Investigation of the Errors of Fast Trigonometric Interpolation in Solving the Problem of Stresses in a Bar
- Authors: Chernyshov A.D.1, Goryainov V.V.2, Popov M.I.1
-
Affiliations:
- Voronezh State University of Engineering Technologies
- Voronezh State Technical University
- Issue: No 1 (2023)
- Pages: 115-128
- Section: Articles
- URL: https://journal-vniispk.ru/1026-3519/article/view/137499
- DOI: https://doi.org/10.31857/S0572329922100142
- EDN: https://elibrary.ru/KIQKNY
- ID: 137499
Cite item
Full Text
Abstract
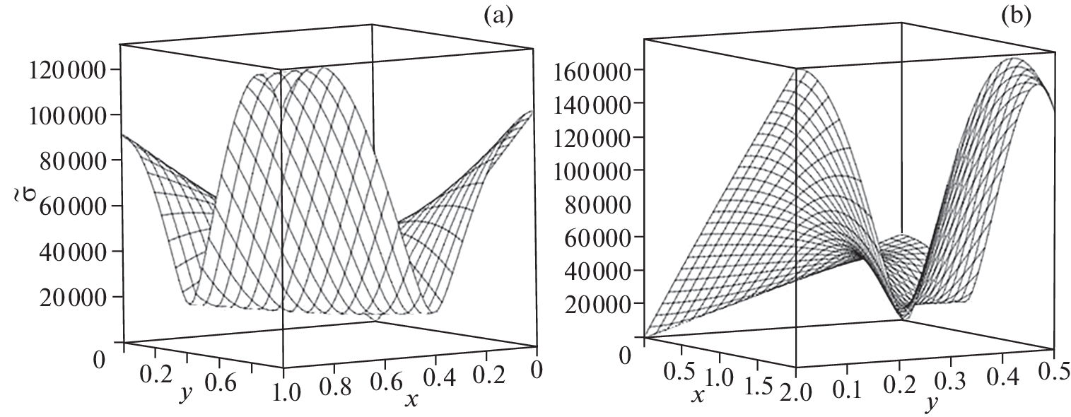
Using the fast trigonometric interpolation, the problem on stresses in a rectangular bar is solved. The obtained approximate analytical solution is compared with the exact one. During this analysis the relative error of the displacement components, the stress tensor components, the discrepancy between the Lame equilibrium equations, and the discrepancy of the boundary conditions are investigated. It has been established that when using the second-order boundary function in fast expansions and a small number of terms in the Fourier series (from two to six), the maximum relative error δmath max of the displacement components and the stress tensor components is less than one percent. With an increase in the order of the boundary function and/or the number of terms N in the Fourier series, δmath decreases rapidly. Increasing the order of the boundary function is a more effective way to reduce the calculation error of δmath max than increasing the number of terms in the Fourier series. When studying the intensity of stresses σ in a bar with different overall dimensions of a rectangular cross-section, but with the same area of all sections, it has turned out that the smallest value of σmath all cross-sections is observed for a bar with a square section.
About the authors
A. D. Chernyshov
Voronezh State University of Engineering Technologies
Email: chernyshovad@mail.ru
Voronezh, 394036 Russia
V. V. Goryainov
Voronezh State Technical University
Email: gorvit77@mail.ru
Voronezh, 394006 Russia
M. I. Popov
Voronezh State University of Engineering Technologies
Author for correspondence.
Email: mihail_semilov@mail.ru
Voronezh, 394036 Russia
References
- Савичев И.С., Чернышов А.Д. Применение метода угловых суперпозиций для решения контактной задачи о сжатии упругого цилиндра // Изв. РАН. МТТ. 2009. № 3. С. 151–162.
- Чернышов А.Д. Метод угловых суперпозиций для краевых задач. LAP LAMBERT Academic Publishing, 2012. 350 c.
- Чернышов А.Д. Решение задачи о кручении упругого стержня – угольного сечения методом расширения границ // ПМТФ. 2009. Т. 50. № 6 (298). С. 193–200.
- Гоцев Д.В., Ковалев А.В., Спорыхин А.Н. Локальная неустойчивость пластин с запрессованными кольцевыми включениями при упругопластическом поведении материалов // ПМТФ. 2001. Т. 42. № 3 (247). С. 146–151.
- Минаева Н.В. О применении метода возмущений в механике деформируемых тел // Изв. РАН. МТТ. 2008. № 1. С. 37–39.
- Шашкин А.И., Минаева Н.В., Гриценко А.В. Квазистатическое деформирование упругого стержня при продольном изгибе // Изв. высш. уч. зав. Машиностр. 2008. № 12. С. 21–25.
- Вервейко Н.Д., Егоров М.В. Математическое моделирование динамического деформирования упруговязкопластических оболочек конечной длины лучевым методом // Вестн. Самарск. гос. тех. ун-та. Сер.: Физ.-мат. науки. 2018. Т. 22. № 2. С. 325–343. https://doi.org/10.14498/vsgtu1610
- Севастьянов Г.М., Штука В.И., Буренин А.А. Лучевой метод в приближенном решении задачи об ударном нагружении несжимаемого цилиндрического слоя // Вестн. Чувашск. гос. пед. ун-та им. И.Я. Яковлева. Сер.: Мех. пред. сост. 2015. № 4 (26). С. 50–62.
- Буренин А.А., Рагозина В.Е. К построению приближенных решений краевых задач ударного деформирования // Изв. РАН. МТТ. 2008. № 2. С. 106–113.
- Вестяк А.В., Земсков А.В. Модель нестационарных упруго-диффузионных колебаний шарнирно опертой балки Тимошенко // Изв. РАН. МТТ. 2020. № 5. С. 107–119. https://doi.org/10.31857/S0572329920030174
- Гандилян Д.В., Устинов К.Б. Влияние поверхностных эффектов в задачах теории упругости для областей, ограниченных неконцентрическими окружностями // Изв. РАН. МТТ. 2020. № 5. С. 95–106. https://doi.org/10.31857/S0572329920050062
- Тарлаковский Д.В., Федотенков Г.В. Пространственное нестационарное движение упругой сферической оболочки // Изв. РАН. МТТ. 2015. № 2. С. 118–128.
- Буренин А.А., Ковтанюк Л.В., Мурашкин Е.В. Об остаточных напряжениях в окрестности цилиндрического дефекта сплошности вязкоупругопластического материала // ПМТФ. 2006. Т. 47. № 2 (276). С. 110–119.
- Timoshenko S.P., Goodier J.N. Theory of elasticity. 3rd ed. McGraw-Hill Inc., 1970. 567 p. = Тимошенко С.П., Гудьер Дж. Теория упругости. М.: Наука, 1979. 560 с.
- Меньшова И.В. Разложения по функциям Фадля–Папковича. Основные формулы // Вестн. Чувашск. гос. пед. ун-та им. И.Я. Яковлева. Сер.: Мех. пред. сост. 2012. № 4 (14). С. 133–139.
- Себряков Г.Г., Коваленко М.Д., Меньшова И.В., Шуляковская Т.Д. Разложения Лагранжа по функциям Фадля–Папковича в краевой задаче теории упругости для полуполосы // Доклады aкадемии наук. 2015. Т. 460. № 5. С. 540. https://doi.org/10.7868/S0869565215050126
- Петров В.В. Двухшаговый метод последовательного возмущения параметров и его применение к решению нелинейных задач механики твердого деформируемого тела // Проблемы прочности элементов конструкций под действием нагрузок и рабочих сред. Саратов: Сарат. гос. техн. ун-т, 2001. С. 6–12.
- Горяйнов В.В., Попов М.И., Чернышов А.Д. Решение задачи о напряжениях в остром клиновидном режущем инструменте методом быстрых разложений и проблема согласования граничных условий // Изв. РАН. МТТ. 2019. № 5. С. 113–130. https://doi.org/10.1134/S0572329919050088
- Чернышов А.Д., Горяйнов В.В., Кузнецов С.Ф., Никифорова О.Ю. Применение быстрых разложений для построения точных решений задачи о прогибе прямоугольной мембраны под действием переменной нагрузки // Вестн. Томск. гос. ун-та. Мат. мех. 2021. № 70. С. 127–142. https://doi.org/10.17223/19988621/70/11
- Chernyshov A.D., Goryainov V.V., Danshin A.A. Analysis of the stress field in a wedge using the fast expansions with pointwise determined coefficients // IOP Conf. Ser.: J. Phys: Conf. Ser. 2018. V. 973. P. 012002. https://doi.org/10.1088/174265.
- Чернышов А.Д. Метод быстрых разложений для решения нелинейных дифференциальных уравнений // Ж. выч. мат. физ. Т. 54. № 1. 2014. С. 13–24. https://doi.org/10.7868/S0044466914010062
- Чернышов А.Д., Горяйнов В.В., Лешонков О.В., Соболева Е.А., Никифорова О.Ю. Сравнение скорости сходимости быстрых разложений с разложениями в классический ряд Фурье // Вестн. Воронеж. гос. ун-та. Сер.: Сист. анализ инф. технол. 2019. № 1. С. 27–34. https://doi.org/10.17308/sait.2019.1/1273
- Чернышов А.Д., Горяйнов В.В., Чернышов О.А. Применение метода быстрых разложений для расчета траекторий космических кораблей // Изв. вузов. Авиац. техн. 2015. № 2. С. 41–47.
- Чернышов А.Д. Решение нелинейного уравнения теплопроводности для криволинейной области с условиями Дирихле методом быстрых разложений // Инж.-физ. ж. 2018. Т. 91. № 2. С. 456–468.
- Чернышов А.Д. Решение двухфазной задачи Стефана с внутренним источником и задач теплопроводности методом быстрых разложений // Инж.-физ. ж. 2021. Т. 94. № 1. С. 101–120.
- Briand T. Trigonometric polynomial interpolation of images // Image Processing on Line. 2019. V. 9. P. 291– 316. https://doi.org/10.5201/ipol.2019.273
- Поршнев С.В., Кусайкин Д.В. Восстановление периодических дискретных сигналов конечной длительности с помощью тригонометрической интерполяции // Изв. высш. учебн. завед. Приборостр. 2017. Т. 60. № 6. С. 504–512. https://doi.org/10.17586/0021-3454-2017-60-6-504-512
- URL: https://docs.cntd.ru/document/554403082?marker=A840NF (дата обращения: 18.03.2022).
- Писаренко Г.С., Можаровский Н.С. Уравнения и краевые задачи пластичности и ползучести. Киев: Наук. думка, 1981. 496 с.
Supplementary files







