng. 2014. № 12. P. 39–52.
- Ramazan S., Bhat H.A., Zargar M.A., Ahmad P., Riffat J. Combined gas exchange characteristics, chlorophyll fluorescence and response curves as selection traits for temperature tolerance in maize genotypes // Photosynthesis Research. 2021. V. 150. P. 213–225.
- Singh S.K., Reddy V.R. Response of carbon assimilation and chlorophyll fluorescence to soybean leaf phosphorus across CO2: Alternative electron sink, nutrient efficiency and critical concentration // J. Photochem. Photobiol. B: Biology. 2015. V. 151. P. 276–284.
- Vigh L., Maresca B., Harwood J.L. Does the membrane’s physical state control the expression of heat shock and other genes? // Trends in biochemical sciences. 1998. V. 23. P. 369–374.
- Ward J.H. Hierarchical grouping to optimize an objective function // J. of the American Statistical Association, 1963. 236 p.
- Zaouali W., Mahmoudi H., Salah I., Mejri F., Casabianca H., Hosni K., Ouerghi Z. Copper-induced changes in growth, photosynthesis, antioxidative system activities and lipid metabolism of cilantro (Coriandrum sativum L.) // Biologia. 2020. V. 75. P. 367–380.
Supplementary files
 
				
			 
					 
						 
						 
						 
						 
				
 
  
  
  Email this article
			Email this article 









