Kinetics of dietary fibers in a fat sand rat: importance of the digestive tract isolating structures and food quality
- Authors: Naumova E.I.1, Zharova G.K.1, Chistova T.Y.1
- 
							Affiliations: 
							- Severtsov Institute of Ecology and Evolution, Russian Academy of Sciences
 
- Issue: No 4 (2024)
- Pages: 501-511
- Section: ФИЗИОЛОГИЯ ЖИВОТНЫХ И ЧЕЛОВЕКА
- URL: https://journal-vniispk.ru/1026-3470/article/view/267415
- DOI: https://doi.org/10.31857/S1026347024040075
- EDN: https://elibrary.ru/VHONPC
- ID: 267415
Cite item
Full Text
Abstract
The pass of feed through the digestive tract in a herbivorous rodent with a single-chamber gemiglandular stomach, the fat sand rat Psammomys obesus, was studied by multiple marking of the food with inert plastic markers. The total mean retention time of markers in the digestive tract (DT), as well as in the stomach and caecum separately, was determined. The peculiarities of the digesta kinetics depending on the morphology of the digestive tract, diet and the time of markers intake were clarified. The total time for removing markers from DT in the fat sand rat reaches 36 hours. The mean retention time of markers in DT was determined as a whole (17–18 hours), as well as separately in the forestomach (7–9 hours) and caecum (7–12 hours). The uneven passage of feed has been revealed, which is considered as an important mechanism for maximizing the extraction of nutrients from plants, including microbial fermentation of structural carbohydrates of the food.
Full Text
Продвижение корма по пищеварительному тракту (ПТ) – одна из важнейших характеристик стратегии питания и пищеварения фитофагов, от которой зависит полнота и способ обеспечения организма питательными веществами. Скорость прохождения корма изучали на протяжении многих лет у ряда видов грызунов относящихся к Myomorpha и Caviomorpha (Kostelecka-Myrcha, Myrcha, 1964; Sakaguchi et al., 1987; Sakaguchi, Ohmura, 1992; Hume et al., 1993; Pei et al., 2001 a, b; Clauss et al., 2007; Hagen et al., 2018). Основной акцент в этих исследованиях сделан на выяснении различий в продвижении жидкой и твердой фракций корма с применением методики, основанной на введении в корм животного маркированных фрагментов структурных углеводов и маркера жидкой фракции корма (Warner, 1981). На основании интенсивности выведения маркеров с экскрементами метод позволяет определить полный период и среднее время задержки в желудочно-кишечном тракте твердой и жидкой фракций корма. Анализ динамики выведения маркеров при определенных приемах расчета позволяет также обнаружить факты копрофагии и ее ритмику (Clauss et al., 2007), и выяснить роль сепараторного механизма ободочной кишки в кинетике содержимого (Hagen et al., 2018). Однако для выяснения динамики прохождения корма по ПТ и оценки возможной длительности ферментации корма отдельно в преджелудке и слепой кишке при однократном мечении корма требуется значительное увеличение количества экспериментальных животных для их последовательного умерщвления и вскрытия на разных стадиях продвижения корма, как это было выполнено на примере полевки Брандта (Pei et al., 2001a). Во всех цитированных публикациях показана важная роль жидкой фракции корма, содержащей бактерии и мелкие фрагменты растительных полимеров, которая служит для обогащения корма низкой питательной ценности. Однако кинетику труднопереваримых волокон и их значение в питании мелких грызунов метод проследить не позволяет. Для этой цели мы использовали метод многократного введения инертных пластиковых маркеров (Наумова, Кучерук, 1996; Жарова и др., 2002, 2010; Наумова и др., 2007).
Мелкие пластиковые частицы определенного цвета, поглощенные животными с приманкой, перемешиваются с кормом, обозначая его локализацию. Выполненная по окончании опыта количественная оценка маркеров в содержимом пищеварительного тракта вскрытых животных позволяет воспроизвести кинетику потребленного корма. Итоговый суммарный анализ распределения в пищеварительном тракте инертных маркеров разного цвета, поглощенных через определенные промежутки времени, визуализирует локализацию последовательно съеденных порций корма. Метод многократного введения твердых пластиковых маркеров позволяет существенно сократить количество экспериментальных животных.
Ранее при использовании этого метода было выяснено, что у травоядных грызунов с двухкамерным полужелезистым желудком корм застаивается не только в слепой кишке, но и может задерживаться в преджелудке, что обусловлено возможностью бактериальной ферментации в этом органе (Варшавский и др., 2004, 2014; Наумова и др. 2007; Жарова и др., 2010). Задача настоящей работы – изучение кинетики структурной фракции корма у грызунов с однокамерным полужелезистым желудком. На примере зеленоядной песчанки Psammomys obesus мы рассмотрели характер продвижения по ПТ разных кормовых объектов и длительность их ферментации отдельно в преджелудке и слепой кишке.
МАТЕРИАЛЫ И МЕТОДЫ
Дневные песчанки Psammomys obesus – исключительно зеленоядные грызуны, которые характеризуется высокой переваримостью сухого вещества и клетчатковых элементов растений, что представляет особый интерес для исследования кинетики структурных компонентов корма.
Проведено 4 серии опытов с разными кормовыми рационами. В каждой экспериментальной группе были задействованы рожденные в неволе грызуны – по 6 взрослых не размножающихся песчанок обоих полов массой тела от 150 до 200 г. Работа выполнена в лаборатории университета им. Бен-Гуриона. В качестве монорационов использовали следующие виды вегетирующих растений, распространенных в местах обитания дневных песчанок: Atriplex halimus, Anabasis articulata, Sueda monoica, Salsola tetrandra. Перечисленные травы различались по содержанию питательных веществ, что отразилось на переваримости грызунами сухого вещества корма, колебавшейся от 59% при потреблении A. articulata до 70% при потреблении S. tetrandra (Degen et al., 2000, Naumova et al. 2019).
Для детализации путей продвижения твердых фракций корма мы применили семикратное мечение корма инертными маркерами. В качестве инертного маркера волокнистой фракции корма использовали кусочки тонкой пластиковой пленки семи разных оттенков под номерами 1–7 (в данных опытах – красного, синего, желтого, зеленого, фиолетового, белого, серебристого), которые измельчали на мелкие фрагменты длиной не более 15 мм. Небольшую дозу стружек смешивали с хорошо поедаемой песчанками приманкой. Масса приманки не превышала 0.01 г. Время поедания и длительность экспозиции маркеров в каждой экспериментальной группе песчанок приведено в табл. 1. После скармливания приманки грызунов пересаживали в чистые клетки во избежание прилипания маркера к лапкам и экскрементам.
Таблица 1. График поступления маркеров в ПТ песчанок разных групп
| Кормовой рацион | № маркера | Время поедания приманки | Длительность экспозиции маркера | 
| Atriplex halimus | 1 | 8:00 | 36 | 
| 2 | 14:00 | 30 | |
| 3 | 20:00 | 24 | |
| 4 | 9:00 | 11 | |
| 5 | 13:00 | 7 | |
| 6 | 16:00 | 4 | |
| 7 | 18:00 | 2 | |
| Sueda monoica | 1 | 8:00 | 36 | 
| 2 | 14:00 | 30 | |
| 3 | 20:30 | 23 | |
| 4 | 9:30 | 10 | |
| 5 | 13:30 | 6 | |
| 6 | 16:00 | 4 | |
| Salsola tetrandra | 1 | 12:00 | 33 | 
| 2 | 18:00 | 27 | |
| 3 | 0:00 | 21 | |
| 4 | 9:00 | 12 | |
| 5 | 12:00 | 9 | |
| 6 | 15:00 | 6 | |
| 7 | 18:00 | 3 | |
| Anabasis articulata | 1 | 12:00 | 33 | 
| 2 | 18:00 | 27 | |
| 3 | 0:00 | 21 | |
| 4 | 9:00 | 12 | |
| 5 | 12:00 | 9 | |
| 6 | 15:00 | 6 | |
| 7 | 18:00 | 3 | 
В конце опыта зверьков умерщвляли, извлекали содержимое отдельно из каждого органа ПТ (преджелудка, железистой части желудка, тонкого кишечника, слепой кишки, проксимальной и дистальной частей ободочной кишки), и изучали распределение по ПТ поглощенных в разное время маркеров, которые легко идентифицировали по цвету. Для количественной оценки распределения маркеров в желудочно-кишечном тракте и их визуализации содержимое каждого органа размывали на ситах; образцы промытого содержимого высушивали и в каждом образце подсчитывали количество частиц маркеров каждого цвета. Количество всех поступивших в ПТ частиц маркеров одного цвета (выведенных с экскрементами и оставшихся в полости) принимали за 100%. Животные каждой группы относительно дружно поедали приманку, разброс во времени поедания составил 5–7 мин.
Среднее время задержки корма (MRT) в ПТ рассчитывали по формуле (Warner, 1981):
MRT = Σni=1miti/Σni=1mi
где mi – количество частиц маркера в экскрементах, выделенных за время ti после поедания маркированной приманки, n – количество дефекаций за время полного выведения маркера. MRT рассчитывали отдельно по каждому маркеру.
Аналогично расcчитывали время задержки корма в желудке и слепой кишке. При этом за mi принимали количество фрагментов маркера, прошедшее через данный орган (то есть, обнаруженных в ПТ позади желудка или слепой кишки и экскрементах). За ti принимали время экспозиции маркера в желудке или слепой кишке.
Для расчета MRT учитывали не все этапы маркировки. Время экспозиции первых и последних маркеров либо превысили время прохождения по ПТ (№ 1 и № 2) и успели выйти задолго до вскрытия животных, либо не охватили весь цикл пищеварения (№ 6 и № 7). Расчеты были выполнены по результатам распределения тех маркеров, которые были максимально выведены (от 85 до 98%) за более короткое время (при потреблении A. halimus – маркер № 3, S. monoica – № 2 и 3, A. articulata и S. tetrandra – № 1 и 2). Маркер № 1 в группе песчанок, потреблявших A. halimus и S. monoica, не учитывали, поскольку поступивший в ПТ позже маркер № 2 уже почти вышел к моменту вскрытия, а время экспозиции маркера № 1 зафиксировать не удалось.
Обобщенные диаграммы кинетики содержимого в ПТ по отдельным органам и в экскрементах построены на основании данных о распределении маркеров в конце опыта у умерщвленных животных.
РЕЗУЛЬТАТЫ ИССЛЕДОВАНИЯ
Длительность всего эксперимента составила 1.5 суток, в течение которых грызуны получали маркированные приманки в дневное время. Маркировка корма, проведенная более чем за сутки до окончания опыта, была предназначена для определения длительности полного цикла пищеварения и визуализации движения корма в каудальных отделах кишечника. Цель маркировок корма с более короткой экспозицией маркеров (12 ч и менее), заключалась в выяснении циркуляции корма в начальных отделах ПТ. Поступательное движение корма анализировали, начиная с малых экспозиций маркеров в ПТ по мере увеличения длительности нахождения содержимого в ПТ.
Продвижение маркированного корма по отдельным органам
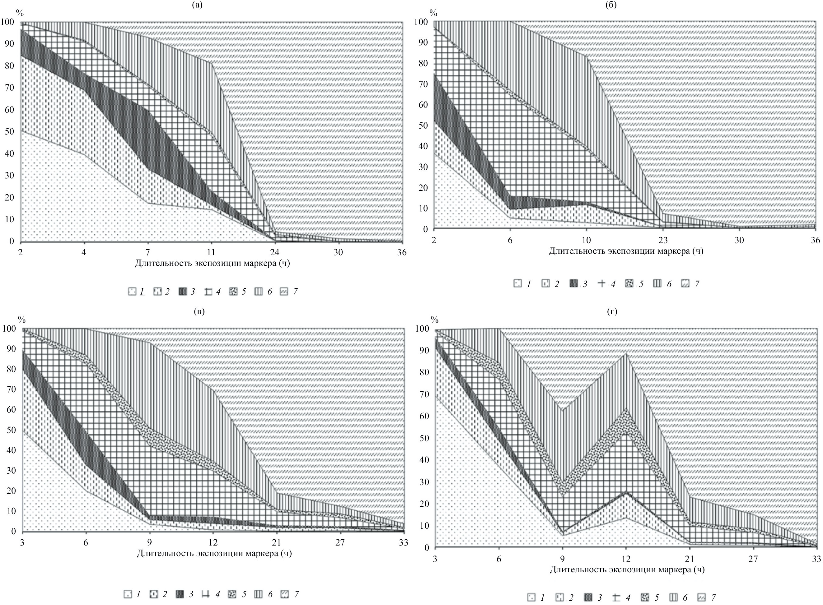
Желудок. Через 2–4 ч после потребления приманки из желудка у грызунов, содержавшихся на разных кормах, эвакуировалось от 10 до 50% маркера (рис. 1), причем большая часть оставшихся частиц маркеров задержалась в преджелудке. В группах, потреблявших A. halimus и S. monoica, через 4 ч из преджелудка было выведено около 60% маркера. При 6–7-часовой экспозиции маркера его содержание в преджелудке заметно уменьшилось (в разных группах от 5 до 37%). При более длительной экспозиции (9–12 ч) отмечены колебания содержания маркера: в некоторых случаях, например, у песчанок, потреблявших A. articulata, наблюдалось увеличение его количества с течением времени (13.5% при экспозиции 12 ч по сравнению с 5% при экспозиции 9 ч). Окончательное выведение из желудка было зарегистрировано через 21 ч пребывания маркера в пищеварительном тракте.
Рис. 1. Содержание маркеров с разной длительностью экспозиции в каждом органе ПТ по результатам вскрытия в группах песчанок, потреблявших разные корма: а – A. halimus, б – S. monoica, в – S. tetrandra, г – A. articulata.
Тонкий отдел кишечника. Через 2 ч после поедания маркера уже началось его поступление в тонкий кишечник. В этом отделе корм не застаивался, поэтому большого количества маркеров здесь не наблюдалось, их содержание не достигало 30% и было синхронизировано с темпами их эвакуации из желудка в целом.
Слепая кишка. В это же время – через 2 ч – в большинстве случаев отмечено появление маркеров в слепой кишке. В этом отделе маркеры могли накапливаться и задерживаться в небольшом количестве до 24 ч; в отдельных случаях их содержание через сутки составляло около 7% (при потреблении A. articulata и S. tetrandra). Максимального содержания в слепой кишке маркеры достигали через 6 ч при потреблении песчанками S. monoica (около 50%) и через 9–12 ч при питании остальными травами (около 25%). Концентрация разных маркеров в слепой кишке не соответствует последовательности их поступления и экспозиции в ПТ.
Ободочная кишка. Проксимальная часть ободочной кишки, как правило, содержала очень мало маркеров или вовсе не содержала. Максимального значения (до 8%) эта цифра достигла при 12-часовой экспозиции, но единичные фрагменты могли оставаться в этом отделе более суток. В дистальной ободочной кишке, где начинают формироваться экскременты, наивысшее содержание маркеров 30% отмечено по истечении 9–12 ч их нахождения в пищеварительном тракте, и сходит на нет по истечении суток.
Экскременты. В экскрементах первые частицы маркеров появились при 7–9-часовой экспозиции, а основное их выведение закончилось по истечении суток. Через 30–36 ч после поедания грызунами приманки в пищеварительном тракте не осталось маркеров, почти 100% маркеров было локализовано в экскрементах.
Различия в динамике прохождения разных кормов
Анализ распределения маркеров, поступивших в желудок в разное время суток через короткие промежутки времени (2–4 ч), выявил ряд заметных различия между песчанками, получавшими разные корма. В целом следует отметить быстрое поступление части маркеров в слепую кишку (через 3–4 ч) и длительную задержку (до 11–12 ч) части маркированного корма в преджелудке. Быстрее всего корм начинал выводиться из преджелудка при питании животных A. halimus (около 50% за 2 ч). У песчанок, потреблявших A. articulata через 3 ч в преджелудке задерживалось до 70% маркера. Самое раннее поступление содержимого в слепую кишку наблюдалось в группах песчанок, потреблявших A. halimus и S. tetrandra. Первое появление маркеров в экскрементах было отмечено через 7 ч у животных, потреблявших A. halimus. Активное выведение с экскрементами зарегистрировано через 9 ч после поступления маркера в ПТ во всех группах песчанок, причем самое интенсивное при питании A. articulata.
Ситуация, отраженная на диаграммах, подтверждается расчетами задержки корма во всем ПТ и отдельно в желудке и слепой кишке (табл. 2). По этим показателям самый длинный период задержки корма характерен для грызунов, потреблявших A. articulata. Самый короткий период ферментации в преджелудке отмечен для животных, содержавшихся на рационе, состоящем из S. monoica, а и слепой кишке – из A. halimus.
Таблица 2. Полный период выведения и среднее время задержки корма
| Кормовой рацион | MRT | ||
| ПТ | Желудок | Слепая кишка | |
| Atriplex halimus | 17.11 | 7.28 | 7.27 | 
| Sueda monoica | 17.52 | 6.59 | 8.06 | 
| Salsola tetrandra | 17.0 | 7.41 | 10.42 | 
| Anabasis articulata | 18.36 | 8.71 | 12,.37 | 
Различия в прохождении маркеров, поступивших в разное время суток
При рассмотрении диаграммы (рис. 1) видно, что очередность продвижения маркеров, соответствующая порядку их поступления в ПТ наблюдалась не всегда. При питании A. articulata маркер, пролежавший в ПТ 9 ч, начал выводиться из желудка и кишечника раньше, чем находившийся в содержимом 12 ч. В слепой кишке при потреблении A. halimus и A. articulata преобладало содержание маркеров с экспозицией 11–12 ч, при питании S. monoica и S. tetrandra – с экспозицией 6–9 ч. Время полного выведения первого маркера, находившегося в ПТ самое длительное время, различается у песчанок, потреблявших разные травы. У животных, питавшихся A. halimus и S. monoica, более 90% маркеров были выведены через 24 ч. A. articulata и S. tetrandra задерживались в ПТ на 30–33 ч.
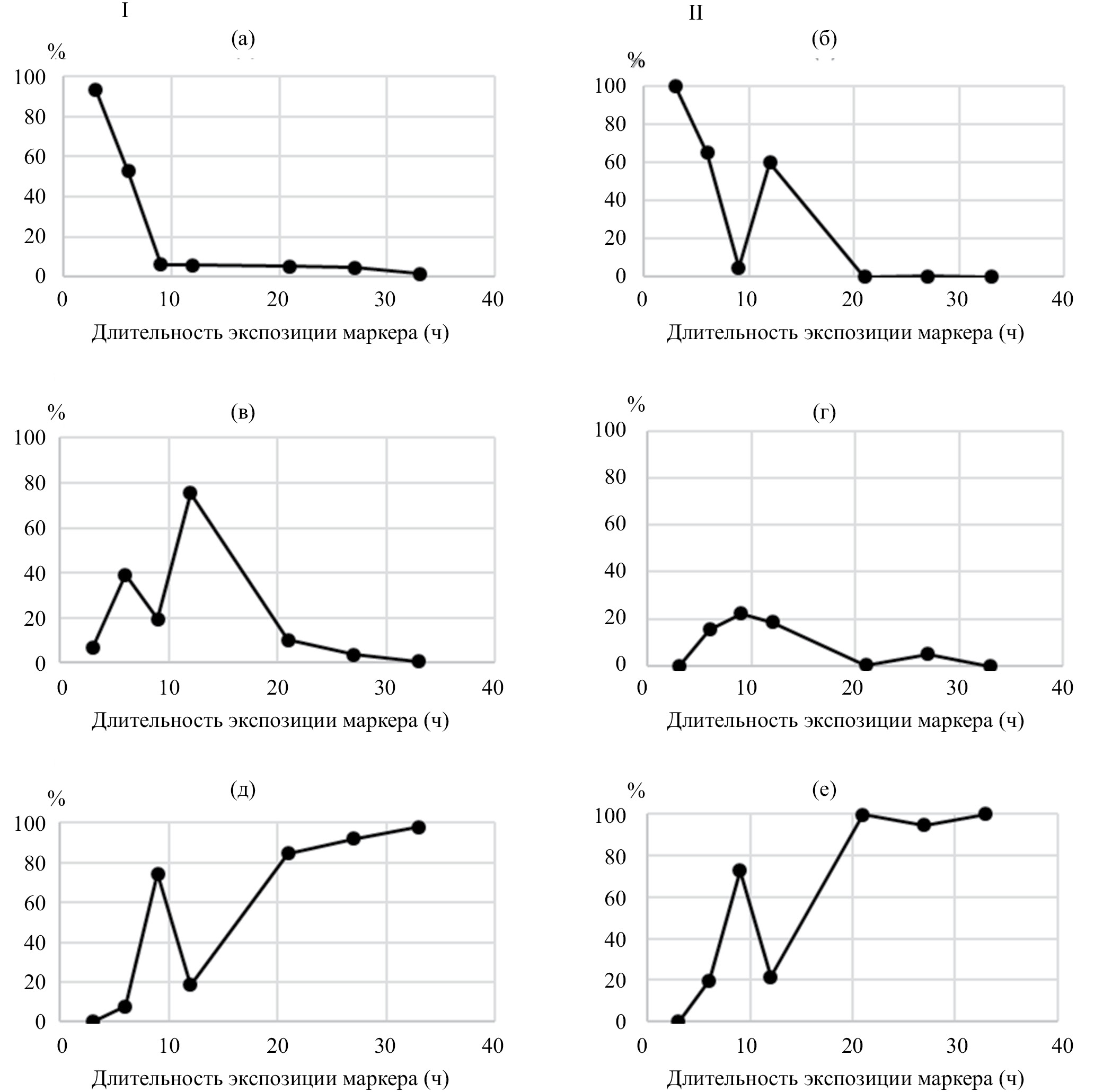
Среди зверьков одной и той же группы отмечены случаи разных темпов выведения маркеров из желудка, слепой кишки и с экскрементами. Особенно заметные различия проявились между экспериментальными животными при питании A. articulata (рис. 2).
Рис. 2. Индивидуальные различия во временной динамике выведения меченого корма при потреблении A. articulata. I, II – разные особи; а, б – желудок; в, г – слепая кишка; д, е – экскременты.
ОБСУЖДЕНИЕ РЕЗУЛЬТАТОВ
Данные по распределению маркеров, объединенные в диаграммы (рис. 3), отражают весь процесс продвижения корма, потребленного животными за период 33–36 ч. Детальный анализ распределения маркеров позволил визуализировать динамику прохождения корма через отдельные органы пищеварительного тракта.
Рис. 3. Прохождение кормов: A. halimus (а), S. monoica (б), S. tetrandra (в), A. articulata (г) по отдельным органам ПТ: 1 – преджелудок, 2 – железистый желудок, 3 – тонкий кишечник, 4 – слепая кишка, 5 – проксимальная ободочная кишка, 6 – дистальная ободочная кишка, 7 – экскременты.
Влияние пищевой специализации на прохождение корма в ПТ песчанок
Длительность задержки корма в преджелудке и слепой кишке служит важным функциональным показателем значения в ферментации корма. Среднее время задержки корма в ферментативных камерах различается в группах песчанок, получавших разные корма (табл. 2). В преджелудке у дневной песчанки оно колебалось от 6.6 до 8.7 ч, а в слепой кишке от 7.3 до 12.4 ч в зависимости от качества потребляемого корма. Более длительная задержка значительной части маркеров в этих органах при содержании грызунов на A. articulata может быть обусловлена повышенным содержанием в этом растении лигноцеллюлозных компонентов. Это обстоятельство оказалось также сопряжено с меньшим уровнем потребления и низкой переваримостью корма (Naumova et al., 2021). У дневной песчанки в преджелудке и слепой кишке ранее была выявлена высокая эндоглюканазная активность (Наумова и др., 2021), которая обеспечивает доступ к использованию клетчатки в качестве нутриента. Уровень активности эндоглюканазы у дневной песчанки сопоставим с уровнем активности этого фермента у зеленоядных полевок.
Однако следует учитывать, что время задержки потребленного корма в желудке и слепой кишке может быть замаскировано активизацией копрофагии. Особенно четко различия в кинетике содержимого ПТ проявляются при сравнении дневной песчанки с семеноядными видами – тамарисковой (Meriones tamariscinus) и когтистой (Meriones unguiculatus) песчанками (Pei et al., 2001b; Жарова и др., 2010). Полный период выведения концентрированных кормов у песчанок рода Meriones длится дольше, а время остаточного выведения содержимого из ферментативных камер сильнее растянуто. Это объясняется тем, что на длительное время у семеноядных песчанок в ПТ задерживается лишь небольшая часть маркированного корма – менее 30% маркеров в преджелудке, и менее 20% в слепой кишке. Что касается клетчатковых компонентов корма, то в силу их низкого содержания в семенных кормах они не служат важным нутриентом, а большая их часть выводится быстро из ПТ.
Неравномерность прохождения корма
Соответствует ли движение маркеров в ПТ ритмике поедания корма? При равномерном поступательном продвижении корма содержание маркеров в каждом органе должно последовательно уменьшаться с увеличением времени экспозиции маркеров в содержимом. Количественное соотношение частиц маркеров, потребленных песчанками в разное время, выявило их неравномерное прохождение по ПТ (рис. 1). Последовательность их поступательного продвижения в некоторых случаях нарушается из-за возможности застаивания части корма в преджедудке и слепой кишке. Эту функцию обеспечивает структура пищеварительного тракта песчанок (Наумова и др., 2011; Naumova et al., 2019). Частично изолированный с помощью угловой и пограничной складок преджелудок, объемная слепая кишка, снабженная хорошо развитым илеоцекальным клапаном, и керкринговы складки ободочной кишки позволяют застаиваться в этих зонах части корма для обеспечения длительной бактериальной ферментации, в том числе и лигноцеллюлозных фрагментов. На иллюстрациях продемонстрировано, что часть съеденного корма быстро эвакуируется в слепую кишку, а часть остается в преджелудке, то есть, корм делится на быстро и медленно проходящие фракции (рис. 3). Выведение маркеров с экскрементами оказывается сильно растянутым из-за нарушения порядка выведения последовательно съеденных порций корма.
Особого внимания заслуживают факты повышения содержания маркеров в железистой части желудка по сравнению с аналогичным показателем предшествующего мечения. Вторичное появление в желудке тех маркеров, которые уже были выведены оттуда, следует оценивать как факты копрофагии. В толстом отделе кишечника очередность прохождения поедаемого корма нарушается из-за функционирования сепараторного механизма – периодического возврата части содержимого из ободочной кишки в слепую кишку. У дневной песчанки этот механизм, судя по структуре ободочной кишки (Naumova et al., 2019), вовлечен в циркуляцию содержимого.
В группе песчанок, потреблявщих A. articulata, после выведения большей части маркеров из желудка наблюдалось повторное увеличение их содержания в этом органе в утреннее время (9 до 12 ч). Примерно в это же время менее выраженные пики отмечены и для других групп песчанок. S. tetrandra и S. monoica заметно быстрее выводятся из желудка и, соответственно раньше достигают слепой кишки.
Зависимость кинетики содержимого от степени наполнения ПТ
Обобщение данных по группам выявляет общие тенденции кинетики содержимого, но маскирует кратковременные индивидуальные флуктуации движения маркеров. Напротив, картина распределения маркеров у отдельных особей обнаруживает всплески их содержания, вызванные копрофагией и антиперистальтикой ободочной кишки (рис. 2). Продвижение маркеров в большой степени зависит от кормовой активности животных. Хотя и для серых полевок, и для дневной песчанки характерна круглосуточная кормовая активность (Мещерский и др., 2004; Khokhlova et al., 2005), кормовые фазы у разных особей не синхронизированы. Поэтому желудок у разных особей наполнен по-разному (Наумова и др., 2023), а от количества содержимого зависит возможность задержки маркера в преджелудке, характер его эвакуации из желудка и продвижения до слепой кишки. Возможно, именно по этой причине путем мечения не всегда можно заметить проявление неритмичной копрофагии: надолго застрявший в слепом мешке желудка маркированный корм может маскировать проявления копрофагии. В наших экспериментах на суммарных диаграммах зарегистрированы пики концентрации маркеров в разных органах ПТ при содержании на всех кормах, но особенно четко они выражены у грызунов, потреблявших A. articulata. Повышение в преджелудке концентрации маркеров, отмеченное примерно через 10–12 ч после их поедания однозначно обозначает акты копрофагии. Важно отметить, что у отдельных особей пики концентрации маркеров выражены неодинаково, что отражает неравномерность движения содержимого (рис.2). Результаты опыта на полевке Брандта (Microtus brandti) путем определения концентрации однократно введенного маркера (CrO2) у умерщвляемых через короткие промежутки времени особей (Pei et al., 2001a) также подтверждают неравномерность эвакуации содержимого из желудка. Аналогичная ситуация (периодическое повышение концентрации маркеров) наблюдается в слепой кишке дневных песчанок, что мы рассматриваем как накопление здесь маркеров вследствие функционирования илеоцекального соединения.
Зависимость кинетики содержимого ПТ от структуры желудка и кишечника
Неравномерность продвижения содержимого в ПТ наблюдалась и у других грызунов, в частности, у полевок при отслеживании выведения маркеров с экскрементами при однократном мечении корма (Kostelecka-Myrcha, Myrcha, 1964; Owl, Batzli, 1988; Hammond, Wunder, 1991; Hume et al., 1993; Pei et al, 2001b). Двухкамерный желудок, крупная слепая кишка, у серых полевок составляющая в среднем 9% массы тела (Варшавский и др., 2017), хорошо развитые сепараторные структуры в ободочной кишке – признаки высокой специализации грызунов к бедным кормам.
Несмотря на лучшую изоляцию преджелудка и более структурированный толстый отдел кишечника у полевок, время задержки корма в ферментативных камерах у них заметно меньше, чем у дневной песчанки – 3.5–5 ч, а в слепой кишке – в среднем 6 ч (Наумова и др., 2007). Время полного выведения корма из ПТ у полевок также короче – 23–24 ч против 33-36 ч у песчанок. При этом растительные корма полевки переваривают с большей эффективностью, чем песчанки. Эта особенность обусловлена целым рядом других обстоятельств, например, лучшим измельчением корма зубами, что значительно ускоряет пищеварение.
Таким образом, при многократном мечении корма грызунов с однокамерным полужелезистым желудком визуализирована ситуация, когда позже поступившая маркированная пища быстрее проходит по пищеварительному тракту, чем уже находившаяся в нем до мечения, и раньше из него выводится (Наумова и др., 2007). Это обстоятельство успешно реализуется у грызунов с разной структурой ПТ. В неравномерности движения заключается важная особенность прохождения в пищеварительном тракте последовательно съеденных грызунами порций корма. Кроме того, на кинетику содержимого влияют такие факторы как качество корма, уровень его потребления и повторное попадание маркеров в желудок и слепую кишку путем копрофагии. Изолирующие структуры – пограничная и серповидная складки полужелезистого желудка и илеоцекальное соединение обеспечивают задержку содержимого в ферментативных органах.
БЛАГОЛАРНОСТИ
Авторы приносят глубокую благодарность израильским коллегам А. Дегену, М. Каму, И.С. Хохловой и Б.Р. Краснову за предоставленный материал и организацию работы.
КОНФЛИКТ ИНТЕРЕСОВ
Отсутсутствуют коммереские, финансовые, личные и профессиональные факторы, которые могли бы создать конфликт интересов
СОБЛЮДЕНИЕ ЭТИЧЕСКИХ СТАНДАРТОВ
Протокол эксперимента был одобрен Комитетом Медицинского университета Кермана (ИР.КМУ.АЭК.2023.004) с разрешением №.401000894 от 28 декабря 2022 г., соответствует требованиям NIH.
Рекомендации по уходу и использованию лабораторных животных (Публикация НИЗ № 85-23, переработанная в 1985 г.).
About the authors
E. I. Naumova
Severtsov Institute of Ecology and Evolution, Russian Academy of Sciences
							Author for correspondence.
							Email: einaumova@gmail.com
				                					                																			                												                	Russian Federation, 							Moscow, 119071						
G. K. Zharova
Severtsov Institute of Ecology and Evolution, Russian Academy of Sciences
														Email: einaumova@gmail.com
				                					                																			                												                	Russian Federation, 							Moscow, 119071						
T. Yu. Chistova
Severtsov Institute of Ecology and Evolution, Russian Academy of Sciences
														Email: einaumova@gmail.com
				                					                																			                												                	Russian Federation, 							Moscow, 119071						
References
- Варшавский А. А., Манаева Е. С., Наумова Е. И. Функционирование диазотрофно-целлюлолитического звена внутренних цепей питания у полевок (Microtus rossiaemeridionalis и Clethrionomys glareolus) в зависимости от пищевой специализации // Докл. РАН. 2014. Т. 455. № 6. С. 716–720.
- Варшавский А. А., Наумова Е. И., Тихонов И. А. Особенности функционирования целлюлолитических симбионтов в преджелудке и слепой кишке серых полевок (Microtus arvalis и M. rossiaemeridionalis) // Зоол.ж. 2004. Т. 83. № 11. С. 1299–1304.
- Варшавский А. А., Наумова Е. И., Жарова Г. К., Чистова Т. Ю., Варшавский Ан. А. Взаимосвязь размеров тела и органов пищеварительного тракта у некоторых Myomorpha: изометрия, или аллометрия? // Изв. РАН. Сер. биол. 2017. № 4. С. 534–540. https://doi.org/10.1134/S1062359017040148.
- Жарова Г. К., Наумова Е. И., Чистова Т. Ю., Нестерова Н. Г., Подтяжкин О. И. 2002. Особенности прохождения пищи по пищеварительному тракту серых полевок // Докл. РАН. Т. 382. № 4. С 1–3.
- Жарова Г. К., Чистова Т. Ю., Наумова Е. И. Особенности продвижения корма по пищеварительному тракту тамарисковой песчанки Meriones tamariscinus // Докл. РАН. 2010. Т. 435. № 4. С. 1–4.
- Мещерский И. Г., Наумова Е. И., Костина Н. В., Варшавский А. А., Умаров М. М., Юрьева О. С. Влияние дефицита диетарного азота на переваримость целлюлозы и активность азотфиксирующей микрофлоры у восточноевропейских полевок Microtus rossiaemeridionalis // Изв. РАН. Сер. биол. 2004. № 5. С. 1–5.
- Наумова Е. И., Кучерук В. В. Экспериментальное исследование скорости и динамики продвижения разных кормов по пищеварительному тракту большой песчанки // Изв. РАН. Сер. биол. 1996. № 6. С. 716–724.
- Наумова Е. И., Жарова Г. К., Чистова Т. Ю. Исследование продвижения корма по пищеварительному тракту полевок методом многократного введения пластиковых маркеров // Зоол. журн. 2007. № 6. С. 739–750.
- Наумова Е. И., Жарова Г. К., Чистова Т. Ю. Изолирующие структуры желудка и кишечника песчанок (Gerbillidae, Rhombomys, Meriones) и их фунциональное значение // Изв. РАН. Сер. биол.2011. № 4. С. 447–455.
- Наумова Е. И., Чистoва Т. Ю., Варшавский А. А., Жарова Г. К.. Функциональная диверсификация морфологически сходных органов пищеварительного тракта у представителей Muroidea. Изв. РАН. Сер биол. 2021. № 3. С. 270–279. https://doi.org/10.31857/S0002332921020089
- Наумова Е. И., Жарова Г. К., Чистова Т. Ю. Размеры тела и пищеварительного тракта у мелких млекопитающих-фитофагов: влияние экологических и физиологических факторов // Известия РАН. Серия биол. 2023. № 3. С. 297–307. https://doi.org/10.31857/S1026347022600832
- Clauss M., Besselmann D., Schwarm A., Ortmann S., Hatt J.-M. Demonstrating coprophagy with passage markers? The example of the plains viscacha (Lagostomus maximus) // Comp. Biochem. Physiol. A. 2007. V. 147. P. 453–459. https://doi.org/0.1016/j.cbpa.2007.01.013
- Degen, A.A., Kam, M., Khokhlova, I.S., Zeevi, Y. 2000. Fiber digestion and energy Utilization of fat sand rats (Psammomys obesus) consuming the chenopod
- Anabasis articulata. // Physiol. Biochem. Zool. 2000. V. 73. 574–580.
- Hagen K. B., Müller D. W.H., Ortmann S., Kreuzerd M., Clauss M. Digesta kinetics in two arvicoline rodents, the field vole (Microtus agrestis) and the lemming (Lagurus lagurus) // Mamm. Biol. 2018. V. 89. Р. 71–78. https://doi.org/10.1016.mambio.2018.01.003.
- Hammond K. A., Wunder B. A. The role of diet quality and energy need in the nutritional ecology of a small herbivore, Microtus ochrogaster // Physiol. Zool. 1991. V. 64. P. 541–567.
- Hume I. D., Morgan K. R., Kenagy G. J. Digesta retention and digestive performance in sciurid and microtine rodents: effect of hindgut morphology and body size // Physiol. Zool. 1993. V. 66. N 3. P. 396–411.
- Khokhlova I. S., Krasnov B. R., Kuznetsov V., Sartor C. E., Zan M., Salek L., Ghazaryan L., Kam M., Degen A. A. Dietary intake and time budget in two desert rodents: a diurnal herbivore, Psammomys obesus, and a nocturnal granivore, Meriones crassus (Lagurus lagurus) // Mammalia. 2005. V. 69. № 1. Р. 1–11.
- Kostelecka-Myrcha, A., Myrcha A.. The rate of passage of foodstuffs through the alimentary tracts of certain Microtidae under laboratory conditions // Acta Theriologica. 1964. V. 9. P. 37–53.
- Naumova E. I., Chistova T. Yu., Zharova G. K., Kam M., Khokhlova I. S., Krasnov B. R., Clauss M., Degen A. A. Particle size reduction along the digestive tract of fat sand rats (Psammomys obesus) fed four chenopods // Comp. Physiol. B. 2021. V. 191. P. 831–841. https://doi.org/10.1007/s00360-021-01357-x
- Naumova E. I., Chistova T. Yu., Zharova G. K., Kam M., Khokhlova I. S., Krasnov B. R., Degen A. A. Energy requirements, length of digestive tract compartments and body mass in six gerbilline rodents of the Negev Desert // Zoology. 2019. V. 137. P. 1–8. https://doi.org/10.1016/j.zool.2019.125715
- Owl M. Y., Batzli G. O. The integrated processing response of voles to fibre content of natural diets // Funct. Ecology. 1988. V. 12. P. 4–13.
- Pei Y.-X., Wang D.-H., Hume I. D., Selective digesta retention and coprophagy in Brandt’s vole (Microtus brandti) // Comp. Physiol. B. 2001a. V. 171. P. 457–464.
- Pei Y.-X., Wang, D.-H., Hume, I. Effect of Dietary Fibre on Digesta Passage, Nutrient Digestibility and Gastrointestinal Morphology in the Granivorous Mongolian Gerbil (Meriones unguiculates) // Physiol. Biochem. Zoology. 2001b. V. 74. № 5. P. 742–749.
- Sakaguchi E., Itoh H., Ushida S., Horigome T. Comparison of fibre digestion and digesta retention time between rabbits, guinea-pigs and hamsters. British J. of Nutrition. 1987. V. 58. P. 149–158.
- Sakaguchi E., Ohmura S. Fibre digestion and digesta retention time in guinea-pigs (Cavia porcellus), degus (Octodon degus) and leaf-eared mice (Phyllotis darvini) // Comp. Biochem. Physiol. 1992. V. 103 A. P. 787–791.
- Warner A. C.I. Rate of passage of digesta through the gut of mammals and birds // Nutr. Abstr. Rev. 1981. Ser. B51. P. 789–820.
Supplementary files
 
				
			 
					 
						 
						 
						 
						 
				
 
  
  
  Email this article
			Email this article 



