О ВЯЗКОПЛАСТИЧЕСКОМ ТЕЧЕНИИ В МАТЕРИАЛЕ ЦИЛИНДРИЧЕСКОГО СЛОЯ, НАСАЖЕННОГО НА ЖЕСТКИЙ ВАЛ В УСЛОВИЯХ ЕГО ПЕРЕМЕННОГО ВРАЩЕНИЯ
- Авторы: Фирсов С.В.1
- 
							Учреждения: 
							- ИМиМ, ХФИЦ ДВО РАН
 
- Выпуск: № 2 (2023)
- Страницы: 136-146
- Раздел: Статьи
- URL: https://journal-vniispk.ru/1026-3519/article/view/137512
- DOI: https://doi.org/10.31857/S0572329922600359
- EDN: https://elibrary.ru/DFVULC
- ID: 137512
Цитировать
Полный текст
Аннотация
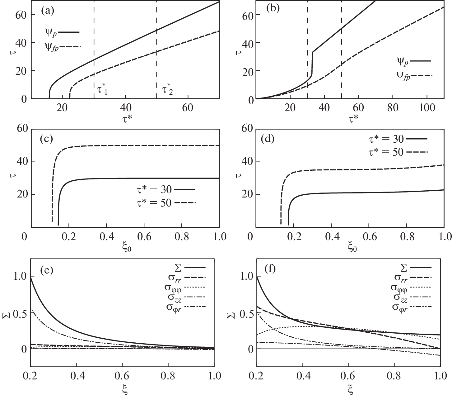
Расчитывается развитие вязкопластического течения в материале цилиндрического слоя, помещенного на жесткий цилиндрический вал, и вращающегося вместе с ним вокруг их общей оси. Определяются в зависимости от возрастающей скорости вращения до максимальной место и моменты времени начала вязкопластического течения, закономерности продвижения области течения, изменяющиеся деформации и напряжения в деформируемом материале. В качестве условия вязкопластического течения принимается соответствующее обобщение условия максимальных октаэдрических напряжений. Для целей тестирования программ расчетов получено точное решение задачи об установившемся вязкопластическом течении материала при вращении составного цилиндра с постоянной скоростью.
Ключевые слова
Об авторах
С. В. Фирсов
ИМиМ, ХФИЦ ДВО РАН
							Автор, ответственный за переписку.
							Email: firsov.s.new@yandex.ru
				                					                																			                												                								Российская Федерация, Комсомольск-на-Амуре						
Список литературы
- Работнов Ю.Н. Ползучесть элементов конструкций. М.: Наука, 2014. 752 p.
- Nadai A. Theory of Flow and Fracture of Solids. McGraw Hill, 1950. 572 p.
- Gamer U., Sayir M. Elastic-plastic stress distribution in a rotating solid shaft // ZAMP. 1984. V. 35. № 5. P. 601–617. https://doi.org/10.1007/BF00952107
- Mack W. The rotating elastic-plastic solid shaft with free ends // Tech. Mech. 1991. № 12. P. 119–124.
- Mack W. Rotating elastic-plastic tube with free ends // Int. J. Solids Struct. 1991. V. 27. № 11. P. 1461–1476. https://doi.org/10.1016/0020-7683(91)90042-E
- Gamer U., Mack W., Varga I. Rotating elastic-plastic solid shaft with fixed ends // Int. J. Eng. Sci. 1997. V. 35. № 3. P. 253–267. https://doi.org/10.1016/S0020-7225(96)00085-7
- Прокудин А.Н., Фирсов С.В. Вязкопластическое течение вращающегося полого цилиндра // Дальневосточный математический журнал. 2018. V. 18. № 2. P. 242–260.
- Прокудин А.Н., Буренин А.А. Упругопластическое деформирование вращающегося сплошного цилиндра из линейно-упрочняющегося материала // ПММ. 2021. V. 85. № 2. P. 172–192. https://doi.org/10.31857/S0032823521020077
- Прокудин А.Н., Буренин А.А. Анализ упругопластического деформирования вращающегося сплошного цилиндра при общем кусочно-линейном условии пластичности // ПМТФ. 2021. V. 62. № 5 (369). P. 68–79. https://doi.org/10.15372/PMTF20210507
- Begun A.S., Burenin A.A., Kovtanyuk L.V., Prokudin A.N. Irreversible deformation of a rotating disk having angular acceleration // Acta Mech. 2021. V. 232. № 5. P. 1917–1931. https://doi.org/10.1007/s00707-021-02942-5
- Firsov S.V., Prokudin A.N., Burenin A.A. Creep and plastic flow in a rotating cylinder with a rigid inclusion // J. Appl. Industr. Math. 2019. V. 13. № 4. P. 642–652. https://doi.org/10.1134/S199047891904001X
- Быковцев Г.И., Ивлев Д.Д. Теория пластичности. Владивосток: Дальнаука, 1998. 528 p.
- Мосолов П.П., Мясников В.П. Механика жесткопластических сред. М.: Наука, 1988. 208 p.
- Ковтанюк Л.В., Шитиков А.В. О теории больших упругопластических деформаций материалов при учете температурных и реологических эффектов // Вестник ДВО РАН. 2006. № 4. P. 87–93.
 
				
			 
						 
					 
						 
						 
						 
									
 
  
  
  Отправить статью по E-mail
			Отправить статью по E-mail 




